2024年四川乐山中考化学试题及答案
1. 化学与生产生活密切相关,下列说法错误的是
A. 人体中钙元素含量过低会引起贫血
B. 可以用食盐腌制鱼和肉等,以延长保存时间
C. 食用蔬菜和水果等可以补充人体所需维生素
D. 用新能源汽车代替燃油汽车,以减少对空气的污染
【答案】A
【解析】
【详解】A、钙主要存在于骨骼和牙齿中,使骨骼和牙齿具有坚硬的结构支架,幼儿和青少年缺钙会患佝偻病,老年人会患骨质疏松;铁是血红蛋白的组成成分,人体中铁元素含量过低会引起贫血,故A说法错误;
B、食盐腌制具有抑菌作用,可以用食盐腌制鱼和肉等,以延长保存时间,故B说法正确;
C、蔬菜水果富含维生素,食用蔬菜和水果等可以补充人体所需维生素,故C说法正确;
D、用新能源汽车代替燃油汽车,可以减少传统燃油的使用,以减少对空气的污染,故D说法正确;
故选:A。
2. 化学是一门以实验为基础的科学,下列实验涉及化学变化的是
A.
研碎胆矾 B.
蜡烛燃烧
C.
品红扩散 D.
金刚石切割玻璃
【答案】B
【解析】
【详解】A、研碎胆矾过程中只是形状发生改变,没有新物质生成,属于物理变化,故选项错误;
B、蜡烛燃烧过程中有新物质二氧化碳等生成,属于化学变化,故选项正确;
C、品红扩散分子运动的结果,过程中没有新物质生成,属于物理变化,故选项错误;
D、金刚石切割玻璃过程中只是形状发生改变,没有新物质生成,属于物理变化,故选项错误;
故选:B。
3. 化学用语是学习化学的重要工具,下列符号表达正确的是
A. 2个氢原子:
B. 2个铁离子:![]()
C. 2个水分子:
D. 高锰酸钾:![]()
【答案】C
【解析】
【详解】A、原子的表示方法,用元素符号来表示一个原子,表示多个该原子,就在其元素符号前加上相应的数字。2个氢原子表示为2H,故A错误;
B、离子的表示方法,在表示该离子的元素符号右上角,标出该离子所带的正负电荷数,数字在前,正负符号在后,带1个电荷时,1要省略,若表示多个该离子,就在其离子符号前加上相应的数字。2个铁离子表示为2Fe3+,故B错误;
C、分子的表示方法,正确书写物质的化学式,表示多个该分子,就在其化学式前加上相应的数字。2个水分子表示为2H2O,故C正确;
D、高锰酸钾是由显+1价的钾元素和显-1价的高锰酸根组成,其化学式为KMnO4,K2MnO4为锰酸钾的化学式,故D错误;
故选:C。
4. 将密封良好的饼干从平原带到高原,包装袋会鼓起的原因是
A. 袋内气体分子数目增多 B. 袋内单个气体分子质量变大
C. 袋内气体分子间的间隔变大 D. 袋内气体分子的种类变多
【答案】C
【解析】
【分析】将密封良好的饼干从平原带到高原时,高原地区的气压较低,包装袋内的气体分子间隔会变大,故包装袋鼓起,而袋中分子的体积,质量和个数都不发生变化.
【详解】A、袋内气体分子数目不变,说法错误;
B、袋内分子之间间隔变大,单个气体分子质量不变,说法错误;
C、袋内气体分子间的间隔变大,说法正确;
D、袋内气体分子的种类不变,说法错误;
故选:C。
5. 水是生命之源,下列关于水的说法正确的是
A. 人体呼出的气体比吸入的空气中水蒸气含量低
B. 将水和植物油混合后可以形成溶液
C. 生活中可以用过滤的方法降低水的硬度
D. 电解水时正极产生的气体是氧气
【答案】D
【解析】
【详解】A、人体呼出的气体比吸入的空气中水蒸气含量高,说法错误;
B、将水和植物油混合后不能形成溶液,形成的是乳浊液,说法错误;
C、过滤是实现固液分离的操作,过滤不能降低水的硬度,生成中常用煮沸降低水的硬度,说法错误;
D、电解水时正极产生的气体是氧气,负极产生的气体是氢气,说法正确;
故选:D。
6. 乙二醇可用于生产汽车防冻液,其分子的微观结构示意图如图所示,下列有关乙二醇的说法正确的是

A. 化学式为
B. 相对分子质量为62
C. 分子中碳原子和氢原子的个数比为
D. 一个乙二醇分子由10个元素组成
【答案】B
【解析】
【详解】A、由乙二醇的微观示意图可知:化学式为C2H6O2,说法错误;
B、乙二醇相对分子质量=
,乙二醇相对分子质量为62,说法正确;
C、乙二醇(C2H6O2)分子中碳、氢原子个数比=2:6=1:3,说法错误;
D、分子是由原子构成的,1个乙二醇分子由10个原子构成,说法错误;
故选:B。
7. 下列物质中属于纯净物的是
①五氧化二磷 ②液氮 ③空气中0.94%的稀有气体 ④青铜 ⑤![]()
A. ①②⑤ B. ①③⑤ C. ②③④ D. ②④⑤
【答案】A
【解析】
【详解】①五氧化二磷是由一种物质组成的,属于纯净物;
②液氮是由一种物质组成的,属于纯净物;
③空气中0.94%的稀有气体是由氦气、氩气等多种物质组成的,属于混合物;
④青铜是铜的合金,属于混合物;
⑤C60是由一种物质组成的,属于纯净物;
故①②⑤属于纯净物;
故选:A。
8. 氧气是人类活动必需的物质之一,下列与实验室制取氧气有关的装置或操作错误的是
A.
分解过氧化氢制取 B.
加热氯酸钾制取
C.
干燥 D.
验满
【答案】B
【解析】
【详解】A、分解过氧化氢制取氧气,过氧化氢在二氧化锰的催化下分解生成氧气和水,该反应为固液常温型,可选择图示装置制取氧气,故A正确,不符合题意;
B、加热氯酸钾制取氧气,氯酸钾在二氧化锰的催化下加热分解生成氧气和氯化钾,该反应为固体加热型,试管口应该略向下倾斜,防止冷凝水倒流,造成试管炸裂,故B错误,符合题意;
C、浓硫酸具有吸水性,且不与氧气反应,可用于干燥氧气,气体应该长进短出,故C正确,不符合题意;
D、氧气具有助燃性,验满的方法为:将带火星的木条放在集气瓶口,若木条复燃,则说明氧气已收集满,故D正确,不符合题意;
故选:B。
9. 将充满空气的气球放置在盛有空气的密闭容器中,气球沉入底部(如图甲).若要使气球位置出现图乙中的变化,可以将密闭容器中的空气换成下列气体中的

A. 氢气 B. 甲烷
C. 二氧化碳 D. 一氧化碳
【答案】C
【解析】
【分析】将充满空气的气球放置在盛有空气的密闭容器中,气球沉入底部,若要使气球位置出现图乙中的变化,说明该气体的密度比空气大,可使充满空气的气球升到顶部。
【详解】A、氢气的密度比空气小,不符合题意;
B、甲烷的密度比空气小,不符合题意;
C、二氧化碳的密度比空气大,符合题意;
D、一氧化碳的密度比空气小,不符合题意;
故选:C。
10. 为探究燃烧的条件,利用可调节温度的电炉设计如图所示装置进行实验.已知白磷的着火点是
,红磷的着火点是
,氯化钠不是可燃物.下列说法错误的是

A. 当温度为
时,只有①处白磷燃烧
B. 为控制变量,①②③④处所取白磷、红磷、氯化钠的质量应相等
C. 当温度为
时,②处红磷燃烧、③处红磷不燃烧,说明燃烧需要氧气
D. 当温度升至
时,④处氯化钠可能燃烧
【答案】D
【解析】
【分析】燃烧的条件:可燃物、温度达到可燃物着火点、可燃物与氧气接触;
【详解】A、当温度为60℃时,温度只达到了白磷的着火点,氯化钠不属于可燃物,故只有①处白磷燃烧,该选项说法正确;
B、根据控制变量的原则,该实验只有“物质种类”一个变量,故①②③④处所取白磷、红磷、氯化钠的质量应相等,该选项说法正确;
C、当温度为260℃时,温度达到了红磷的着火点,②处红磷接触了氧气,该处红磷燃烧,③处红磷被细沙覆盖,隔绝了氧气,该处红磷不能燃烧,说明燃烧需要氧气,该选项说法正确;
D、氯化钠不属于可燃物,故当温度升至500℃时,④处氯化钠不可能燃烧,该选项说法不正确;
故选D。
11. 除去下列物质中含有的少量杂质,所用除杂方法正确的是
选项 | 物质 | 杂质 | 除杂方法 |
A |
|
| 通过灼热的铜网 |
B |
|
| 加水溶解、过滤、洗涤、干燥 |
C |
|
| 通过足量的氧化铜并加热 |
D | 稀盐酸 | 稀硫酸 | 加入适量的 |
A. A B. B C. C D. D
【答案】C
【解析】
【详解】A、通过灼热的铜网,氧气和铜反应生成氧化铜,氮气和铜不反应,反而除去了原物质,不符合除杂原则,故A错误;
B、氯化钾易溶于水,二氧化锰不溶于水,通过加水溶解、过滤。洗涤、干燥可得到二氧化锰固体,再将滤液进行蒸发结晶才能得到氯化钾固体,故B错误;
C、通过足量的氧化铜并加热,一氧化碳和氧化铜反应生成铜和二氧化碳,可除去杂质且没有引入新的杂质,符合除杂原则,故C正确;
D、硫酸和硝酸钡反应生成硫酸钡沉淀和硝酸,虽然除去了杂质,但是引入了新的杂质硝酸,不符合除杂原则,故D错误;
故选:C。
12. 某同学设计如图甲所示实验,研究
的溶解度随温度的变化.当向试管中加入一定量的水后,锥形瓶中的
发生如图乙所示的变化.下列说法正确的是

A.
的溶解度:甲>乙 B.
溶液的质量分数:甲<乙
C. 乙中的
溶液一定为该温度下的饱和溶液 D. 用硝酸铵代替生石灰也会出现上述现象
【答案】B
【解析】
【详解】A.氧化钙与水反应生成氢氧化钙,该反应放热,溶液温度升高,乙中锥形瓶底部硝酸钾晶体溶解,说明硝酸钾的溶解度随温度的升高而增大,所以
的溶解度:甲<乙,故A错误;
B.甲中锥形瓶底部硝酸钾晶体没有溶解,乙中锥形瓶底部硝酸钾晶体溶解,乙中的
溶液中溶质质量大于甲,溶剂质量不变,所以
溶液的质量分数:甲<乙,故B正确;
C.乙中的
溶液可能为该温度下的饱和溶液,也可能是不饱和溶液,故C错误;
D.硝酸铵固体溶于水吸热,溶液温度降低,不会出现上述现象,故D错误。
故选:B。
13. 实验室有一包固体,可能由
和
中的一种或几种组成.为探究其成分,进行如下实验:①取少量该固体溶于水,得到无色溶液;②向上述溶液中滴加过量稀盐酸,有气泡产生;③向步骤②所得溶液中滴加
溶液,出现白色沉淀.已知
是一种白色固体,既不溶于水也不溶于常见的酸.下列有关原固体成分的分析正确的是
A. 一定不含
和
B. 一定不含
和![]()
C. 一定只含有
D. 一定含有
和![]()
【答案】A
【解析】
【分析】实验室有一包固体,可能由 CaCl2、KCl、K2CO3 和 CuSO4 中的一种或几种组成,
①取少量该固体溶于水,得到无色溶液,说明该固体中一定不含有硫酸铜(硫酸铜溶液显蓝色),且不能同时含有氯化钙和碳酸钾溶液,因为碳酸钾和氯化钙反应生成碳酸钙沉淀和氯化钾;
②向上述溶液中滴加过量稀盐酸,有气泡产生,碳酸钾和盐酸反应生成氯化钾、二氧化碳和水,说明该固体中一定含有碳酸钾,则说明该固体中一定不含有氯化钙;
③向步骤②所得溶液中滴加 AgNO3 溶液,出现白色沉淀,银离子和氯离子反应会生成氯化银白色沉淀,由于步骤②加入过量的稀盐酸,则无法确定固体中是否含有氯化钾;
综上,则该固体中一定不含有硫酸铜和氯化钙,一定含有碳酸钾,可能含有氯化钾。
【详解】A、由分析可知,一定不含CuSO4和CaCl2,故A分析正确;
B、由分析可知,一定不含CuSO4和CaCl2,一定含有碳酸钾,可能含有氯化钾,故B分析错误;
C、由分析可知,该固体中一定不含有硫酸铜和氯化钙,一定含有碳酸钾,可能含有氯化钾,故C分析错误;
D、由分析可知,该固体中一定不含有硫酸铜和氯化钙,一定含有碳酸钾,可能含有氯化钾,故D分析错误;
故选:A。
14. 铁有多种氧化物,为探究其中一种氧化物
的组成,某同学将
和
置于密闭容器中在高温下发生反应.反应开始至某时刻,测得容器中部分物质的质量变化关系如图所示.下列说法正确的是

A. a表示
的质量变化 B. ![]()
C.
中
D. ![]()
【答案】D
【解析】
【详解】A、一氧化碳和铁的氧化物反应生成铁和二氧化碳,随着反应的进行,二氧化碳的质量逐渐增大,一氧化碳的质量逐渐减少,铁的质量逐渐增大,则a表示 CO的质量变化,b表示 Fe 的质量变化,故A说法错误;
B、当生成8.8g二氧化碳时,根据碳元素质量守恒,则参加反应的一氧化碳的质量为
,则ng=10g-5.6g=4.4g,故b=4.4,故B说法错误;
C、当生成8.8g二氧化碳时,生成铁的质量为8.4g,参加反应的一氧化碳的质量为5.6g,根据质量守恒定律,则参加反应的铁的氧化物的质量为8.8g+8.4g-5.6g=11.6g,根据铁元素质量守恒,则铁的氧化物中铁元素的质量为8.4g,氧元素的质量为11.6g-8.4g=3.2g,则FexOy中 x:y=
,故C说法错误;
D、由C分析可知,参加反应的铁的氧化物的质量为11.6g,则加入的铁的氧化物的质量m≥11.6,故D说法正确;
故选:D。
六、填空题(本大题共4个小题,每空1分,共16分)
15. 太阳能电池路灯(如图),可以实现白天用太阳能充电,夜晚照明,其灯柱材料为铝合金,路灯内部采用金属铜作导线.

回答下列问题:
(1)制作灯柱所需的铝合金属于__________(选填“金属材料”或“合成材料”).
(2)铝合金的硬度和强度都比纯铝__________(选填“高”或“低”).
(3)太阳能电池路灯使用铜作导线,是因为铜具有良好的__________性.
(4)一般不用铁制作灯柱的原因是铁易与空气中的水蒸气和__________反应而生锈.
【答案】(1)金属材料
(2)高 (3)导电
(4)氧气##O2
【解析】
【小问1详解】
金属材料包括纯金属和合金,铝合金属于合金,属于金属材料;
【小问2详解】
合金的硬度和强度比组成它的纯金属高,则铝合金的硬度和强度都比纯铝高;
【小问3详解】
太阳能电池路灯使用铜作导线,是因为铜具有良好的导电性;
【小问4详解】
一般不用铁制作灯柱的原因是铁易与空气中的水蒸气和仰视反应而生锈。
16. 元素周期表是学习和研究化学的重要工具.元素周期表的每一个横行叫做一个周期,下图是元素周期表中前三周期元素的部分信息.

回答下列问题:
(1)上述周期表空白处元素的元素符号为__________.
(2)硅原子的相对原子质量为__________.
(3)氮原子的最外层电子数为__________.
(4)第三周期的金属元素共有__________种.
【答案】(1)F (2)28.09
(3)5 (4)三##3
【解析】
【小问1详解】
根据元素周期表的顺序,则上述周期表空白处元素为9号元素氟元素,元素符号为F;
【小问2详解】
由元素周期表中的一格可知,汉字下方的数字表示相对原子质量,相对原子质量的单位是“1”,通常省略不写,则硅原子的相对原子质量为28.09;
【小问3详解】
由元素周期表中的一格可知,左上角的数字表示原子序数,则氮原子序数为7,在原子中,原子序数=质子数=核外电子数,则氮原子质子数=核外电子数=7,核外电子排布依次为2、5,氮原子的最外层电子数为5;
【小问4详解】
第三周期的钠、镁、铝均带有金字旁,均属于金属元素,故共有三种金属元素。
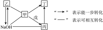
17. 甲、乙、丙、丁分别为碳酸钠、盐酸、氯化亚铁、氯化铜中的一种,它们之间的部分反应或转化的关系如图所示(部分物质和反应条件已略去).

回答下列问题:
(1)甲物质为__________.
(2)甲与乙的反应属于四大基本反应类型中的__________反应.
(3)甲与戊反应可以生成丙,则戊可能是__________(任写一种即可).
(4)丙生成丁的化学方程式为__________.
【答案】(1)
##盐酸
(2)复分解 (3)
(4)![]()
【解析】
【分析】甲、乙、丙、丁分别为碳酸钠、盐酸、氯化亚铁、氯化铜中的一种,乙能与氢氧化钠相互转化,则乙为碳酸钠,氢氧化钠和碳酸钠均能与甲反应,则甲为盐酸,甲能转化为丁、丙,丙能转化为丁,氢氧化钠能与丙反应,则丙为氯化铜,丁为氯化亚铁,代入验证,推论合理。
【小问1详解】
由分析可知,甲为盐酸;
【小问2详解】
甲与乙的反应即为盐酸和碳酸钠反应生成氯化钠、二氧化碳和水,该反应是两种化合物相互交换成分生成另外两种化合物,属于四大基本反应类型中的复分解反应;
【小问3详解】
甲(盐酸)与戊反应可以生成丙(氯化铜),则戊可能是氧化铜、氢氧化铜或碱式碳酸铜,化学式为CuO或Cu(OH)2或Cu2(OH)2CO3等;
【小问4详解】
丙生成丁即为铁和氯化铜反应生成氯化亚铁和铜,化学方程式为:
。
18. 氨气
是生产氮肥的重要原料,合成氨工业的发展很大程度上解决了全球粮食不足的问题.一种以水煤气和空气为主要原料,生产
和物质X的工艺流程如图所示(部分反应条件已略去).

回答下列问题:
(1)工业上利用氧气和氮气的__________不同,分离液态空气获得氮气.
(2)根据信息,写出“步骤①”水煤气中的
和水蒸气在催化剂条件下发生反应的化学方程式__________.
(3)“物质X”为__________.
(4)氨的催化氧化是硝酸工业的基础,该反应的化学方程式为:
,则R的化学式为__________.
【答案】(1)沸点 (2)
(3)碳酸氢钾溶液##
(4)![]()
【解析】
【分析】水煤气中的一氧化碳和水蒸气在催化剂条件下反应生成二氧化碳和氢气,二氧化碳与碳酸钾溶液反应生成碳酸氢钾,则物质X是碳酸氢钾,氢气和氮气在一定条件下反应生成氨气。
【小问1详解】
工业上利用氧气和氮气的沸点不同,分离液态空气获得氮气。
【小问2详解】
步骤①”水煤气中的
和水蒸气在催化剂条件下发生反应生成二氧化碳和氢气,该反应化学方程式:
。
【小问3详解】
二氧化碳与碳酸钾溶液反应生成碳酸氢钾,则物质X是碳酸氢钾。
【小问4详解】
依据化学变化前后原子的个数和种类不变可知:
,反应前:4个氮原子、12个氢原子、10个氧原子;反应后:12个氢原子、6个氧原子,则4R中含有4个氮原子、4个氧原子,R的化学式:NO。
七、实验与探究题(本大题共2个小题,每空1分,共11分)
19. 实验室现有质量分数为8%的氯化钠溶液,但在实验中需要
质量分数为4%的氯化钠溶液,某同学准备用8%的氯化钠溶液和蒸馏水(密度为
)进行配制.

回答下列问题:
(1)计算配制时需要8%的氯化钠溶液的质量为__________g.
(2)量取蒸馏水时应选择量程为__________(选填“10”、“20”或“50”)
的量筒.
(3)下图所示的仪器中,本实验不会使用到的是__________(填仪器名称)
(4)将配制好的氯化钠溶液装入试剂瓶时有少量溶液洒出,对所配制氯化钠溶液质量分数的影响是__________(选填“偏大”、“偏小”或“不影响”).
【答案】(1)25 (2)50
(3)酒精灯 (4)不影响
【解析】
【小问1详解】
稀释前后,溶质质量不变,设配制时需要8%的氯化钠溶液的质量为
,
,
,配制时需要8%的氯化钠溶液的质量为25g。
【小问2详解】
需要水的质量=50g-25g=25g,需要水的体积=
,量取蒸馏水时应选择量程为50mL。
【小问3详解】
下图所示的仪器中,本实验不会使用到的是酒精灯,配制过程中不需要加热,不会使用到酒精灯。
【小问4详解】
溶液具有均一、稳定性质,将配制好的氯化钠溶液装入试剂瓶时有少量溶液洒出,对所配制氯化钠溶液质量分数的影响是不影响。
20. 绿矾(
,相对分子质量为278)是一种常用颜料和化工原料,加热时易被空气中的氧气氧化,但在隔绝空气高温条件下能分解生成四种氧化物,某同学取用
绿矾样品,设计如下实验探究绿矾分解的产物.

已知:①
常温下为气态.
时为固态;②
有漂白性,能使品红溶液褪色.
回答下列问题:
(1)点燃A处酒精喷灯前,应先向装置中缓缓通一段时间
的作用是__________.
(2)假设
装置中每一步都进行完全,请完善以下实验现象或结论:
实验现象 | 实验结论 |
①实验结束后,A装置中剩余固体呈红棕色,取少量固体与稀硫酸充分反应后溶液呈黄色. | 绿矾的分解产物中有_______. |
②B装置中无水硫酸铜变蓝. | 绿矾的分解产物中有_______. |
③C装置中U型管内__________. | 绿矾的分解产物中有 |
④D装置中品红溶液褪色. | 绿矾的分解产物中有 |
(3)结合(2)中的实验现象和结论回答:
①请写出隔绝空气高温加热绿矾发生反应的化学方程式__________.
②实验结束后,C装置中收集到的氧化物的质量理论上为__________g.
③
也能使澄清石灰水变浑浊,但该实验中检验
不用澄清石灰水代替品红溶液的原因是__________.
【答案】(1)排尽装置内的空气,防止绿矾被空气或氧气氧化
(2) ①.
##三氧化二铁 ②. H2O##水 ③. 有固体析出
(3) ①.
②. 2.0 ③. 排空时装置内空气中的
也能使澄清石灰水变浑浊,干扰
的检验
【解析】
【小问1详解】
绿矾加热时易被空气中的氧气氧化,点燃A处酒精喷灯前,应先向装置中缓缓通一段时间
的作用是排尽装置内的空气,防止绿矾被空气或氧气氧化。
【小问2详解】
①绿矾(
)在隔绝空气高温条件下能分解生成四种氧化物,依据质量守恒定律可知:产物中有铁的氧化物、硫的氧化物和水,实验结束后,A装置中剩余固体呈红棕色,取少量固体与稀硫酸充分反应后溶液呈黄色,溶液显黄色,说明绿矾的分解产物中含有氧化铁,氧化铁与稀硫酸反应溶液显黄色。
②无水硫酸铜遇水变蓝,B装置中无水硫酸铜变蓝,说明绿矾的分解产物有水。
③绿矾的分解产物中有
,
常温下为气态.
时为固态,则C装置中U型管内有固体析出。
【小问3详解】
①隔绝空气高温加热绿矾,生成氧化铁、二氧化硫、三氧化硫和水,该反应化学方程式:
。
②实验结束后,C装置中收集到的氧化物三氧化硫,设生成三氧化硫的质量为![]()

答:C装置中收集到的氧化物的质量理论上为2.0g。
③
也能使澄清石灰水变浑浊,但该实验中检验
不用澄清石灰水代替品红溶液的原因是空时装置内空气中的
也能使澄清石灰水变浑浊,干扰
的检验。
八、计算题(本大题共1个小题,共8分)
21. 发酵粉常用于制作馒头、糕点等,其主要成分为
.某同学为测定某发酵粉样品中
的质量分数进行如下实验:取一个
空烧杯,向其中加入
发酵粉后缓慢加入
质量分数为20%的稀硫酸,待发酵粉中
完全反应后,测得烧杯及烧杯中物质的总质量为
.
已知:①
;
②样品中其它成分不与硫酸反应.
回答下列问题:
(1)
中碳元素的化合价为__________价.
(2)
中碳元素和氧元素的质量比为__________.
(3)计算发酵粉样品中
的质量分数.(写出计算过程)
【答案】(1)
(2)
(3)解:由质量守恒定律可知:反应生成的
的质量为:
设发酵粉样品中
的质量为![]()

发酵粉样品中
的质量分数:
答:发酵粉样品中
的质量分数为84%。
【解析】
【小问1详解】
设
中碳元素的化合价为
,已知钠元素化合价为+1价,氢元素化合价为+1价,氧元素化合价为-2价,依据化合物中各元素正负化合价代数和为0可知:
,
,
中碳元素的化合价为+4。
【小问2详解】
中碳元素和氧元素的质量比=<img height="21" src="//img.985ks.com/images_new/img_default_show.png" data-src="//img.985ks.com/uploadfile/images/2024/0701/17198442069912901.png" w
【小问3详解】
<p style<p<p<<-indent: 2em; text-align: left;">解析见答案。
