从武汉大学研究生院得知,武汉大学2023年硕士研究生招生复试分数线公布。2023年硕士研究生招生网上调剂意向采集系统将于3月31日开通,调剂服务系统将于4月6日开通。
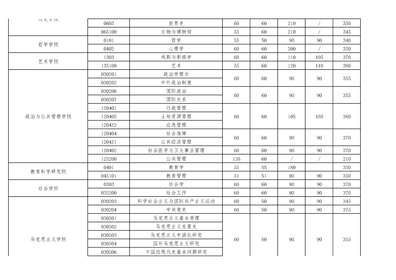
提示:《武汉大学2023年硕士招生考试复试基本分数线》陆续更新中,如有新增,研招网将跟进补充
根据《2023年全国硕士研究生招生工作管理规定》和教育部有关复试录取工作文件精神,现就我校2023年硕士研究生复试录取工作有关事项公告如下:
一、指导思想
始终把立德树人成效作为检验考试招生工作的根本标准,牢固树立“考试招生也是育人”的理念,提升选拔质量。坚持全面考察、综合评价,坚持以人为本、公平公正,坚持集体领导、民主决策,统筹兼顾、严格管理,安全、平稳、有序做好2023年硕士研究生复试录取工作。
二、组织管理
学校研究生招生工作领导小组全面负责硕士研究生复试录取工作。
培养单位研究生招生工作领导小组负责本单位硕士研究生复试和录取相关工作,制定本单位硕士研究生复试录取工作具体方案并组织实施,对相关人员进行政策、纪律、规则及程序等方面的教育和培训,组织对考生的复试考核,提出拟录取考生名单,公开有关信息,受理考生申诉并及时妥善处理。
三、招生计划
见《武汉大学2023年招收攻读硕士学位研究生简章》。
四、划线原则
(一)培养单位以招生计划为依据,结合生源情况(考生志愿、初试成绩等),一般按一级学科(专业学位类别)划定本单位复试分数线。所有类别、学科、专业的复试分数线均不得低于国家线。
(二)复试采取差额形式,差额比例一般不低于120%,生源不足的学科、专业统筹考虑调剂生源情况划定复试分数线。
(三)“单独考试”“强军计划”“少数民族高层次骨干人才计划”和“退役大学生士兵计划”等由学校统一划线。
五、复试要求
(一)制定细则
培养单位根据自身学科特点,充分考虑常态化疫情防控等实际情况,制定本单位《2023年硕士研究生复试录取工作实施细则》(以下简称“《实施细则》”)。
(二)具体安排
1.复试时间:复试工作安排在3月下旬至4月中旬进行。具体时间、程序及相关要求详见各培养单位网站,或由培养单位通知考生本人。考生不按时参加复试的,视为自动放弃复试资格。
2.复试方式:2023年度我校硕士研究生复试原则上采用现场线下方式。根据学科特点和实际情况,也可选用网上复试作为补充。原则上同一培养单位内相同批次考生复试(一志愿或调剂)统一复试方式。请考生关注各培养单位网站发布的实施细则,按照要求提前做好相应准备。
3.资格审查:考生参加复试须按照培养单位要求,核验本人身份证、准考证、毕业证书原件(应届本科毕业生须核验学生证)等,各类专项计划考生还须核验相关资格材料。培养单位将按报考条件严格审核考生(含统考、单独考试、强军计划、少数民族高层次骨干人才计划、退役大学生士兵计划和二等功免试生等)报考资格。资格审查未通过者不予复试。
(三)复试内容及要求
1.复试形式可包括综合面试、外语听力口语测试、笔试等。外语听力口语测试可结合综合面试同时进行。
2.报考工商管理、公共管理、工程管理、会计和图书情报硕士的考生思想政治理论考试由培养单位在复试中进行,成绩计入复试总成绩。
3.对符合复试基本要求的同等学力考生(包括毕业满两年的大专生、普通高校本科结业生)须按招生简章要求加试与报考专业相关的两门本科主干课程,且不与初试科目相同。
4.培养单位可通过考生大学学习成绩单(或成绩排名证明)、毕业论文、科研成果、专家推荐信等补充材料,加强对考生既往学业、一贯表现、科研能力、综合素质和思想品德等情况的全面考察。
5.考生须签订《诚信复试承诺书》,确保提交材料真实和复试过程诚信。加强复试过程规范管理,严格复试过程监管,严防复试弄虚作假。依照教育部《招生管理规定》,有必要时,可对相关考生再次复试。严格考风考纪,严肃查处违规违纪行为,对在复试过程中有违规行为的考生,一经查实,即按照《国家教育考试违规处理办法》《普通高等学校招生违规行为处理暂行办法》等规定严肃处理,取消录取资格,记入《考生考试诚信档案》。入学后3个月内,将按照《普通高等学校学生管理规定》有关要求,对所有考生进行全面复查。复查不合格的,取消学籍;情节严重的,移交有关部门调查处理。
(四)成绩核算
入学考试的总评成绩(加权后的初试成绩与复试综合成绩之和)和复试综合成绩均为百分制。复试综合成绩不合格者不予录取(不低于60分为合格,下同)。同等学力考生加试科目成绩不计入总评成绩,但不合格者不予录取。
根据教育部有关规定,参加“大学生志愿服务西部计划”“三支一扶计划”“农村义务教育阶段学校教师特设岗位计划”“赴外汉语教师志愿者”等项目服务期满、考核合格的考生和普通高等学校应届毕业生应征入伍服义务兵退役后的考生(纳入“退役大学生士兵”专项计划招录的除外),3年内参加全国硕士研究生招生考试,初试总分加10分,同等条件下优先录取;参加“选聘高校毕业生到村任职”等项目服务期满、考核称职以上的考生,3年内参加全国硕士研究生招生考试,初试总分加10分,同等条件下优先录取,其中报考人文社科类专业的,初试总分加15分。加分项目不累计,同时满足两项以上加分条件的考生按最高项加分。
符合教育部相关规定,且享受研究生招生加分政策后达到培养单位复试分数线的考生,于复试前联系报考培养单位并提交相关证明材料,报学校审核通过后,准予参加复试。
按照教育部规定,在部队荣立二等功以上,符合全国硕士研究生招生考试报考条件的,可申请免初试攻读硕士研究生。复试前须向培养单位提交相关证明材料,资格审核通过后,准予参加复试。复试综合成绩不合格不予录取。
(五)破格复试
学校原则上不进行破格复试。
六、调剂
调剂复试须满足以下基本要求:
1.符合招生简章中规定的调入专业的报考条件(含招生专业目录中外国语语种要求),初试成绩须达到调出学科(专业)国家线及我校调入学科(专业)复试分数线。
2.根据《武汉大学2023年招收攻读硕士学位研究生简章》要求,考生如申请调入非全日制专业,须向培养单位提交定向单位委培函、在职证明或劳动合同等证明材料,满足在职定向就业生的相关要求方可调剂。
3.调入专业与第一志愿报考专业相同或相近,且在同一学科门类范围内。可授不同学科门类学位的专业可跨门类在对应专业所属一级学科范围内进行调剂。
4.初试科目与调入专业初试科目相同或相近,其中全国统一命题科目应相同(考生初试统考科目涵盖调入专业所有统考科目的视为相同)。在全国统一命题科目中,英语一、英语二可视为相同;数学一、数学二、数学三、数学(农)和经济类综合能力可视为相同。
5.第一志愿报考工商管理、公共管理、工程管理、会计及图书情报硕士的考生可相互调剂,但不得调入其他专业;其他专业也不得调入以上5个专业。
第一志愿报考法律硕士(非法学)专业的考生不得调入其他专业,其他专业的考生也不得调入该专业。
第一志愿报考临床医学、口腔医学和中医(以下简称临床医学类)专业学位的考生可调剂到其他专业,报考其他专业(含医学学术学位)的考生不可调剂到临床医学类专业学位。
6.不接收报考单独考试和“强军计划”等专项计划的调剂考生。
7.报考“退役大学生士兵计划”的退役大学生士兵考生,如申请调剂到普通计划录取,符合条件的,可按规定享受退役大学生士兵初试加分政策。调剂须通过教育部“全国硕士生招生调剂服务系统”进行,调剂要求、复试办法及录取规则等以接收调剂的培养单位发布的调剂公告为准。
8.接收所有调剂考生均通过教育部指定的“全国硕士生招生调剂服务系统”进行。
培养单位可在此基础上结合自身学科特点、生源情况,提出自己的调剂要求,可适当设立志愿级差。调剂信息、调剂要求、咨询服务方式等均将提前在培养单位网站发布,请考生关注。
七、思想政治素质和品德考核
(一)思想政治素质和品德考核内容包括考生的政治态度、思想表现、道德品质、遵纪守法、诚实守信等方面。
(二)思想品德考核不合格者不予录取。
(三)培养单位在对考生复试的同时加强对考生思想品德政治情况的直接了解,必要时采取“函调”或“派人外调”的方式对考生的思想政治素质和品德考核。
将考生诚信状况作为思想品德考核的重要内容和录取的重要依据。依据《国家教育考试考生诚信档案》记录,核查考生在报考时填写的考试 作弊受处罚情况。
拟录取名单确定后,向考生所在单位函调人事档案(或档案审查意见)和本人现实表现等材料,全面审查政治思想情况。函调的考生现实表现材料,需由考生本人档案所在单位的人事、政工部门加盖印章。
八、体检
拟录取考生(含推免生)将在入学前组织体检。根据教育部、卫生部、残联制定的《普通高等学校招生体检工作指导意见》(教学〔2003〕3号)及《教育部办公厅卫生部办公厅关于普通高等学校招生学生入学身体检查取消乙肝项目检测有关问题的通知》(教学厅〔2010〕2号)文件标准,体检不合格的考生不予录取。
九、录取原则、类别、培养方式和奖学金
(一)录取原则
坚持“按需招生、全面衡量、择优录取、宁缺毋滥”的原则,依据培养单位招生计划、复试录取办法以及考生初试成绩、复试成绩、思想政治表现、身心健康状况等择优确定拟录取名单。
(二)录取类别
根据《武汉大学2023年招收攻读硕士学位研究生简章》要求,全日制计划原则上不招收普通定向生(“强军计划”“少数民族高层次骨干人才计划”等专项计划除外);非全日制计划限招在职定向就业生。
定向就业:毕业后按定向合同就业。“在职研究生考生”“单独考试考生”“强军计划”及“少数民族高层次骨干人才计划”等属于定向就业。
非定向就业:按学校推荐、本人和用人单位双向选择的办法就业。非在职的学术学位和专业学位研究生考生属于非定向就业。
定向就业生须于录取前签订定向就业合同,未签订者不予录取。考生因报考硕士研究生与所在单位产生的问题由考生自行处理。若因此造成考生不能复试或无法录取,招生单位不承担责任。
(三)培养方式
全日制:全脱产在校学习的研究生。
非全日制:在从事其他职业或者社会实践的同时,采取多种方式和灵活时间安排进行非脱产学习的研究生。
(四)学费及奖学金
硕士研究生的学费标准、学业奖学金及助学金的发放标准均按学校有关部门文件执行(详见《武汉大学2023年招收攻读硕士学位研究生简章》)。
十、信息公开公示
培养单位在本单位网站上开辟专栏,公布本单位复试录取《实施细则》、调剂公告,各学科、专业招生人数,参加复试考生名单、拟录取考生名单、受理考生咨询申诉的电话号码、电子邮箱等。请考生关注各培养单位网站。
拟录取名单将在培养单位的网站上公示,公示期不少于10个工作日。考生如有异议,请于公示期内向培养单位提出申诉。
十一、违规处理
学校对违反招生政策和规定,侵犯考生正当权益的行为采取零容忍态度,发现一起严查一起,绝不姑息。纪委监察部门全程参与复试及录取过程的监督工作。如有违反招生政策和纪律的行为,学校将按照相关规定予以严肃处理,情节严重者依法追究刑事责任。
十二、咨询与监督方式
研究生院研究生招生工作处:027-68754125(工作时间开通);
如认为复试工作存在违规违纪问题,可向学校纪委反映,监督电话:027-68788722/68752637(工作时间开通)。
