2023年辽宁锦州中考化学试题及答案
可能用到的相对原子质量:H-1 C-12 O-16 Na-23 S-32 Zn-65
一、选择题(本题包括10个小题,共12分。1~8小题每题1分,9、10小题每题2分,每小题只有一个正确选项)
1. 下列成语的本义蕴含化学变化的是
A. 云清雾散 B. 木已成舟 C. 风吹草动 D. 火上浇油
2. 发明了“联合制威法”的我国科学家是( )
A. 钱学森
B. 张青莲
C. 侯德榜
D. 屠呦呦
3. 在原子中,能决定元素种类的是
A. 电子层数
B. 质子数
C. 中子数
D. 核外电子数
4. 下列化肥属于复合肥的是
A. KNO3
B. CO(NH2)2
C. K2SO4
D. Ca3(PO4)2
5. 垃圾分类有利于环境保护。废铝制易拉罐属于
A.
B. 
C
D. 
6. 下列现象的微观解释正确的是
A. 热胀冷缩——分子间有间隔 B. 水结成冰——分子停止运动
C. 冰雪融化——分子体积变大 D. 酒精挥发——分子本身改变
7. 下列物品主要是由有机合成材料制成的是
A. 陶瓷餐具 B. 不锈钢盆 C. 塑料水杯 D. 纯棉毛巾
8. 人体摄入锌不足会引起多种疾病,葡萄糖酸锌(C12H22O14Zn)口服液可用来补锌。下列有关葡萄糖酸锌的说法正确的是
A. 葡萄糖酸锌中含有14个氧原子
B. 葡萄糖酸锌的相对分子质量为455g
C. 葡萄糖酸锌中碳、氢、氧三种元素的质量比是6:11:7
D. 葡萄糖酸锌中氧元素的质量分数最大
9. 下列实验操作能达到对应实验目的的是
选项 | 实验目的 | 实验操作 |
A | 除去铁粉中混有的少量铜粉 | 加足量的稀盐酸,过滤 |
B | 除去二氧化碳中混有的少量一氧化碳 | 将混合气体点燃 |
C | 检验氧气是否收集满 | 将带火星的木条伸入集气瓶内 |
D | 鉴别硝酸铵和氢氧化钠固体 | 取样,加水溶解,测溶液温度 |
A. A B. B C. C D. D
10. 向AgNO3和Cu(NO3)2的混合溶液中加入一定量铁粉,充分反应后,过滤。下列说法正确的是
A. 若滤渣中没有Cu。滤液中一定含有AgNO3
B. 若滤渣中有Cu,滤液中一定没有AgNO3和Cu(NO3)2
C. 若滤渣中没有Fe,滤液中一定含有Fe(NO3)2,可能含有AgNO3和Cu(NO3)2
D. 若滤渣中有Fe,滤液中一定没有Cu(NO3)2和Fe(NO3)2
二、填空题(本题包括4个小题,每空1分,共14分)
11. 某自热火锅的发热包成分如下表所示,请回答下列问题:
成分 |
氧化钙、氢氧化钠、铝粉、活性炭、还原铁粉、碳酸钠 |
(1)氧化钙的化学式______。
(2)该成分中金属元素共有______种。
(3)标出碳酸钠中碳元素的化合价______。
12. 2023年5月30日18时22分,神舟十六号航天员乘组进入空间站天和核心舱,“小船”对接“大站”圆满成功。
(1)天和核心舱内的气体组成和空气基本一致,其中含量最多的气体是______。
(2)航天服中有废气处理系统,能使呼吸产生的废气进入装有活性炭的装置进行净化,这是利用了活性炭的______性。
(3)下列航天食品中富含蛋白质的是______(填字母序号)。
A. 脱水米饭 B. 冻干水果 C. 黑椒牛柳
(4)航天员排出的二氧化碳可用氢氧化锂(LiOH)吸收,得到碳酸锂(Li2CO3)和水(LiOH和Li2CO3均溶于水),此反应的化学方程式为______。
13. C919飞机制造过程中,使用了大量的铝合金和钛合金。

(1)如图是铝的原子结构示意图,x=______;铝原子的核电荷数是______。
(2)钛合金的硬度比钛的硬度______(选填“大”或“小”)。
14. 如图是KNO3和KCl的溶解度曲线图,据图回答问题:

(1)40℃时,KC1的溶解度是______g。
(2)KNO3中混有少量KC1,提纯KNO3的方法是______。
(3)40℃时,将KNO3和KC1的固体各20g分别加入到各盛有50g水的两个烧杯中、充分搅拌后。所得两种溶液的质量大小关系是KNO3______KCl(选填“<”、“=”或“>”);欲增大该KCl溶液的溶质质量分数,可采用的方法是______(写出一种即可)。
三、简答题(本题包括3个小题,每空1分,共13分)
15. 水是人类宝贵的自然资源。请回答下列问题:

(1)图1是电解水实验的装置图。实验中连按电源正、负两极玻璃管内收集到的气体体积比约为______,该反应的化学方程式为______。
(2)用图2所示自制净水器处理得到的水______(选填“是”或“不是”)纯净物。
(3)写出一种日常生活中节约用水的做法______。
16. 化学与生活、环保密切相关。
(1)在日常生活中,为有效减缓或防止铁锅锈蚀,可采用的方法是______(填一种即可)。
(2)我市以“碳达峰、碳中和”为目标。引领城市绿色低碳发展。践行“低碳”生活,你的做法有______(写出一条即可)。
(3)开发利用新能源有利于缓解化石燃料的能源危机。氢气是一种理想的清洁能源,原因是______。请再列举一种新能源______。
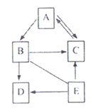
17. A~E是初中化学常见的五种不同物质。它们的组成中都含有一种相同的元素,C和D物质类别不同,B是黑色固体,E的浓溶夜可用作干燥剂,它们之间的转化或反应均为初中化学常见的化学反应,关系如图所示(“→”表示物质间能转化,“一”表示相连的物质能发生反应;图中部分反应物、反应条件、生成物已省略)请回答下列问题:

(1)A的化学式为______。
(2)C的物质类别是______(选填“单质”、“氧化物”“酸”、“碱”或“盐”)。
(3)B一E反应的现象是______。
(4)写出B→D反应的化学方程式______,该反应的基本反应类型是______。
四、实验题(本题包括3个小题,每空1分,共15分)
18. 下列各图是“除去粗盐中难溶性杂质”和“配制一定溶质质量分数的溶液”两个实验中部分实验操作的示意图,请回答下列问题:

(1)在上图所示的实验操作中,这两个实验都用到的实验操作是______。(填实验操作名称)
(2)图3实验操作中玻璃棒的作用是______。
(3)如果过滤后,滤液仍然浑浊接下来应该进行的操作是______,然后重新过滤,直到滤液澄清为止。
(4)用提纯得到的氯化钠配制一定溶质质量分数的溶液,经检测配制的溶液溶质质量分数偏小,可能的原因是______。(填字母序号)
a.量取水的体积时,仰视凹液面最低处读数
b.装瓶时有少量溶液洒出
c.往烧杯中加水时有水溅出
d.将称量好的氯化钠固体转移至烧杯时,氯化钠洒落
19. 根据下列装置图回答问题:

(1)选取B装置制取氧气,使用长颈漏斗的优点是______,该反应的化学方程式为______。
(2)用C装置收集氧气,若收集到的气体不纯,原因是______(写出一条即可)。若选取D装置收集二氧化碳,二氧化碳应从导管口______(选填“m”或“n”)端通入。
(3)加热无水醋酸钠和碱石灰固体混合物制取甲烷。选取的发生装置是______。(填字母序号)
20. 化学兴趣小组的同学从废品收购站找到了一个内壁积了一层厚厚水垢的铝制烧水壶,开展了如下实验探究。
【实验目的】探究清除水垢的方法
【查阅资料】水垢的主要成分是CaCO3和Mg(OH)2
【进行实验】
步骤 | 实验操作 | 实验现象 | 实验结论 |
1 | 向水壶中加入少量水,振荡 | 无现象 | 水垢不溶于水,用此方法不 能去除 |
2 | 倒掉步骤1水壶中的水,用砂纸在水壶内壁打磨一会儿 | ①水垢有少许掉落 ②打磨过的水壶内壁有 明显的______。 | 此方法不仅不易清除水垢, 而且会对铝制水壶造成损伤 |
3 | 向水壶中加入一定量稀盐酸, 振荡,静置 | ①水垢逐渐减少至消失 ②有气泡生成 | 此方法可以有效清除水垢, 写出清除水垢的化学反应方 程式(没有顺序要求): ①______。②______。 |
【反思评价】
(1)有同学认为步骤3中产生的气泡可能不是单一气体,还可能有一种气体单质,原因是______。
(2)家庭中除水垢,可以使用厨房中的一种酸性调味品______(填物质名称)。
【拓展延伸】兴趣高涨的同学又做了如图所示的探究实验。观察到右侧试管中溶液红色褪去,原因可能是______。

五、计算题(本题包括1个小题,共6分)
21. 实验室有一瓶标签破损的稀硫酸,需要测定其溶质质量分数。现取10g该稀硫酸于烧杯中,向其中逐滴加入溶质质量分数为4%的氢氧化钠溶液至恰好完全反应,共消耗氢氧化钠溶液20g,请计算该稀硫酸的溶质质量分数(写出计算过程)。
参考答案
一、选择题(本题包括10个小题,共12分。1~8小题每题1分,9、10小题每题2分,每小题只有一个正确选项)
【1题答案】
【答案】D
【2题答案】
【答案】C
【3题答案】
【答案】B
【4题答案】
【答案】A
【5题答案】
【答案】B
【6题答案】
【答案】A
【7题答案】
【答案】C
【8题答案】
【答案】D
【9题答案】
【答案】D
【10题答案】
【答案】C
二、填空题(本题包括4个小题,每空1分,共14分)
【11题答案】
【答案】(1)CaO (2)四##4 (3)![]()
【12题答案】
【答案】(1)氮气##N2
(2)吸附
(3)C
(4)![]()
【13题答案】
【答案】(1) ①. 8 ②. 13
(2)大
【14题答案】
【答案】(1)40 (2)降温结晶##冷却热饱和溶液
(3) ①. = ②. 升高温度并增加溶质##升高温度并蒸发溶剂
三、简答题(本题包括3个小题,每空1分,共13分)
【15题答案】
【答案】(1) ①. 1:2 ②.
(2)不是
(3)淘米水浇花
【16题答案】
【答案】(1)用后洗净擦干(或保持洁净干燥等合理即可)
(2)随手关灯(或旧书本循环利用等合理即可)
(3) ①. 氢气燃烧产物是水,不污染环境,且燃烧值大 ②. 太阳能(或风能等合理即可)
【17题答案】
【答案】(1)O2
(2)氧化物
(3)黑色固体减少或消失,溶液由无色变为蓝色
(4) ①. CuO+H2SO4=CuSO4+H2O ②. 复分解反应
四、实验题(本题包括3个小题,每空1分,共15分)
【18题答案】
【答案】(1)溶解
(2)搅拌,防止局部温度过高造成液滴飞溅
(3)更换滤纸,清洗仪器(或换干净仪器)
(4)ad
【19题答案】
【答案】(1) ①. 可随时添加液体药品 ②.
(2) ①. 集气瓶未装满水(或未等到气泡连续均匀冒出就开始收集等合理即可) ②. n
(3)A
【20题答案】
【答案】 ①. 划痕(相似表述均可得分) ②.
③.
④. 盐酸能与铝反应,生成氢气 ⑤. 醋##白醋##米醋 ⑥. 盐酸挥发出氯化氢气体,使试管中溶液红色褪去
五、计算题(本题包括1个小题,共6分)
【21题答案】
【答案】解:设稀硫酸的溶质质量为x。
氢氧化钠溶液中溶质质量为![]()

答:稀硫酸的溶质质量分数为9.8%。
