2021年成人高考专升本高等数学二试题及答案
1、单项选择题
1.设y=ex+cosx,则y'=
Aex+cosx
Bex-cosx
Cex-sinx
Dex+sinx
2.设y=xtanx,则y'=

3.


4.设f(x)的一个原函数为cos2x,则f(x)=
A-sin2x
Bsin2x
C-2sin2x
D2sin2x
5.

A0
B1/2
C1
D2
6.曲线y=x3+1的拐点为
A(0,0)
B(0。1)
C(-1,0)
D(1,1)
7.

A-6ycos(x-3y2)
B-6ysin(x-3y2)
C6ycos(x-3y2)
D6ysin(x-3y2)
8.

Axf”(x2+y)
B2xf”(x2+y)
Cyf”(x2+y)
D2xyf”(x2+y)
9.


A-2
B-l
C1
D2
10.已知事件A与B互斥,且P(A)=0.5,P(B)=0.4,则P(A+B)=
A0.4
B0.5
C0.7
D0.9
2、填空题
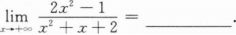
1.

2.

3.

4.

5.

6.

7.曲线y=2x3+x-1在点(0,-1)处法线的斜率为_____.
8.

9.

10.设函数f(x,y)=x+y,则f(x+y,x—y)=_____.
3、问答题
1.求函数f(x)=e-x2的单调区间和极值.
2.

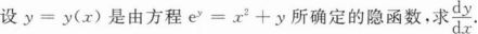
3.

4.

5.设离散型随机变量X的概率分布为?
其中“为常数.?(1)求a;?(2)求E(X).
6.

7.

(1)求D的面积;
(2)求D绕x轴旋转-周所得旋转体的体积.
8.求函数f(x,y)=x2+y2在条件x2+y2-xy-1=0下的最大值和最小值。



