2023年考研数学三真题及参考答案
一、选择题:1~10小题,每小题5分,共50分.在每小题给出的四个选项中,只有一个选项是最符合题目要求的,请将所选项前的字母填在答题纸指定位置上.
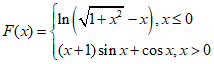
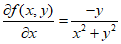
1. 已知函数
,则( ).
A.
不存在,
存在 B.
存在,
不存在
C.
存在,
存在 D.
不存在,
不存在
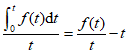
【答案】A.
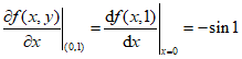
【解析】由已知
,则
,
.
当
时,
,
;
当
时,
,
;
所以
不存在.
又
,存在.
故选A.
2. 函数
的一个原函数为( ).
A.
B.
C.
D.
【答案】D.
【解析】由已知
,即
连续.
所以
在
处连续且可导,排除A,C.
又
时,
,
排除B.
故选D.
3. 若
的通解在
上有界,则( ).
A.
B.
C.
D.
【答案】D.
【解析】微分方程
的特征方程为
.
①若
,则通解为
;
②若
,则通解为
;
③若
,则通解为
.
由于
在
上有界,若
,则①②③中
时通解无界,若
,则①②③中
时通解无界,故
.
时,若
,则
,通解为
,在
上有界.
时,若
,则
,通解为
,在
上无界.
综上可得
,
.
4. 设
,且
与
收敛,
绝对收敛是
绝对收敛的( ).
A.充分必要条件 B.充分不必要条件
C.必要不充分条件 D.既非充分又非必要条件
【解析】由已知条件可知
为收敛的正项级数,进而
绝对收敛.
设
绝对收敛,则由
与比较判别法,得
绝对收玫;
设
绝对收敛,则由
与比较判别法,得
绝对收敛.故选A.
5.
为可逆矩阵,
为单位阵,
为
的伴随矩阵,则
A.
B.
C.
D.
【答案】B.
【解析】由于
,
故




故选B..
6.
的规范形为
A.
B.
C.
D.
【答案】B
【解析】
,
二次型的矩阵为
,
,
,故规范形为
,故选B.
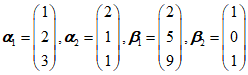
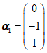
7.已知向量组
,若
既可由
线性表示,又可由
线性表示,则
( )
A.
B. 
C.
D. 
【答案】D.
【解析】设
,则
,对关于
的方程组的系数矩阵作初等变换化为最简形,
,
解得
,故

.
8.设
服从参数为1的泊松分布,则
( ).
A.
B.
C.
D.
【答案】C.
【解析】方法一:由已知可得,
,
,故

.
故选C.
方法二:由于
,于是
于是
.
由已知可得,
,
,故



.
.
故选C.
9.设
为来自总体
的简单随机样本,
为来自总体
的简单随机样本,且两样本相互独立,记
,
,
,
,则( )
A.
B.
C.
D. 
【答案】D.
【解析】由两样本相互独立可得
与
相互独立,且
,
,
因此
,故选D.
10. 已知总体
服从正态分布
,其中
为未知参数,
,
为来自总体
的简单随机样本,记
,若
,则
( ).
A.
B.
C.
D.
【答案】A.
【解析】由与
,
为来自总体
的简单随机样本,
,
相互独立,且
,
,
因而
,令
,所以
的概率密度为
,
所以
,
由
,即
,
解得
,故选A.
二、填空题:11~16小题,每小题5分,共30分.请将答案写在答题纸指定位置上.
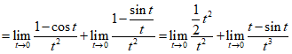
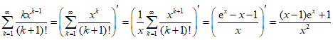
11.求极限
____________.
【答案】
.
【解析】


.
12.已知函数
满足
,且
,则
____________.
【答案】
.
【解析】由已知
,
,则
,
所以
,即
,
,
从而
,又
,解得
,故
,
.
13.
____________.
【答案】
.
【解析】令
,则
,且
,
,
,
从而可得微分方程
,解得
,
又
,
,解得
,故
.
14.某公司在
时刻的资产为
,则从
时刻到
时刻的平均资产等于
,假设
连续且
,则
____________.
【答案】
.
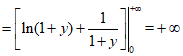
【解析】由已知可得
,整理变形
,
等式两边求导
,即
,解得一阶线性微分方程通解为
,
又
,解得
,故
.
15.
有解,其中
为常数,若
,则
________.
【答案】
【解析】方程组有解,则
,故
.
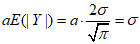
16. 设随机变量
与
相互独立,且
,
,
则
与
的相关系数为____________.
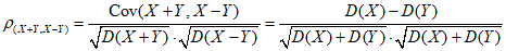
【答案】
【解析】由题意可得,
,
,又由
与
相互独立可知,
,故


三、解答题:17~22小题,共70分.解答应写出文字说明、证明过程或演算步骤.
17.(本题满分10分)
已知函数
满足
,且
.
(1)求
的值;
(2)判断
是否为函数
的极值点.
【解】(1)将
代入
得
.
方程
两边对
求导得
,
将
代入上式得
,解得
.
(2)由(1)知
,上式两边再对
求导得

将
代入上式得
,所以
是函数
的极大值点.
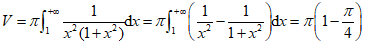
18.(本题满分12分)
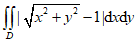
已知平面区域
,
(1)求平面区域
的面积
.
(2)求平面区域
绕
一周所形成得旋转体的体积
【解】(1)

.
(2)
.
19.(本题满分12分)
已知
,求
.
【解】令
,则




20.(本题满分12分)
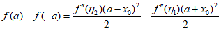
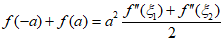
设函数
在
上有二阶连续导数.
(1)证明:若
,存在
,使得
;
(2)若
在
上存在极值,证明:存在
,使得
.
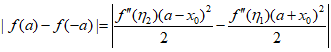
【证明】(1)将
在
处展开为
,
其中
介于
与
之间.
分别令
和
,则
,
,
,
,
两式相加可得
,
又函数
在
上有二阶连续导数,由介值定理知存在
,使得
,
即
.
(2)设
在
处取得极值,则
.
将
在
处展开为
,
其中
介于
与
之间.
分别令
和
,则
,
,
,
,
两式相减可得
,
所以



,
即
.
21.(本题满分12分)
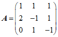
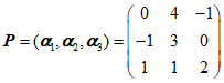
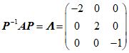
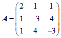
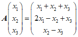
设矩阵
满足对任意的
均有
.
(1)求
(2)求可逆矩阵
与对角阵
,使得
.
【解】(1)由
,得
,
即方程组
对任意的
均成立,故
.
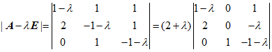
(2)
,
,
特征值为
.
,
;
,
;
,
,
令
,则
.
22.(本题满分12分)
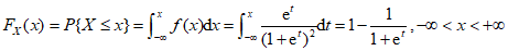
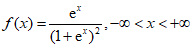
设随机变量
的概率密度函数为
,令
.
(1)求
的分布函数;
(2)求
的概率密度函数;
(3)判断
的数学期望是否存在.
【解】(1)设
的分布函数为
,由分布函数的定义可得
.
(2)设
的分布函数为
,概率密度为
,由分布函数的定义可得
,
当
时,
;
当
时,
.
综上,
故
的概率密度函数

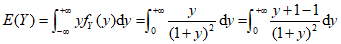
(3)由(2)知,


,
故
的数学期望不存在.
