2021年成人高考专升本高等数学一试题及答案
1、单项选择题
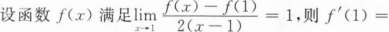
1.

A2
B1
C
D-2
2.

A2
B1
C
D-1
3.曲线y=xlnx在点(e,e)处法线的斜率为
A-2
B
C
D2
4.当x→0时,tanx2为x的
A低阶无穷小量
B等价无穷小量
C同阶但不等价无穷小量
D高阶无穷小量
5.

Ae dx
B-e-1 dx
C(1+e-1)dx
D(1-e-1)dx
6.

Asinx+C
Bcosx+C
C-sinx+C
D-cosx+C
7.

A-2
B-1
C1
D2
8.


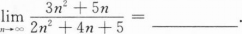
9.

A

?
B

C5y4
D5y4+arctanx
10.

A-e2x-y
Be2x-y
C-2e2x-y
D2e2x-y
2、填空题
1.

2.设y=y(x)是由方程y+ey=x所确定的隐函数,则y'=____.
3.

4.

5.

6.设y=xex,则y'=____.
7.

8.

9.

10.过坐标原点且与平面3x-7y+5z-12=0平行的平面方程为____.
3、问答题
1.

2.

3.

4.求曲线y=2x3—6x2的凹、凸的区间及拐点.
5.

6.求微分方程y”-3y'+2y=2的通解.
7.

8.将y=ex+1展开成x的幂级数.



