2023年监理工程师建设工程目标控制土建试题及答案
一、单项选择题(共70题,每题1分,每题的备选项中,只有一个最符合题意。)
1.工程建设与使用中,保证人身和环境免受危害,是建设工程质量特性中的( )。
A.适用性
B.耐久性
C.安全性
D.可靠性
【参考答案】C
【老师解析】安全性,是指工程建成后在使用过程中保证结构安全、保证人身和环境免受危害的程度。
2.关于工程质量检测报告的确认和归档的说注,正确的是( )。
A.经建单位工监理单位确认后,由检测单位归档
B.经建设单位或工程监理单位确认后,由施工单位归档
C.经质量监督机构或建设单位确认后,由工程监理单位归档
D.经质量监督机构或建设单位确认后,由施工单位归档
【参考答案】B
【老师解析】检测报告经检测人员签字、检测机构法定代表人或者其授权的签字人签署,并加盖检测机构公章或者检测专用章后方可生效。检测报告经建设单位或者工程监理单位确认后,由施工单位归档。
3.加强过程和中间产品的质量检查与控制,体现了质量管理中的( )原则。
A.持续改进
B.预防为主
C.以人为核心
D.以合同为依据
【参考答案】B
【老师解析】坚持预防为主的原则:要重点做好质量的事前控制和事中控制,以预防为主、加强过程和中间产品的质量检查和控制。
4.施工单位向建设单位提交工程竣工验收报告时,应向建设单位出具的文件是( )。
A.质量保修书
B.工程质量评估报告
C.工程竣工图
D.工程竣工结算文件
【参考答案】A
【老师解析】建设工程承包单位在向建设单位提交工程竣工验收报告时,应当向建设单位出具质量保修书。
5.关于建设单位行为的说法,正确的是( )。
A将单位工程分解成若干标段,平行发包给不同施工单位
B.向施工单位支付相应费用后可任意压缩工期
C.将施工合同范围内的工程另行发包给承诺工期短的施工单位
D.对于涉及建筑主体结构变动的装修工程,要求设计方案完成前不得施工
【参考答案】D
【老师解析】A肢解发包,C非法转包;建设单位不得将一个单位工程的施工分解成若干部分发包给不同的施工总承包或专业承包单位;不得将施工合同范围内的单位工程或分部分项程又行发包;不得违反合同约定,通过各种形式要求承包单位选择指定的分包单位。B任意压缩工期,建设程发包时,不得迫使承包方以低成本的价格竞标,不得任意压缩合理工期.
6.关于全数检测和抽样检测的说法,正确的是( )
A.只有全数检验在时间上不允许时,才采用抽样检验
B.只有全数检验在经济上不允许时,才采用抽样检验
C.能够进行全数检验的,就不要采用抽样检验
D.破坏性检验,不能采用全数检验
【参考答案】D
【老师解析】虽然只有采用全数检验,才有可能得到100%的合格品,但由于下列原因,还必须采用抽样检验:(1)破坏性检验,不能采取全数检验方式。
7.某工程质量检查项目及其不合格点数统计如下表,根据排列图法,影响该工程质量的主要因素有( )个。

A.1
B.2
C.3
D.4
【参考答案】B
【老师解析】如下图表格,累计频率在0~80%的区间内,有两个项目,故主要因素为2、选B。

8.采用直方图法分析工程质量状况时,将两种不同工艺方法产生的数据混在一起,可能绘制出( )方图。
A.孤岛型
B.双峰型
C.折齿型
D.绝壁型
【参考答案】B
【老师解析】双峰型,是由于用两种不同方去或两台设备或两组工人进行生产,然后把两方面数据混在一起整理产生的。
9.某工序质量控制图中,质量点全部落在控制界限内,但出现( )时,应判定为工序质量异常。
A.四点链
B.五点链
C.六点链
D.七点链
【参考答案】D
【老师解析】链。是指质量点连续出现在中心线一侧的现象。出现五点
链,应注意生产过程发展状况。出现六点链,应开始调查原因。出现七点链,应判定工序异常,需采取处理措施。
10砌体结构实体检测中,属于砌体结构强度检测的内容是( )。
A.混凝土构造柱强度检测
B.砌筑砂浆强度检测
C.楼板混凝土强度检测
D.预制构件承载力试验
【参考答案】B
【老师解析】砌体结构的强度检测可分为砌筑块材强度、砌筑砂浆强度、砌体强度等项目,各项目的检测方法操作应遵守相关检测技术标准
11施工组织设计由施工单位项目部组织编制完成后,由( )审核并加盖单位公章后报项目监理机构审查。
A项目监理
B.项目部技术负责人
C.施工单位技术负责人
D.施工单位法定代表人
【参考答案】C
【老师解析】施工单位编制的施工组织设计经施Ⅰ单位技术负责人审核签认后,与施工组织设计报审表一并报送项目监理机构。
12.1SO质量管理体系中,过程方法管理原则的基本内容是( )。
A.应用PDCA循环
B.组织全员参与
C.坚持持续改进
D.注重关系管理
【参考答案】A
【老师解析】过程方法的基本内容包括:(1)应用PDCA循环;(2) 过程策划;( 3)明确管理的职责和权限;(4) 配备过程所需资源;(5)重点管理能改进组织关键活动的各种因素;(6)评估过程风险以及对顾客、供方和其他相关方可能产生的影响和后果。
13.工程监理企业质量管理体系文件中,阐述企业内部质量管理纲领性文件的是(
A.质量手册
B.程序文件
C.作业文件
D.质量记录
【参考答案】A
【老师解析】质量手册。质量手册是监理单立内部质量管理的纲领性文件和行动准则,应阐明监理单位的质量方针和质量目标,并描述其质量管理体系的文件,它对质量管理体系做出了系统、具体而又纲领性的阐述。
14.经试验测得一组3块200mm×200mm×200mm混凝土试件的土方体抗压强度分别为42.5MPa、45.8MPa和52.8MPa,则该组混凝土试件抗压强度是( )MPa。
A.45.8
B.47.0.
C.48.1
D.49.4
【参考答案】B
【老师解析】 (52.8-45.8)÷45.8=15.3%>15%,(45.8-42.5)÷45.8=7.2%<15%。故取中间值45.8
15.采用立方体试块抗压强度试验方法检测砌筑砂浆强度时,试块强度验收应符合的规定是( )
A.同一验收批试块强度平均值与设计强度等级值的比值≥1.10
B.同一验收批试块强度最小一组平均值与设计强度等级值的比值≥1.10
C.同一验收批试块强度平均值与设计强度等级值的比值≥1.05
D.同一验收批试块强度最小一组平均值与设计强度等级值的比值≥1.05
【参考答案】A
【老师解析】1、同一验收批砂浆试块强度平均值应大于或等于设计强度等级值的1.10倍;2、同一验收批砂浆试块抗压强度的最小一组平均值应大于或等于设计强度等级值的85%。
16.下列专业工程中,通常需要进行方案设计的是()。
A.公路工程
B.能源工程
C.市政道路工程
D.建筑与人防工程
【参考答案】D
【老师解析】建筑与人防专业建设项目,一般分为方案设计、初步设计和施工图设计三个阶段。
17.下列施工控制测量成果检查工作中,属于专业监理工程师
A.查验测量设备的检定证书
B.查验模板的平整度
C.检查边坡位移测量报告
D.检查承台施工后的轴线偏差
【参考答案】A
【老师解析】专业监理工程师应检查、复核施工单位报送的施工控制测量成果及保护措施、签署意见:并应对施工单位在施工过程中报送的施放线成果进行查验。施工控制测量成果及保护措施的验查、复核、包括:①施工单位测人员的资格证书及测设备检定证书;②施工平面控制网、高程控制网和临时水准点的测量成果及控制桩的保护措施。
18.检查施工质量管理人员是否到位,特种作业人员是否持证上岗,属于项目监理机构( )的工作内容。
A.验收
B.巡视
C.旁站
D.平行检验
【参考答案】B
【老师解析】巡视应包括下列主内容:(3)施下现场管理人员.特别是施丁质量管理人员是否到位,应对其是否到位及履情况做好检查和记录。
19.关于后浇带施工要求的说法,正确的是( )。
A.后浇带两侧混凝土浇筑60天后即可浇筑后浇带混凝土
B.后浇带处的模板及支撑应与相邻模板及支撑同时安装
C.所有后浇带处都应设置止水带
D.后浇带处混凝土应采取减少混凝土收缩的措施
【参考答案】D
【老师解析】A错误;后浇带的棍凝土按设计和规范要求的时间进行浇筑。浇筑时间,应事先在施工方案中确定。B错误;楼板后浇带的模板支撑体系按规定单独设置。C错误;有防水要求的大体积底板与侧墙相连接的施工缝,应采取钢板止水带处理措施。
20用于检查结构件混凝土强度的同条件养护试块,取样地点和方式正确的是( )
A.邮寄厂随机抽取
B.搅拌运输车进入工地时随机抽取
C.建筑地点随机抽取
D.工地试验室制备取样
【参考答案】C
【老师解析】选定同条件养护试件结构部位检查结构构件混凝强度试件取样,检查施工记录及试件强度试验报告。用于检查结构构件混凝土强度的试件,应在混凝土的浇筑地点随机抽取。
21城市轨道交通建设工程自(合格之日可投入不载客试运行。
A.单位工程验收
B.竣工验收
C项目工程验收
D竣工预验收
【参考答案】C
【老师解析】城市轨道交通建设工程自项目工程验收合格之日起可投入不或客试运行,试运行时间不应少于三个月。
28施工合同签订时尚未确定或者不可预见的所需材料、工程设备、服务的采购、施工中可能发生的工程变更、合同约定调整因素出现时的工程价款调整等费用应列入()。
A.暂列金额
B.总承包服务费
C.计日工
D.措施项目费
【参考答案】A
【老师解析】暂列金额指建设单位在工程量青单中暂定并包括在工程合同价款中的一笔款项。用于施工合同签订时尚未确定或者不可预见的所需材料、工程设备、服务的采购,施工中可能发生的工程变更、合同约定调整因素出现时的工程价款调整以及发生的索赔、现场签证确认等的费用。
22.某结构梁的混凝土强度设计等级为C30,其试块强度为35MPa,试题取芯强度评定为26MPa。期该结构混凝土验收合格的条件是( )。
A.经项目监理机构确认,试块强度符合验收要求。
B.经建设单位组织专家论证,确定符合验收要求。
C.经监理单位计算复核,满足设计要求
D.经原设计单位验算,满足结构安全和使用功能
【参考答案】D
【老师解析】经有资质的检测机构检测鉴定达不到设计要求,但经原设计单位核算认可能够满足安全和使用功能的检验批,可予以验收。
23.在搅拌运输车运输过程中,混凝土坍落度损失过大时,可采取的措施是()。
A.在运输车罐内适量加水快速搅拌
B.在运输车罐内加入高效减水剂
C.在运输车罐内适量加入与原配合比相同成分的减水剂
D.在原混凝土强度等级的基础上降一级使用
【参考答案】C
【老师解析】采用混凝土搅拌运输车运输混凝土进入工地后对坍落度检查,对因道路堵塞或其他意外情况造成坍落度损失过大,不能满足施工要求时严禁加水,可在运输车罐内加入适量的与原配合比相同成分的减水剂。减水剂掺入后搅拌运输车应快速进行搅拌,搅拌的时间应由试验确定。
24.设备制造质量控制中,通过设置设备质量控制点实现设备制造过程质量控制的工作方式是( )
A驻厂监控
B.巡回监控
C.定点监控
D.定时监控
【参考答案】C
【老师解析】定点监控:大部分设备可以采取定点监控的方式。定点监控通过对影响设备制造质量的诸多因素设置质量控制点,以做好预控及技术复核,从而实现设备制造过程中的质量控制。
25.某项目的设备及工器具购置费6000万元,建筑安装工程费5000万元,工程建设其他费3600元,基本预备费450万元。涨价预备费610万元,建设期利息650万元,流动资金900万元,则该项目的动态投资部分为( )元。
A.2160`
B.1260
C.1060
D.610
【参考答案】B
【老师解析】固定资产投资可分为静态投资部分和动态投资部分。静态投资部分,是指在建设期内,因建设期利息和国家新批准的税费、汇率、利率变动以及建设期价格变动引起的固定资产投资增加额,包括涨价预备费和建设期利息。610+650=1260万元
26.关于工序验收的说法,正确的是( )。
A.每道工序完成后,需经建设单位检查合格方可进行下道工序施工
B.每道工序完成后,施工单位应当报项目监理机构进行验收
C.监理单位提出检查要求的工序,应经项目监理机构检查认可方可进行下道工序施工
D.只要分项工程的最后一道工序需要项目监理机构参加验收
【参考答案】B
【老师解析】在施工过程中,项目监理机构应督促施工单位加强内部质量管理,严格质量控制。施工作业过程均应按规定工艺和技术要求进行。在每道工序完成后,施工单位应进行自检,只有上一道工序被确认质量合格后,方能准许下道工序施工。
27纳税人所在地在县城、镇的。城市维护建设投资税率为( )
A.1%
B.3%
C.5%
D.7%
【参考答案】C
【老师解析】城市维护建设税是指为了加强成市的维护建设,扩大和稳定城市维护建设资金的来源。规定凡缴纳增值税、消费税的单位和个人,都应当依照规定缴纳或市维护建设税。城市维护建设税税率如下:纳税人所在地在市区的,税率为7%;纳税人所在地在县城、镇的,税率为5%;纳税人所在地不在市区、县城或者镇的,税率为1%。
28施工合同签订时尚未确定或者不可预见的所需材料、工程设备、服务的采购、施工中可能发生的工程变更、合同约定调整因素出现时的工程价款调整等费用应列入()。
A.暂列金额
B.总承包服务费
C.计日工
D.措施项目费
【参考答案】A
【老师解析】暂列金额指建设单位在工程量青单中暂定并包括在工程合同优款中的一笔款项。用于施工合同签订时尚未确定或者不可预见的所需材料、工程设备、服务的采购,施工中可能发生的工程变更、合同约定调整因素出现时的工程价款调整以及发生的索赔、现场签证确认等的费用。
29.某综合办公楼项目,建筑分部分项工程费为4500万元,安装分部分项工程费为2500万元,装饰装修分部分项工程费为3000万元。人工费占分部分项工程费的30%;措施项目费以分部分项工程费为计算基础。措施项目费费率为5%;其他项目费合计1200万元;规费以人工费为计费基础,规费费率为15%;增值税税率为9%。以上费用均不含增值税进项税额,则该项目的建筑安装工程费为( )。
A.11700.0
B.12150.0
C.13203.0
D.13243.5
【参考答案】D
【老师解析】分部分项费:4500+2500+3000=10000万元措施项目费:10000×5%=500万元,其他项目费:1200万元,规费;10000×30%×15%=450万元,税金;(10000+500+1200+450)×9%=1093.5万元合计; 10000+500+1200+450+1093.5=13243.5万元
30某进口设备,装运港船上交货价(FOB)为70万美元,到岸价(CIF)为78万美元,关税税率为10%,增值税税率为13%,美元汇率为:1美元-6.9元人民币,则该进口设备的增值税为人民币( )万元。
A.62.7900
B.69.9660
C.76.2450
D.76.9626
【参考答案】D
【老师解析】增值税:(78×6.9)×(1+10%)×13%=76.9626万元
31.某新建项目,建设期2年,计划向银行借款9000万元,第1年借款5000万元,第二年借款4000万元。年利率为5%,则该项目估算的建设期利息为()万元
A.250.00
B.356.25
C.481.25
D.712.50
【参考答案】C
【老师解析】第一年:5000×50%×5%=125万元第二年;(5000+125+4000×50%)×5%=356.25万元;合计:125+356.25=481.25万元
32建设工程进度控制计划体系中,施工准备工作计划是( )计划系统的组成内容
A.建设单位
B.监理单位
C.设计单位
D.施工单位
【参考答案】D
【老师解析】施工单位的进度计划包括:施工准备工作计划、施工总进度计划、单位工程施工进度计划及分部分项工程进度计划。
33应用网络计划技术编制建设工程进度计划时,依据时间定额,并考虑工作建设合理的劳动组织可计算的时间参数是( )
A.工作持续时间
B.工作最早完成时间
C.节点最早时间
D.要求工期
【参考答案】A
【老师解析】工作持续时间是指完成该工作所花费的时间。其计算方法有多种,既可以凭以往的经验进行估算,也可以通过试验推算。当有定额可用时,还可利用时间定额或产量定额并考虑工作面及合理的劳动组织进行计算。
34监理工程师审查施工进度计划时发现有重大问题的,应进行的工作是()。
A.口头通知施工单位确定整改方案
B.及时向建设单位汇报
C.及时组织消除存在的问题
D建立避免出现类似重大问题的相关制度
【参考答案】B
【老师解析】如果监理工程师在审查施Ⅰ进度计划的过程中发现问题,应及时向承包单位提出书面修改意见(也称整改通知书),并协助承包单位修改。其中重大问题应及时向业主汇报。
35编制施工总进度计划时,需要进行的工作是( )
A.按工艺确定分项工程之间的逻辑关系
B.按组织确定分布工程之间的逻辑关系
C.确定各单位工程的施工期限
D.确定各分项工程的施工期限
33应用网络计划技术编制建设工程进度计划时,依据时间定额,并考虑工作建设合理的劳动组织可计算的时间参数是( )
A.工作持续时间
B.工作最早完成时间
C.节点最早时间
D.要求工期
【参考答案】A
【老师解析】工作持续时间是指完成该工作所花费的时间。其计算方法有多种,既可以凭以往的经验进行估算,也可以通过试验推算。当有定额可用时,还可利用时间定额或产量定额并考虑工作面及合理的劳动组织进行计算。
34监理工程师审查施工进度计划时发现有重大问题的,应进行的工作是()。
A.口头通知施工单位确定整改方案
B.及时向建设单位汇报
C.及时组织消除存在的问题
D建立避免出现类似重大问题的相关制度
【参考答案】B
【老师解析】如果监理工程师在审查施Ⅰ进度计划的过程中发现问题,应及时向承包单位提出书面修改意见(也称整改通知书),并协助承包单位修改。其中重大问题应及时向业主汇报。
35编制施工总进度计划时,需要进行的工作是( )
A.按工艺确定分项工程之间的逻辑关系
B.按组织确定分布工程之间的逻辑关系
C.确定各单位工程的施工期限
D.确定各分项工程的施工期限
A.

B.

C.

D.

【参考答案】A
【老师解析】B无节点编号,错误。C出现无箭头连线,错误。D节点编号表示方式错误。37.在工程网络计划中,关于计划工期的说法,正确的是( )
A.当有要求工期时,计划工期不大于要求工期
B.当未规定要求工期时,计划工期可小于计算工期
C.根据网络计划确定计划工期时,计划工期须等于计算工期
D.根据网络计划确定计划工期时,可不考虑要求工期
【参考答案】A
【老师解析】计划工期。计划工期是指根据要求工期和计算工期所确定的作为实施目标的工期。1)当已规定了要求工期时,计划工期不应超过要求工期;2)当未规定要求工期时,可令计划工期等于计算工期。
38.某工程横道计划如下图所示、图中表明的正确信息是( )
)
A.第2周中断施工,进度拖后
B.第3周中断施工,进度拖后
C.第5周连续施工,进度超前
D.第6周连续施工,进度超前
【参考答案】C
【老师解析】选项A错误,第2周中断施工,进度超前;选项B错误,第3周中断施工、进度超前;选项D错误,第6周中断施工,进度超前。
39.工程单代号网络计划中,工作总时差是指()
A.本工作与其紧后工作之间的时间间隔
B.本工作与其紧后工作之间时间间隔的最小值
C.本工作与其紧后工作之间时间间隔加该紧后工作总时差之和的最小值
D.本工作与其紧后工作之间时间间隔加该紧后工作总时差之和的最大值
【参考答案】C
【老师解析】其他工作的总时差应等于本工作与其各紧后工作之间的时间间隔加该紧后工作的总时差所得之和的最小值
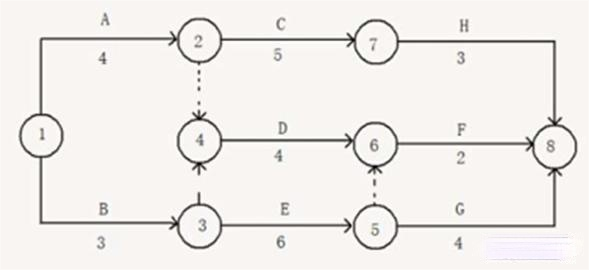
40.某工程双代号时标网络计划如下图,工作C的最早开始时间和总时差分别是()
)
A.3和2
B.3和1
C.2和2
D.2和1
【参考答案】B
【老师解析】工作C的最早开始时间可以直接由图可得,为3天;工作C的总时差=min{1,3+2}=1天
41.工程项目组织依次施工的特点是( )
A.能充分利用工作面进行施工,二期较短
B.能由一个工作队完成全部工作任务,有利于专业化作业
C.单位时间内利用的施工机具少,有利于调配施工机具
D.专业工作队连续施工,有利于最大限度地搭接施工
【参考答案】C
【老师解析】依次施工方式具有以下特点:( 1)没有充分地利用工作面进行施工,工期长;(2)如果按专业成立工作队,则各专业队不能连续作业,有时间间歇,劳动力及施工机具等资源无法均衡使用;(3)如果由一个工作队完成全部施工任务,则不能实现专业化施工,不利于提高劳动生产率和工程质量;(4)单位时间内投入的劳动力、施工机具、材料等资源量较少,有利于资源供应的组织;(5)施工现场的组织、管理比较简单。
】C
【老师解析】工作的总时差是指在不影响总工期的前提下,本工作可以利用的机动时间。无机动时间说明总时差为0
43流水施工参数中,流水步距的含义是()
A.相邻两个施工过程相继开始施工的最小间隔时间
B.相邻两个施工段相继开始施工的最小间隔时间
C.相邻两个施工过程之间因组织安排需要增加的间隔等待时间
D.相邻两个施工段之间因工艺安排需要增加的间隔等待时间
【参考答案】A
【老师解析】流水步距是指组织流水施工时相邻两个施工过程(或专业工作队)相继开始施工的最小间隔时间。
44.《卓越绩效评价准则》的实质是一种( )评价。
A.标准化导向
B.符合性
C.合格性
D.成熟度
【参考答案】D
【老师解析】"卓越绩效"模式是成熟度评价,采用目标驱动和绩效激励,对过程绩效与结果绩效进行诊断,通过对过程绩效的评价,可以了解企业处于成熟度的哪个阶段。
45.工程网络计划资源优化的目标是( )
A.工期固定条件下寻求资源均衡
B.工期固定条件下寻求资源需求最小
C.资源供应充足条件下寻求最短工期
D.寻求资源需求最小时的工期安排
【参考答案】A
【老师解析】在通常情况下,网络计划的资源优化分为两种,即“资源有限,工期最短”的优化和“工期固定,资源均衡”的优化。前者是通过调整计划安排,在满足资源限制条件下,使工期延长最少的过程而后者是通过调整计划安排,在工期保持不变的条件下,使资源需用量尽可能均衡的过程
46建设工程进度调整系统过程中,需要进行的工作是( )
A.建立进度数据采集系统
B.收集实际进度数据
C.分析进度偏差产生的原因
D.实际进度与计划进度的对比分析
【参考答案】C
【老师解析】进度调整的系统过程:( 1)分析进度偏差产生的原因(2)分析进度偏差对后续工作和总工期的影响(3)确定后续工作和总工期的限制条件(4)采取措施调整进度计划
47.某工程网络计划如下图所示,工作D的最迟开始时间和总时差分别是()。
)
A.6和2
B.6和4
C.7和2
D.7和3
【参考答案】D
【老师解析】工作D的总时差为3,最迟开始时间=4+3=7

48.某土方工程,合同工程量为4万m3,合同综合单价为92元/m3,合同约定,当实际工程量增加15%以上时,超出15%以上部分的工程量综合单价应与调低,于设计更,该工程实际完成工程量5万m3,监理人和承包人依据合同约定协商后确定的土方工程变更单价为89.5元/m3,则该工程实际结算价款为( )万元
A.447.5
B.457.5
C.459.0
D.460.0
【参考答案】B
【老师解析】40000×1.15×92+(50000-400001.15) x89.5=459万元.
49监理工程师编制的施工进度控制工作细则应包含的内容是( )
A.工程延期审批工作程序
B.与进度控制有关的工作流程
C.工期延误处置措施
D.工程材料设备检验计划
【参考答案】B
【老师解析】施工进度控制工作细则是在建设工程监理规划的指导下,由项目监理机构进度控制部门的监理工程师负责编制的更具有实施性和操作性的监理业务文件。其主要内容包括:( 1)施工进度控制目标分解图;(2)施工进度控制的主要工作内容和深度;(3)进度控制人员的职责分工;(4)与进度控制有关各项工作的时间安排及工作流程;(5)进度控制的方法(包括进度检查周期、数据采集方式、进度报表格式、统计分析方法等);(6)进度控制的具体措施(包括组织措施、技术措施、经济措施及合同措施等);
(7)施工进度控制目标实现的风险分析;(8)尚待解决的有关问题。
50.钻孔桩桩长的计量一般采用的方法是( )
A.断面法
B.图纸法
C.估价法
D.分解计量法
【参考答案】B
【老师解析】在工程量清单中,许多项目都采取按照设计图纸所示的尺寸进行计量。如昆凝土构筑物的体积,钻孔桩的桩长等
51在工程建设领域对建筑工人工资支付负总责的单位是( )
A.建设单位
B.总包单位
C.分包单位
D.监理单位
【参考答案】B
【老师解析】农民工工资的支付。工程建设领域总包单位对农民工工资支付负总责,推行分包单位农民工工资委托总包单位代发制度。
52.关于建筑工程施工质量验收层次划分的说法,正确的是( )。
A.隐蔽工程是分部工程的组成部分
B.检验批由分项工程组成
C.分部工程是按专业性质和工程部位划分的
D.检验批质量验收项目均为主控项目
【参考答案】C
【老师解析】选项A错误,分项工程是分部程的组成部分。选项B错误,检验批是分项工程的组成部分。选项D错误,检验批验收包括资料检查、主控项目和一般项目的质量检验。
53.根据《关于完善建设工程价款结算有关办法的通知》(财建2022]183号),政府机关、事业单位、国有企业建设工程进度款支付应不低于已完成工程价款的()。
A.70%
B.80%
C.85%
D.90%
【参考答案】B
【老师解析】提高建设工程进度款支付比例,政府机关、事业单位、国有企业建设工程进度款支付应不低于已完成工程价款的80%。
54单位工程竣工验收由( )组织相关单位进行。
A.建设单位项目负责人
B.总监理工程师
C.设计单位项目负责人
D施工单位项目负责人
【参考答案】A
【老师解析】单位工程竣工验收由建设单位项目负责人组织监理、施工、设计、勘察等单位项目负责人等。55影响工程进度的因素中,出现复杂的工程地质条件属于( )影响因素。
A.业主方
B.施工技术
C.勘察设计
D.自然环境
【参考答案】D
【老师解析】自然环境因素。如复杂的工程地质条件:不明的水文气象条件;地下埋藏文物的保护、处理;洪水、地震、台风等不可抗力等。
56.项目公司将资金成本作为比较( )
A.比较项目各种融资方式优劣
B.比较选择各个追加筹资方案
C.确定项目最佳资本结构
D.分析和计算个别资金成本高低
【参考答案】A
【老师解析】资金成本是比较筹资方式、选择筹资方案的依据。资金成本有个别资金成本,综合资金成本,边际资金成本等形式,它们在不同情况下具有各自的作用。个别资金成本的高低可作为比较各种融资方式优劣的一个依据。综合资金成本的高低就是比较各个筹资方案,做出最佳资本结构决策的基本依据。边际资金成本就成为比较选择各个追加筹资方案的重要依据。
57.因发包人提供图纸有误.导致项目费用增加和工期延误时,监理人处理承包人索赔的正确做法是( )。
A.批复增加的费用,不批复延误的工期和利润补偿
B.批复延误的工期,不批复增加的费用和利润补偿
C.批复增加的费用和延误的工期,不批复利润补偿
D.批复增加的费用、延误的工期和利润补偿
【参考答案】D
【老师解析】
C.确定项目最佳资本结构
D.分析和计算个别资金成本高低
【参考答案】A
【老师解析】资金成本是比较筹资方式、选择筹资方案的依据。资金成本有个别资金成本,综合资金成本,边际资金成本等形式,它们在不同情况下具有各自的作用。个别资金成本的高低可作为比较各种融资方式优劣的一个依据。综合资金成本的高低就是比较各个筹资方案,做出最佳资本结构决策的基本依据。边际资金成本就成为比较选择各个追加筹资方案的重要依据。
57.因发包人提供图纸有误.导致项目费用增加和工期延误时,监理人处理承包人索赔的正确做法是( )。
A.批复增加的费用,不批复延误的工期和利润补偿
B.批复延误的工期,不批复增加的费用和利润补偿
C.批复增加的费用和延误的工期,不批复利润补偿
D.批复增加的费用、延误的工期和利润补偿
【参考答案】D
【老师解析】

58.在项目可行性研究阶段,建设方案研究和比选应包括的内容是( )
A.工艺技术和主要设备方案
B项目监理工作方案
C项目施工组织设计
D.危大工程施工应急预案
【参考答案】A
【老师解析】建设方案研究和比选应包括的内容包括:( 1)产品方案与建设规模。(2)工艺技术和主要设备方案。(3)厂(场)址选择。(4)主要原材料、辅助材料、燃料供应。(5)总图运输和土建方案。(6)公用工程。(7)节能、节水措施。(8))环境保护治理措施方案。(9)安全、职业卫生措施和消防设施方案。(10)项目的组织机构与人力资源配置等。(11)对政府投资项目还应包括招标方案和代建制方案等。
59.某项目年初向银行借款1000万元,年利率3%,按年复利计息,从借款年当年末起连续3年末等额还本付息,则每年末应偿还的金额为()万元
A.343
B.344
C.353
D.364
【参考答案】C
【老师解析】A=Pi(1+i)n/( (1+i)n=1)=1000x3%( 1+3%)3/( (1+3%)3-1)=353.53
60.某分项工程具有四项功能,各功能区功能价值和现实成本如下表。对该分项公工程开展价值工程活动时,应优先作为改进对象的是( )

A. F1
B. F2
C. F3
D. F4
【参考答案】A
【老师解析】以功能目标成本为基准,通过与功能现实成本的比较,求出
两者的差值(改善期望值),然后选择改善期望值大的功能作为价值工程活动的重点对象:F1:150-30=20;F2:180-170=10;F3:140-155=-15;F4:200-
215=15;显然选择F1作为改进对象。
61.某项目预计年经营成本为3000万元,年外购原材料、燃料或服务费用为2000万元,年预付各类原材料、燃料或服务费为1200万元,年应收账款周转次数4次,则该项目应收账款估算金额为( )
A.450
B.500
C.750
D.800
【参考答案】C
【老师解析】应收账款=年经营成本/应收账款周转次数=3000/4=750万元。
62某招标工程,发包人拟将其中的专业工程甲依法单独发包,但施工过程中由承包人统一提供协调和配合服务,则承包人投标报价时应将该服务费用列入( )
A.总承包服务费
B.计日工费
C.专业工程暂估价
D.措施项目费
【参考答案】A
【老师解析】总承包服务费是为了解决招标人在法律、法规允许的条件下进行专业工程发包以及自行采购供应材料、设备时,要求总承包人对发包的专业工程提供协调和配合服务(如分包人使用总包人的脚手架、水电接剥等);对供应的材料、设备提供收、发和保管服务以及对施工现场进行统一管理;对竣工资料进行统一汇总整理等发生并向总承包人支付的费用。
63.为有效控制工程设计进度,需要工程设计单位进行的工作是( )
A.编制设计出图计划
B.编制设计任务书
C.编制设计进度控制工作细则
D.编制设计工作量清单
【参考答案】A
【老师解析】设计单位的进度控制:( 1)建立计划部门,负责设计单位年度计划的编制和工程项目设计进度计划的编制。(2)建立健全设计技术经济定额,并按定额要求进行计划的编制与考核。(3)实行设计工作技术经济责任制,将职工的经济利益与其完成任务的数量和质量挂钩。(4)编制切实可行的设计总进度计划、阶段性设计进度计划和设计进度作业计划。(5)认真实施设计进度计划,力争设计工作有节奏、有秩序、合理搭接地进行。(6)坚持按基本建设程序办事,尽量避免进行“边设计、边准备、边施工”的“三边”设计。(7)不断分析总结设计进度控制工作经验,逐步提高设计进度控制工作水平。
64.单项工程施工图预算造价的计算表达式是()
A.∑单位建筑工程费用+∑单位安装工程费用
B.∑单位建筑工程费用+∑单位设备及安装工程费用
C.∑单位建筑工程费用+∑工程建设其他费用
D.∑单位建筑工程费用+∑项目措施费用
【参考答案】B
【老师解析】单项工程施工图预算=∑单位建筑工程费用+∑单位设备及安装工程费用
二、多项选择题(共30题,每题2分。每题的备选项中,有2个或者2个以上符合题意,至少有一个错项。错选,本题不得分:少选,所选的每个选项得0.5分)
81对于复杂的建筑工程主体结构分布工程、可划分为( )等于分布工程。
A.混凝土结构
B.填充墙砌体结构
C.钢结构
D.钢管混凝土结构
E.铝合金结构
【参考答案】ACDE
【老师解析】当分部工程较大或较复杂时,可按材料种类、施工特点、施工程序、专业系统及类别将分部工程划分为若干子分部工程。如:建筑工程的主体结构分部工程划分为混凝土结构、砌体结构、钢结构、钢管混凝土结构、型钢混凝土结构、铝合金结构、木结构等子分部工程。
82.项目监理机构在装配式结构施工过程中,应当旁站的关键工序有( )
A.钢筋套筒的选择
B.钢筋套筒链接的灌浆
C.装配式构建支撑体系的搭设
D.预制构件的吊装
E.现浇混凝土施工
【参考答案】BD
【老师解析】3.构件存放、运输与吊装的质量控制;( 1)构件吊装;1)楼板面测量放线时,项目监理机构应进行旁站,并对放样的细部尺寸构件安装标高进行测量放线。2)构件(外挂板、外墙板、内墙板、隔墙板、预制柱、叠合梁、叠合板、楼梯)吊装时,项目监理机构应对吊装施工进行旁站监理。3)PC构件灌浆时,项目监理机构应对钢筋套筒灌浆连接、钢筋浆锚搭接灌浆作业实施旁站监理。
83.根据《建筑工程施工质量验收统一标准》,建筑电气专业的安全和功能检查项目有( )。
A.照明通电试运行记录
B.绝缘电阻测试记录
C.应急电源装置应急持续供电记录
D.导线连接测试记录
E.等电位连接测试记录
【参考答案】ABC
【老师解析】

84.混凝土钻芯取样试验可用来检验的混凝土特性有()。
A.密实性
B.裂缝处理效果
C.抗压强度
D.耐久性
E.与钢筋的握裹性能
【参考答案】AB
【老师解析】(2必要的鉴定为确保工程质量事故的处理效果,凡涉及结构承载力等使用安全和其他重要性能的处理工作,常需做必要的试验和检验鉴定工作。如果质量事故处理施工过程中建筑材料及构配件保证资料严重缺乏,或对检查验收结果各参与单位有争议时,常见的检验工作有:混凝土钻芯取样,用于检查密实性和裂缝修补效果,或检测实际强度;结构荷载试验,确定其实际承载力;超声波检测焊接或结构内部质
量:池、罐、箱柜工程的渗漏检验等。检测鉴定必须委托具有资质的法定检测单位进行。
85.政府和社会资本合作(ppp)项目中,原则上由社会资本承担的项目风险有()
A.法律和政策风险
B.项目设计风险
C.项目财务风险
D.项目最低需求风险
E.运营维护风险
【参考答案】BC
【老师解析】原则上,项目设计、建造、财务和运营维护等商业风险由社会资本承担,法律、政策和最低需求等风险由政府承担,不可抗力等风险由政府和社会资本合理共担。
86.在装配式混凝土结构连接部位及叠合构建浇注混凝土之前,应进行隐蔽工程验收的内容有( )。
A.混凝土粗糙面的质量
B.键槽的尺寸、数量、位置
C.钢筋的牌号、规格、数量、位置
D.与预制件之间的防水、防火等构造做法
E.构件出厂合格证
【参考答案】ABCD
【老师解析】对于装配式混凝土结构连接部立及叠合构件浇筑混凝土之前、应进行隐蔽工程验收。隐蔽工程验收主要内容包括:混凝土粗糙面的质量,键槽的尺寸、数量、位置;钢筋的牌号、规格、数量、位置、间距,摧筋弯钩的弯折角度及平直段长度;钢筋的连接方式、接头位置、接头数量、接头面积百分率,搭接长度、锚固方式及错固长度;预埋件、预留管线的规格、数量、位置;预制混凝土构件接缝处防水、防火等构造做法;保温及其节点施工;其他隐藏项目;隐蔽项目施工过程记录照片。
87.下列费用中,属于工程建设其他费的有()。
A.工程招标费
B.环境影响评价费
C.单台设备调试费
D.进口设备检验鉴定费
E.生产准备费
【参考答案】ABDE
【老师解析】工程建设其他费用,是指未纳入以上两项的,根据设计文件要求和国家有关规定应由项目投资支付的、为保证工程建设顺利完成和交付使用后能够正常支挥效用而发生的一些费用。工程建设其他费用可分为三类:第一类是建设用地费,包括土地征用及迁移补偿费和土地使用权出让金;第二类是与项目建设有关的费用,包括建设单位管理费(工程招标费)、勘察设计费、专项评价费(包括环境影响评价及验收费、安全预评价及验收费、职业病危害预评价及控制效果评价费、地震安全性评价费、地质灾害危险性评价费、水土保持评价及验收费,压覆矿产资源评价费、节能评估费、危险与可操作性分析及安全完整性评价费以及其他专项评价及验收费。)研究试验费、引进技术和进口设备其他费(进口设备检验鉴定费、建设工程监理费等。第三类是与未来企业生产经营有关的费用,包括联合试运转费(不包括应由设备安装工程费开支的单台设备调试费及无负荷联动试运转费用)、生产准备费、办公和生活家具购置费等。
88.项目可行性研究阶段进行的投资估算,在项目建设过程中的作用有( )
A.作为项目投资决策的重要依据
B.对工程设计概算起控制作用
C.作为编制施工最高投标限价的依据
D.作为项目资金筹措的依据
E.作为办理工程竣工结算的重要依据
【参考答案】ABD
【老师解析】投资估算在项目建设过程中的作用如下:( 1)项目建议书阶段的投资估算,是项目主管部门审批项目建议书的依据之一、并对项目的规划、规模起参考作用。(2)项目可行性研究阶段的投资估算。是项目投资决策的重要依据,也是研究、分析、计算项目投资经济效果的重要条件。(3)项目投资估算对工程设计概算起控制作用。当可行性研究报告被批准后,设计概算就不得突破批准的投资估算额,并应控制在投资估算额以内。(4)项目投资估算可作为项目资金筹措及制订建设贷款计划的依据。建设单位可根据批准的项目投资估算额,进行资金筹措和向银行申请贷款。(5)项目投资估算是核算建设项目建设投资需要额和编制建设投资计划的重要依据。(6)项目投资估算是进行工程设计招标、优选设计单位和设计方案的依据。在进行工程设计招标时,投标单位报送的标书中,除了具有设计方案的图纸说明、建设工期等,还包括项目的投资估算和经济性分析,以便衡量设计方案的经济合理性。
89.总监理工程师签发工程开工令时,该工程需具备的条件有( )。
A.已院成设计交底和图纸会审
B.已签认施工组织设计
C.已审核分包单位资质
D.已开通进场道路及水、电、通信
E.签署的工程开工报审表已获建设单位批准
【参考答案】ABD
【老师解析】具备下列条件时,应由总监理1程师签署审查意见,并应报建设单位批准后,总监理工程师签发工程开工令:1)设计交底和图纸会审已完成;2)施工组织设计已由总监理工程师签认;3)施工单位现场质量、安全生产管理体系已建立,管理及施工人员已到位,施工机械具备使用条件,主要工程材料已落实:4)进场道路及水、电、通信等已满足开工要求。
90在工程建设中,施工单位应履行的法定质量责任和义务有()。
A.建立质量责任制,对工程的施工质量负责
B.分包单位对其分包工程的质量向建设单位负责
C.施工中发现设计文件图纸有差错的,应及时提出意见和建议
【老师解析】质量管理体系的有效运行可以概括为全面贯彻、行为到位、适时管理、适中控制、有效识别、不断完善。
92项目监理机构建立项目质量控制系统时,应制定的工作制度有()。
A.施工图设计文件审查制度
B.施工组织设计审核审批制度
C.工程计量签证制度
D.工程资料检验制度
E.监理例会制度
【参考答案】BE
【老师解析】制定工作制度:施工图纸会审及设计交底制度;施工组织设计施工方案审核、审批制度;工程开工、复工审批制度;工程材料检验制度;工程质量检验制度;工程变更处理制度;工程质量验收制度;监理例会制度;监理工作日志制度
93.专业监理工程师对施工单位试验室的检查内容有()。
A.试验室的资质等级及实验范围
B.试验设备的计量
C.类似的试验业绩
D.相关试验方法
E.试验人员的资格证书
【参考答案】AD
【老师解析】专业监理工程师应检查施工单立为本工程提供服务的试验室(包括施工单位自有试验室或委托的试验室)。试验室的检查应包括下列内容:①试验室的资质等级及试验范围;②法定计量部门对试验设备出具的计量检定证明;③试验室管理制度;④试验人员资格证书。
94.下列流水施工参数中,属于空间参数的有()。
A.施工工期
B.施工段
C.工作面
D.施工强度
E.施工过程
【参考答案】BC
【老师解析】(1)工艺参数:施工过程、流水强度。D、E选项错误。(2)空间参数:施工段、工作面。
E、c选项正确(3)时间参数:流水节拍、流水步距、流水施工工期。A选项错误
95.开展建设项目总进度目标论证时,需要进行的工作有( )。
A项目结构分析
B项目工作编码
C.监理项目协调工作制度
D.进行总进度规划
E.编制各层进度计划
【参考答案】ABE
【老师解析】总进度目标论证的工作步骤建设项目总进度目标论证的工作步骤如下:( 1)调查研究和收集资料;(2)项目结构分析;A 选项正确。3)进度计划系统的结构分析;(4)项目的工作编码;B选项正确(5)编制各层进度计划:E选项正确(6)协调各层进度计划的关系,编制总进度计划;(7)若所编制的总进度计划不符合项目的进度目标,则设法调整;( 8)若经过多次调整,进度目标无法实现,则报告项目决策者。
96.下列工程进度控制措施中,属于合同措施的有()。
A.推行CM承发包模式
B.及时办理工程进度款支付手续
C.严格控制合同变更
D.加强索赔管理
E.对工程延误收取误期损失赔偿金
【参考答案】ACD
【老师解析】合同措施进度控制的合同措施主要包括:( 1推行CM承发包模式,对建设工程实行分段设计。分段发包和分段施工;A选项正确(2)加强合同管理,协调合同工期与进度计划之间的关系,保证合同中进度目标的实现;(3)严格控制合同变更,对各方提出的工程变更和设计变更,监理工程师应严格审查后再补入合同文件之中;C选项正确(4)加强风险管理,在合同中应充分考虑风险因素及其对进度的影响,以及相应的处理方法;(5)加强索赔管理,公正地处理索赔。D选项正确。
97采用修正总费用法计算索赔费用时,正确的做法有( )
A.重新核算投标费用
B.基于预算定额基价重新核算实际单价
C.将计算索赔款的时间段局限于收到外界影响的时间,而不是整个施工期
D.只计算受影响时段内某项工作所受影响的损失,而不是计算该时段内所有施工工作所遭受的损失
E.与该项工作无关的费用不计入工费用
【参考答案】CDE
【老师解析】修正的总费用法是对总费用法的改进,即在总费用计算的基础上、去掉一些不合理的因素.使其更合理。A 选项错误。修正的内容如下:( 1)将计算索赔款的时段局限于受到外界影响的时间,而不是整个施工期。C选项正确。(2)只计算受影响时段内的某项工作所受影响的损失,而不是计算该时段内所有施工工作所受的损失。D选项正确。(3)与该项工作无关的费用不列人总费用中。E选项正确。(4)对投标报价费用重新进行核算;按受影响时段内该项工作的实际单价进行核算,乘以实际完成的该项工作的工程量,得出调整后的报价费用。按修正后的总费用计算索赔金额的公式如下:索赔金额=某项工作调整后的实际总费用一该项工作调整后的报价费用。修正的总费用法与总费用法相比,有了实质性的改进,它的准确程度已接近于实际费用法。
98.下列工程量中,监理人应予计量的有( )。
A.非承包人原因工程变更增加的工程量
B.因工程量清单漏项增加的工程量
C.承包人超出图纸范围施工增加的工程量
D.因发包人提供资料错误造成承包人返工的工程量
E.承包人原因施工质量超出合同要求增加的工程量
【参考答案】ABD
【老师解析】非承包人原因引起的工程量增加,且质量达到要求的已完工程,监理人应予计量。
99.按计划期分解施工进度控制目标时,新分解的目标可用
A.实物工程量
B. XX消耗量
c.货币工作量
D.形象进度
E.里程碑事件
【参考答案】ACD
【老师解析】(四)按计划期分解,组织综合施工将工程项目的施工进度控制目标按年度、季度、月(或旬)进行分解,并用实物工程量、货币工作量及形象进度表示,将更有利于监理工程师明确对各承包单位的进度要求。
100项目采用估算工程量固定单价合同时,关于工程量和工程价款结算的说法,正确的有( )。
A.估算工程量应由投标人根据设计文件和现场情况测定
B.初始合同价格估算工程量和固定单价汇总计算得到
C.分部分项工程实际工程量与估算工程量不能有实质性变更
D.工程价款结算和支付按实际工程量而非估算工程量计算
E.合同完成后,实际工程价款应大于初始合同价款
【参考答案】CD
【老师解析】1)估算工程量单价合同;这种合同形式是以工程量清单和相应的综合单价表为基础和依据来计算合同价格的,也称为计量估价合同。估算工程量单价合同通常是由发包方提出工程量清单,列出分部分项工程量,由承包方以此为基础填报相应单价,累计计算后得出合同价格(A选项错误)。但最后的工程结算价应按照实际完成的工程量来计算,即按合同中的分部分项工程单价和实际工程量,计算得出工程结算和支付的工程总价格(B选项错误、D选项正确)。采用这种合同时,要求实际完成的工程量与原估计的工程量不能有实质性的变更。C选项正确。因为承包方给出的单价是以相应的工程量为基础的,如果工程量大幅度增减可能影响工程成本。这种合同计价方式较为合理地分担了合同履行过程中的风险。承包方据以报价的清单.工程量为估计工.程量,这样可以避免当实际完成工程量与估计工程量有较大差异时.总价合同计价可能导致发包方过大的额外支出或是承包方较大的亏损。此外,承包方在投标时可不必将不能合理准确预见的风险计入投标报价内,有利于发包方获得较为合理的合同价格。采用估算工程量单价合同时,工程量是统一计算出来的,承包方只要经过复核后填上适当的单价即可;发包方也只需审核单价是否合理,对双方都较为方便。由于具有这特点,估算工程量单价合同是比较常用的一种门同计价方式,它可在不能精确地计算出工程量的条件下,避免发包或承包的任何一方承担过大的风险。
101.关于最高投标限价的说法,正确的有()。
A.所有招标工程均应编制最高投标限价
B.招标人应委托造价咨询机构编制最高投标限制
C.最高投标限价应在招标文件中如实公布
D.招标人应公布最高投标限价的总价及其详细组成
E.招标人可在评标前根据情况调整最高投标限价
【参考答案】CD
【老师解析】选项A. B错误,根据相关部门规定,国有资金投资的建设工程招标。招标人必须编制最高投标限价。最高投标限价应由具有编制能力的指标人或受其委托工程造价咨询人编制和复核。C正确,E错误;招标人应在招标文件中如实公布最高投标
投标限价进行上浮或下调。E正确;人在招标文件中应公布最高投标限价各组成部分的详细内容,不得只公布最高投标限价总价。
102.工程监理单位承担施工图设计的协调管理服务。应完成的工作有( )。
A.明确施工图设计的深度要求
B.审查新材料、新工艺、新技术、新设备在相关部门的备案情况
C.建立设计过程的联席会议制度
D.开展深化设计管理
E.开展施工图审查
【参考答案】BCE
【老师解析】工程监理单位承担设计阶段相关服务的,应做好下列工作:(1)协助建设单位审查设计单位提出的新材料、新工艺、新技术、新设备(简称“四新)在相关部门的备案情况.(2)协助建设单位建立设计过程的联席会议制度,3)协助建设单位开展深化设计管理。
103.采用承压板现场试验方法检测地基土的承载力时,应满足的要求有()。
A.试验基坑深度宽度不应小于承压板宽度的3倍
B.试验基坑深度不应大于1.2m
C.同一土层参加统计的试验点不应少于3点
D.加荷分级不应小于8级
E.最大加载量不应小于设计要求的2倍
【参考答案】ACDE
【老师解析】地基土的承载力试验采用承压板现场试验确定。试验方法按照现行国家标准《建筑地基基础设计规范》GB50007要求进行,要点如下:试验方法要点如下:1)试验基坑宽度不应小于承压板宽度或直径的3倍。2)加荷分级不应少于8级。最大加载量不应小于设计要求的2倍。3)当出现下列情况之一时,即可终止加载:①承压板周围的土明显地侧向挤出;②沉降x急骤增大,荷载-沉降(P-S)曲线出现陡降段;③在某一荷载下,24h内沉降速率不能达到稳定;④沉降量与承压板宽度或直径之比大于或等于0.06。4)同一
点,当试验参数实测值的极差不超过其平均值的30%时,取此平均值作为地基承载力特征值。
104.价值工程活动中,在创新阶段建新方案可采用的方法有
A.功能成本法
B.功能指数法
c.德尔菲法
D.头脑风暴法
E.哥顿法
【参考答案】CDE
【老师解析】价值工程新方案创造:为了引导和启发创造性的思考,比较常用的方法有以下几种头脑风暴法,哥顿法,专家意见法(德尔菲法)、专家检查法。
105.通过压缩关键工作的持续时间来调整工程网络计划时,应优先选择( )的关键工作作为压缩对象。
A.资源强度最小
B.持续时间最大
C.缩短时间总费用增加最少
D.缩短时间所需增加直接费最少
E缩短时间对安全影响不大
【参考答案】DE
【老师解析】在网络计划的工期优化过程中.选择压缩对象时宜在关键工作中考虑下列因素:①缩短持续时间对质量和安全影响不大的工作②有充足备用资源的工作;③缩短持续时间所需增加的费用最少的工作。D选项正确。一般来说,不管采取哪种措施,都会增加费用。因此,在调整施工进度计划时,应利用费用优化的原理选择费用增加量最小的关键工作作为压缩对象。
106.采用控制图法分析工序质量状况时,可判定为生产状态异常的情形有( )。
A.连续2点至少有1点接近控制界限
B.连续3点至少有2点接近控制界限
C.连续7点至少有3点接近控制界限
D.连续10点至少有4点接近控制界限
E.连续20点至少有5点接近控制界限
【参考答案】BCD
【老师解析】点子排列接近控制界限。是指质量点落在| μ+2σ以外和μ+3σ以内。如属下列情况的,判定为异常:?连续3点至少有2点接近控制界限;?连续7点至少有3点接近控制界限;连续10点至少有4点接近控制界限。
107.关于工程网络计划中关键线路的说法,正确的有()。
A.关键线路上相邻两项工作之间的时距均为零
B.关键线路上的工作是关键工作
C.关键节点组成的线路是关键线路
D.双代号时标网络计划中无波形线的线路是关键线路
E.单代号网络计划中时间间隔均为零的线路是关键线路
【参考答案】BDE
【老师解析】A错误,所谓时距,就是在搭接网络计划中相邻两项工作之间的时间差值,与关键线路没有必然关系,C错误:关键工作两端的节点必为关键节点,但两端为关键节点的工作不一定是关键工作。
108.某项目计算期8年,基准收益率为6%,基准动态投资回收期为7年,计算期现金流量如下表。(单位:万元)根据该项目现金流量可得到的结论是()。

目静态投资回收期为7.5年
D从动态投资回收期判断,项目可行
E项目前三年累计现金流量现值为-2248.4万元
【参考答案】ACE
【老师解析】项目累计净现金流量=-3300+500+500+500+500+500+500+600=300万元. A正确。从表中无法找到利润的相关数据,B错误。静态投资回收期是在不考虑资金时间价值的条件下,累计净现金流等于0时对应时间:7+300/600=7.5年,C 正确。动态投资回收期要比静态投资回收期长些,因此动态投资回收期大于7.5年,超过基准动态投资回收期,项目不可行,D错误。项目前三年累计现金流量现值为-3300/(1+6%)+500/(1+6%)2+500/(1+6%)2=-2248.4万元,E 正确。
109.某工程进度计划执行到第3月底和第8月底的前锋线如下图所示.图中表明的是正确信息有( )。
)
A.工作C在第3月底检查时,拖后1个月,影响工期
B.工作D在第3月底检查时超前1个月,不影响工期
C.工作H在第8月底检查时,拖后1个月,不影响工期
D.工作I在第8月底检查时进度正常,不影响工期
E.工作G在第8月底检查时拖后1个月,不影响工期
【参考答案】ABC
【老师解析】D错误;工作I在第8月底检查时拖后1个月,影响工期,E错误工作G在第8月底检查时拖后2个月,影响工期:
110.某工程组织流水施工,各施工段流水节拍如下表所示,该工程的流水步距,间歇时间和流水施工工期计算正确的有()
A. AB间流水步距为3
B. BC间流水步距为5
C. CD间流水步距为2
D. AD间流水步距为9
E.流水施工工期为20
【参考答案】ACE
【老师解析】求各施工过程流水节拍的累加数列:施工过程A:3,7,10施工过程B:4,7,10施工过程C:2,4,7施工过程D:3,5,9错位相减求得差数列在差数列中取最大值求得流水步距AB间流水步距为3BC间流水步距为6CD间流水步距为2流水施工工期=3+6+2+9=20
111.项目监理机构在主体结构工程施工阶段进行巡视的内容有(这个是旁站)
A.检查钢筋连接方式是否符合设计要求
B.查看模板拆除是否符合已审批的施工方案
C.审查装配式预制构件的吊装方案
D.监督钢筋在梁柱节点的安装质量
E.检查基坑坑边的荷载是否在允许范围内
【参考答案】ABD
【老师解析】巡视是对工程施工质量进行巡视,强调是否按照工程设计文件、工程建设标准和批准的施工组织设计、(专项)施工方案施工进行施工,而不是对方案本身进行审查。E属于基础土方开挖工程的内容。
