2025年云南普通高中学业水平选择性考试化学试题及答案
可能用到的相对原子质量:H 1 Li 7 C 12 N 14 O 16 F 19 Na 23 S 32 Cl 35.5 Mn 55 Fe 56 Cu 64 Sb 122
一、选择题:本题共14小题,每小题3分,共42分。在每小题给出的四个选项中,只有一项是符合题目要求的。
1. 画中有“化”,多彩中华。下列叙述正确的是
A. 岩彩壁画颜料所用贝壳粉,主要成分属于硅酸盐
B. 油画颜料调和剂所用核桃油,属于有机高分子
C. 竹胎漆画颜料赭石的主要成分氧化铁,耐酸、碱
D. 水墨画墨汁的主要成分碳,常温不易被氧化
2. 下列化学用语或图示表示正确的是
A.
的VSEPR模型:
B.
的电子式:![]()
C. Cl
原子结构示意图:
D.
溶于水的电离方程式:![]()
3. 下列化学方程式错误的是
A. 煤制水煤气:
B.
供氧:![]()
C. 覆铜板制作印刷电路板:![]()
D. 铅酸蓄电池放电:![]()
4.
为阿伏加德罗常数的值。下列说法正确的是
A.
中原子的数目为![]()
B.
所含中子的数目为![]()
C.
粉和足量S完全反应,转移电子的数目为![]()
D.
盐酸与足量
反应,生成
的数目为![]()
5. 下列装置(省略部分夹持装置)或操作正确的是
| |
A.制备 | B.配制 |
| |
C.探究Na与 | D.探究温度对化学平衡的影响 |
A. AB. BC. CD. D
6. 化合物Z是某真菌的成分之一,结构如图。下列有关该物质说法错误的是
A. 可形成分子间氢键
B. 与乙酸、乙醇均能发生酯化反应
C. 能与
溶液反应生成![]()
D.
与
的
溶液反应消耗![]()
7. 稻壳制备纳米Si的流程图如下。下列说法错误的是
A.
可与NaOH溶液反应
B. 盐酸在该工艺中体现了还原性
C. 高纯Si可用于制造硅太阳能电池
D. 制备纳米Si:![]()
8. 某化学兴趣小组设计如下实验装置,通过测定反应前后质量的变化,验证
固体在酒精灯加热条件下,受热分解的气态产物。
实验步骤:先缓慢通入Ar气,排尽装置内空气;关闭Ⅰ左侧阀门,点燃酒精灯;一段时间后,Ⅱ中灼热的铜网变黑,熄灭酒精灯甲;再次缓慢通入Ar气……
下列说法错误的是
A. 实验步骤中,点燃酒精灯的顺序为甲、乙、丙
B. 整个过程中,若Ⅲ中灼热的铜网未变黑,则说明生成的
在Ⅱ中反应完全
C. 实验结束后,若Ⅰ中减少的质量等于Ⅱ中增加的质量,则分解的气态产物只有![]()
D.
应远离热源、可燃物,并与还原性物质分开存放
9. 钙霞石是一种生产玻璃陶瓷的原料,所含M、Q、R、T、X、Y、Z为原子序数依次增大的前20号主族元素,M是原子半径最小的元素,Q是形成物质种类最多的元素,R是地壳中含量最高的元素,T、X、Y同周期,Q、X均与Y相邻,Z的原子序数等于M、R和T的原子序数之和。下列说法正确的是
A. M与Z可形成离子化合物B. 原子半径:![]()
C.
是极性分子D. 电负性:![]()
10. 铜催化下,由
电合成正丙醇的关键步骤如图。下列说法正确的是

A. Ⅰ到Ⅱ的过程中发生氧化反应B. Ⅱ到Ⅲ的过程中有非极性键生成
C. Ⅳ的示意图为
D. 催化剂Cu可降低反应热
11. 一种用双极膜电渗析法卤水除硼的装置如图所示,双极膜中
解离的
和
在电场作用下向两极迁移。除硼原理:
。下列说法错误的是
A. Pt电极反应:![]()
B. 外加电场可促进双极膜中水的电离
C. Ⅲ室中,X膜、Y膜分别为阳离子交换膜和阴离子交换膜
D. Ⅳ室每生成
,同时Ⅱ室最多生成![]()
12. Be及其化合物的转化关系如图。下列说法错误的是
A.
是两性氢氧化物
B.
和
的晶体类型相同
C.
中Be原子
杂化方式为![]()
D.
与
反应:![]()
13.
是优良的固态电解质材料,
取代部分
后产生空位,可提升
传导性能。取代后材料的晶胞结构示意图(
未画出)及其作为电解质的电池装置如下。下列说法错误的是
A. 每个晶胞中
个数为12
B. 该晶胞在yz平面的投影为
C.
取代后,该电解质的化学式为![]()
D. 若只有
发生迁移,外电路转移的电子数与通过截面MNPQ的
数目相等
14. 甲醛法测定
的反应原理为
。取含
的废水浓缩至原体积的
后,移取20.00mL,加入足量甲醛反应后,用
的NaOH标准溶液滴定。滴定曲线如图1,含氮微粒的分布分数
与pH关系如图2[比如:
]。下列说法正确的是

A. 废水中![]()
含量为![]()
B. c点:![]()
C. a点:![]()
D.
的平衡常数![]()
二、非选择题:本题共4小题,共58分。
15. 从褐铁矿型金-银矿(含Au、Ag、
、
、CuO、
等)中提取Au、Ag,并回收其它有价金属的一种工艺如下:
已知:①金-银矿中Cu、Mn元素的含量分别为0.19%、2.35%。
②25℃时,
的
为
。
回答下列问题:
(1)基态Cu原子的价层电子排布式为_______。
(2)“还原酸浸”时,
反应的离子方程式为_______。
(3)“浸金银”时,Au溶解涉及的主要反应如下:
①![]()
②![]()
上述过程中的催化剂为_______。
(4)“沉铜”前,“滤液1”多次循环的目的为_______。
(5)根据“还原酸浸”“氧化”,推断
的氧化性由强到弱的顺序为_______。
(6)25℃“沉铁”后,调节“滤液4”的pH至8.0,无
析出,则
_______
。
(7)一种锑锰
合金的立方晶胞结构如图。
①该晶胞中,每个Sb周围与它最近且相等距离的Mn有_______个。
②
为阿伏加德罗常数的值,晶胞边长为anm,则晶体的密度为_______
(列出计算式即可)。
16. 三氟甲基亚磺酸锂
是我国科学家通过人工智能设计开发的一种锂离子电池补锂剂,其合成原理如下:
实验步骤如下:
Ⅰ.向A中加入
和20.0mL蒸馏水,搅拌下逐滴加入2.1mL(3.3g)三氟甲磺酰氯
,有气泡产生(装置如图,夹持及加热装置省略)。80℃下反应3h后,减压蒸除溶剂得浅黄色固体。
Ⅱ.向上述所得固体中加入10.0mL四氢呋喃(THF),充分搅拌后,加入无水
,振荡,抽滤、洗涤。
将所得滤液减压蒸除THF,得黏稠状固体。加入适量乙醇进行重结晶。
Ⅲ.将所得三氟甲基亚磺酸钠和3.0mLTHF加入圆底烧瓶中,搅拌溶解后逐滴加入足量浓盐酸,析出白色固体。抽滤、洗涤。
Ⅳ.将滤液转入圆底烧瓶中,加入2.0mL蒸馏水和过量LiOH。室温搅拌反应1h后,减压蒸除溶剂,得粗产品。加入适量乙醇进行重结晶,得产品1.1g。
已知:THF是一种有机溶剂,与水任意比互溶。
回答下列问题:
(1)仪器A的名称为_______,冷凝管中冷却水应从_______(填“b”或“c”)口通入。
(2)步骤Ⅰ反应中有气泡产生,其主要成分为_______。
(3)步骤Ⅱ中第一次洗涤
目的是_______。
(4)步骤Ⅲ中发生反应的化学方程式为_______,判断加入浓盐酸已足量的方法为_______。
(5)步骤Ⅳ中加入蒸馏水的作用是_______。
(6)三氟甲基亚磺酸锂的产率为_______(列出计算式即可)。
17. 我国科学家研发出一种乙醇(沸点78.5℃)绿色制氢新途径,并实现高附加值乙酸(沸点118℃)的生产,主要反应为:
Ⅰ.
![]()
Ⅱ.
![]()
回答下列问题:
(1)乙醇可由秸秆生产,主要过程为
秸秆
纤维素
_______
乙醇
(2)对于反应Ⅰ:
①已知
则
_______
。
②一定温度下,下列叙述能说明恒容密闭容器中反应达到平衡状态的是_______(填标号)。
A.容器内的压强不再变化
B.混合气体的密度不再变化
C.
的体积分数不再变化
D.单位时间内生成
,同时消耗![]()
③反应后从混合气体分离得到
,最适宜的方法为_______。
(3)恒压100kPa下,向密闭容器中按
投料,产氢速率和产物的选择性随温度变化关系如图1,关键步骤中间体的能量变化如图2。[比如:乙酸选择性
]
①由图1可知,反应Ⅰ最适宜的温度为270℃,原因为_______。
②由图中信息可知,乙酸可能是_______(填“产物1”“产物2”或“产物3”)。
③270℃时,若该密闭容器中只发生反应Ⅰ、Ⅱ,平衡时乙醇的转化率为90%,乙酸的选择性为80%,则
_______,平衡常数
_______
(列出计算式即可;用平衡分压代替平衡浓度计算,分压=总压×物质的量分数)。
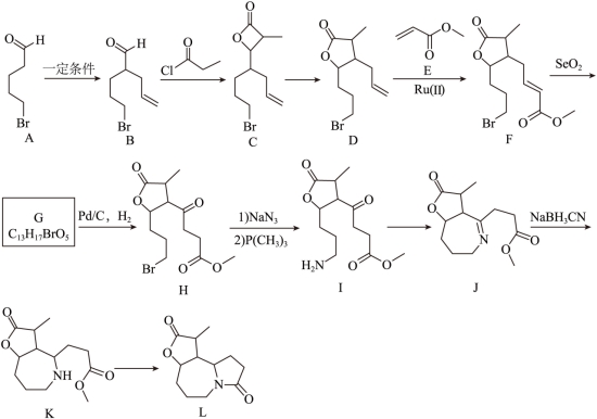
18. 化合物L是某中药的活性成分。一种合成路线如下(略去部分试剂与反应条件,忽略立体化学)。

已知:在Ru(Ⅱ)的催化下,端烯烃
和
生烯烃复分解反应得到产物
。
回答下列问题:
(1)A中含氧官能团的名称为_______。
(2)对比C和D的结构,可以推知C和D的_______(填标号)不相同。
a.分子式 b.质谱图中的碎片峰 c.官能团
(3)D→F中另一产物的化学名称为_______。
(4)E发生加聚反应,产物的结构简式为_______。
(5)F→G的反应类型为_______。
(6)羰基具有较强的极性。I→J经历了加成和消去的过程,其中间体的结构简式为_______(填标号)。
a.
b.
c.
d.
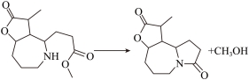
(7)
的化学方程式为_______。
(8)写出一种满足下列条件的L的同分异构体的结构简式_______(不考虑立体异构)。
①能与
发生显色反应;1mol该物质与足量NaOH溶液反应,消耗3molNaOH。
②核磁共振氢谱显示6组峰,且峰面积比为
。
③含有酯基和氨基(或取代的氨基,
,
和
可以是H或烃基)。
参考答案
一、选择题:本题共14小题,每小题3分,共42分。在每小题给出的四个选项中,只有一项是符合题目要求的。
【1题答案】
【答案】D
【2题答案】
【答案】A
【3题答案】
【答案】C
【4题答案】
【答案】B
【5题答案】
【答案】D
【6题答案】
【答案】D
【7题答案】
【答案】B
【8题答案】
【答案】A
【9题答案】
【答案】A
【10题答案】
【答案】C
【11题答案】
【答案】C
【12题答案】
【答案】B
【13题答案】
【答案】C
【14题答案】
【答案】D
二、非选择题:本题共4小题,共58分。
【15题答案】
【答案】(1)
(2)
(3)
(4)大幅度降低硫酸和亚碳酸钠
消耗成本,同时减少废水产生量及处理成本,并通过持续去除杂质提高金银的富含度
(5)
(6)0.19 (7) ①. 12 ②. ![]()
【16题答案】
【答案】(1) ①. 三颈烧瓶 ②. b
(2)二氧化碳 (3)将吸附在滤渣上的产品尽可能全部转入滤液中,提高产率
(4) ①.
②. 取少量上层清液于小试管中,滴加浓盐酸,若无白色沉淀,则浓盐酸已足量
(5)作为溶剂,溶解后加快反应速率
(6)40%
【17题答案】
【答案】(1)葡萄糖 (2) ①. +44.4 ②. AC ③. 降温冷凝后收集气体
(3) ①. 乙酸选择性最大且反应速率较快 ②. 产物1 ③. 36:5 ④. ![]()
【18题答案】
【答案】(1)醛基 (2)b
(3)乙烯 (4)
(5)氧化反应 (6)c
(7)
(8)
或
或
