2023年考研数学二真题及参考答案解析
一、选择题:1~10小题,每小题5分,共50分.在每小题给出的四个选项中,只有一个选项是最符合题目要求的,请将所选项前的字母填在答题纸指定位置上.
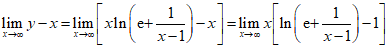
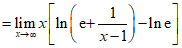
1.
的斜渐近线为( )
A.
B.
C.
D.
【答案】B.
【解析】由已知
,则
,



,
所以斜渐近线为
.故选B.
2. 函数
的一个原函数为( ).
A.
B.
C.
D.
【答案】D.
【解析】由已知
,即
连续.
所以
在
处连续且可导,排除A,C.
又
时,
,
排除B.
故选D.
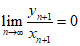
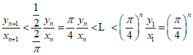
3.设数列
满足
,当
时( ).
A.
是
的高阶无穷小 B.
是
的高阶无穷小
C.
是
的等价无穷小 D.
是
的同阶但非等价无
穷小
【答案】B.
【解析】在
中,
,从而
.又
,从而
,
所以
.故选B.
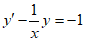
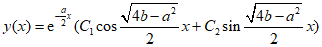
4. 若
的通解在
上有界,这( ).
A.
B.
C.
D.
【答案】D
【解析】微分方程
的特征方程为
若
,则通解为
;
②若
,则通解为
;
③若
,则通解为
.
由于
在
上有界,若
,则①②③中
时通解无界,若
,则①②③中
时通解无界,故
.
时,若
,则
,通解为
,在
上有界.
时,若
,则
,通解为
,在
上无界.
综上可得
,
.故选D.
5. 设函数
由参数方程
确定,则( ).
A.
连续,
不存在 B.
存在,
在
处不连续
C.
连续,
不存在 D.
存在,
在
处不连续
【答案】C
【解析】
,故
在
连续.


时,
;
时,
;
时,
,故
在
连续.
,
,
故
不存在.故选C.
6. 若函数
在
处取得最小值,则
( )
A.
B.
C.
D.
【答案】A.
【解析】已知
,则
,
令
,解得
故选A.
7.设函数
.若
没有极值点,但曲线
有拐点,则
的取值范围是( ).
A.
B.
C.[1,2) D. 
【答案】C.
【解析】由于
没有极值点,但曲线
有拐点,则
有两个相等的实根或者没有实根,
有两个不相等的实根.于是知
解得
.故选C.
8.
为可逆矩阵,
为单位阵,
为
的伴随矩阵,则
A.
B.
C.
D.
【答案】B
【解析】由于
,
故



.
故选B.
9.
的规范形为
A.
B.
C.
D.
【答案】B
【解析】

二次型的矩阵为
,
,
,故规范形为
,故选B.
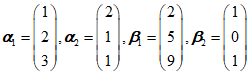
10.已知向量组
,若
既可由
线性表示,又可由
线性表示,则
( )
A.
B.
C.
D.
【答案】D
【解析】设
,则
,对关于
的方程组的系数矩阵作初等变换化为最简形,
,
解得
,故

.故选D.
二、填空题:11~16小题,每小题5分,共30分.请将答案写在答题纸指定位置上.
11.当
时,
与
是等价无穷小,则
________.
【答案】
【解析】由题意可知,


,
于是
,即
,从而
.
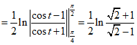
12. 曲线
的孤长为_________.
【答案】
【解析】曲线
的孤长为





.
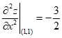
13. 设函数
由方程
确定,则
_________.
【答案】
【解析】将点
带入原方程,得
.
方程
两边对
求偏导,得
,
两边再对
求偏导,得
,将
代入以上两式,得
,
.
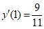
14. 曲线
在
对应点处的法线斜率为_________.
【答案】
【解析】当
时,
.
方程
两边对
求导,得
,将
,
代入,得
.于是曲线
在
对应点处的法线斜率为
.
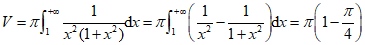
15. 设连续函数
满足
,
,则
_________.
【答案】
【解析】

.
16.
有解,其中
为常数,若
,则
________.
【答案】
【解析】方程组有解,则
,故
.
三、解答题:17~22小题,共70分.解答应写出文字说明、证明过程或演算步骤.
17.(本题满分10分)
设曲线
经过点
,
上任一点
到
轴的距离等于该点处的切线在
轴上的截距,
(Ⅰ)求
;
(Ⅱ)在L上求一点,使该点的切线与两坐标轴所围三角形面积最小,并求此最小面积.
【解】(Ⅰ)曲线
在点
处的切线方程为
,令
,则切线在
轴上的截距为
,则
,即
,解得
,其中
为任意常数.
又
,则
,故
.
(Ⅱ)设曲线
在点
处的切线与两坐标轴所围三角形面积最小,此时切线方程为
.
令
,则
;令
,则
.
故切线与两坐标轴所围三角形面积为
,
则
.令
,得驻点
.
当
时,
;当
时,
,故
在
处取得极小值,同
时也取最小值,且最小值为
.
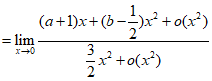
18.(本题满分12分)
求函数
的极值.
【解】由已知条件,有
,
.
令
,解得驻点为
,其中
为奇数;
,其中
为偶数.
,
,
.
在点
处,其中
为奇数,
,
,
,
由于
,故
不是极值点,其中
为奇数.
在点
处,其中
为偶数,
,
,
,
由于
,且
,故
为极小值点,其中
为偶数,且极小值为
.
19.(本题满分12分)
已知平面区域
,
(1)求平面区域
的面积
.
(2)求平面区域
绕
一周所形成的旋转体的体积
【解】(1)


.
(2)
.
20.(本题满分12分)
设平面区域
位于第一象限,由曲线
,
与直线
围成,计算
.
【解】




.
21.(本题满分12分)
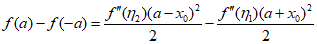
设函数
在
上有二阶连续导数.
(1)证明:若
,存在
,使得
;
(2)若
在
上存在极值,证明:存在
,使得
.
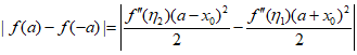
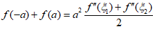
【证明】(1)将
在
处展开为
,
其中
介于
与
之间.
分别令
和
,则
,
,
,
,
两式相加可得
,
又函数
在
上有二阶连续导数,由介值定理知存在
,使得
,
即
.
(2)设
在
处取得极值,则
.
将
在
处展开为
,
其中
介于
与
之间.
分别令
和
,则
,
,
,
,
两式相减可得
,
所以



,
即
.
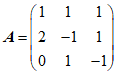
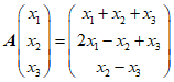
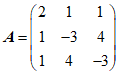
22.(本题满分12分)
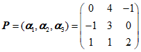
设矩阵
满足对任意的
均有
.
(1)求
(2)求可逆矩阵
与对角阵
,使得
.
【解】(1)由
,得
,
即方程组
对任意的
均成立,故
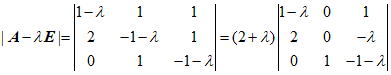
(2)
,
,
特征值为
.
,
;
,
;
,
,
令
,则
