2025年山西普通高中学业水平选择性考试化学试题及答案
可能用到的相对原子质量:![]()
一、选择题:本题共14小题,每小题3分,共42分。在每小题给出的四个选项中,只有一项是符合题目要求的。
1. “国之重器”是我国科技综合实力的结晶。下述材料属于金属材料的是
A. “C919”大飞机用
氮化硅涂层B. “梦想”号钻探船钻头用的合金
C. “望宇”登月服用的聚酰亚胺隔热层D. “雪龙2”号破冰船制淡水用的反渗透膜
2. 下列化学用语或图示表达正确的是
A.
的电子式为
B. 基态
原子的价电子排布式为![]()
C.
的球棍模型为
D. 反-2-丁烯的结构简式为
3. 下列有关物质性质与用途对应关系错误的是
A. 单晶硅熔点高,可用于制造芯片B. 金属铝具有还原性,可用于冶炼金属
C. 浓硫酸具有吸水性,可用作干燥剂D. 乙炔燃烧火焰温度高,可用于切割金属
4. 抗坏血酸葡萄糖苷(
)具有抗氧化功能。下列关于
的说法正确的是
A. 不能使溴水褪色B. 能与乙酸发生酯化反应
C. 不能与
溶液反应D. 含有3个手性碳原子
5. “机械键”是两个或多个分子在空间上穿插互锁的一种结合形式。我国科研人员合成了由两个全苯基大环分子组成的具有“机械键”的索烃,结构如图,下列说法错误的是
A. 该索烃属于芳香烃B. 该索烃的相对分子质量可用质谱仪测定
C. 该索烃的两个大环之间不存在范德华力D. 破坏该索烃中的“机械键”需要断裂共价键
6. 下列对物质性质的解释错误的是
选项 | 物质性质 | 解释 |
A | 氯化钠熔点高于氯化铯 | 氯化钠离子键强于氯化铯 |
B | 碘易溶于四氯化碳 | 碘和四氯化碳都是非极性分子 |
C | 草酸氢钠溶液显酸性 | 草酸氢根离子水解程度大于电离程度 |
D | 离子液体导电性良好 | 离子液体中有可移动的阴、阳离子 |
A. AB. BC. CD. D
7. 下列有关反应方程式错误的是
A. 泡沫灭火器反应原理:![]()
B. 用金属钠除去甲苯中的微量水:![]()
C. 用
溶液吸收尾气中的![]()
D. 氯气通入冷的石灰乳中制漂白粉:![]()
8. 一种负热膨胀材料的立方晶胞结构如图,晶胞密度为
,阿伏加德罗常数的值为
,下列说法错误的是
A. 沿晶胞体对角线方向的投影图为
B.
和B均为
杂化
C. 晶体中与
最近且距离相等的
有6个
D.
和B
最短距离为
9. 一种高聚物
被称为“无机橡胶”,可由如图所示的环状三聚体制备。X、Y和Z都是短周期元素,X、Y价电子数相等,X、Z电子层数相同,基态Y的
轨道半充满,Z的最外层只有1个未成对电子,下列说法正确的是
A. X、Z的第一电离能:
B. X、Y的简单氢化物的键角:![]()
C. 最高价含氧酸的酸性:
D. X、Y、Z均能形成多种氧化物
10. 下列实验方案不能得出相应结论的是
A | B |
| |
结论:金属活动性顺序为 | 结论:氧化性顺序为 |
C | D |
| |
结论:甲基使苯环活化 | 结论:增大反应物浓度,该反应速率加快 |
A. AB. BC. CD. D
11. 某元素的单质及其化合物的转化关系如图。常温常压下G、J均为无色气体,J具有漂白性。阿伏加德罗常数的值为
。下列说法错误的是
A. G、K均能与
溶液反应B. H、N既具有氧化性也具有还原性
C. M和N溶液中的离子种类相同D.
与足量的J反应,转移电子数为![]()
12. 格氏试剂性质活泼,可与空气中的
和
等反应。某兴趣小组搭建了图示无水无氧装置(部分装置略),以乙醚(沸点
)为溶剂,利用下述反应高产率地制备二苯甲酮。

下列说法错误的是
A. 气球中填充保护气,并起缓冲压力的作用
B. 烧瓶中液体是格氏试剂的乙醚溶液
C. 图中的漏斗不能用球形分液漏斗代替
D. 产率高表明苯甲酰氯比二苯甲酮更易与格氏试剂反应
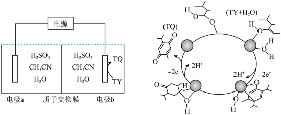
13. 我国科研人员采用图示的电解池,由百里酚(TY)合成了百里醒(TQ)。电极b表面的主要反应历程见图(灰球表示电极表面催化剂),下列说法错误的是

A. 电解时,
从右室向左室移动
B. 电解总反应:
C. 以
为原料,也可得到TQ
D. 用
标记电解液中的水,可得到
14. 常温下,溶液中
以氢氧化物形式沉淀时,
与
的关系如图[其中X代表
或
]。已知:
,
比
更易与碱反应,形成
;溶液中
时,X可忽略不计。
下列说法错误的是
A. L为
与
的关系曲线
B.
的平衡常数为![]()
C. 调节
溶液浓度,通过碱浸可完全分离
和![]()
D. 调节溶液
为
,可将浓度均为
的
和
完全分离
二、非选择题:本题共4小题,共58分。
15. 某实验室制备糖精钴
,并测定其结晶水含量。
已知:
表示糖精根离子,其摩尔质量为
,糖精钴的溶解度在热水中较大,在冷水中较小;丙酮沸点为
,与水互溶。
![]()
(一)制备
I.称取
,加入
蒸馏水,搅拌溶解,得溶液1。
Ⅱ.称取
(稍过量)糖精钠(
),加入
蒸馏水,加热搅拌,得溶液2。
Ⅲ.将溶液2加入到接近沸腾的溶液1中,反应3分钟后停止加热,静置,冷却结晶。
Ⅳ.过滤,依次用三种不同试剂洗涤晶体,晾干得产品![]()
回答下列问题:
(1)I和Ⅱ中除烧杯外,还需用到的玻璃仪器有_______、_______(写出两种)
(2)Ⅲ中静置过程有少量晶体出现时,可将烧杯置于_______中,以使大量晶体析出。
(3)Ⅳ中用①丙酮、②冷水、③冷的
溶液洗涤晶体,正确顺序为_______。
A.①③② B.③②① C.②①③
(4)Ⅳ中为了确认氯离子己经洗净,取水洗时的最后一次滤液于试管中,_______(将实验操作、现象和结论补充完整)。
(5)与本实验安全注意事项有关的图标有_______。

(二)结晶水含量测定
和
形成
配合物。准确称取
糖精钴产品于锥形瓶中,加蒸馏水,加热溶解,再加入缓冲溶液和指示剂,在50~60℃下,用
的
标准溶液滴定。
(6)下列操作的正确顺序为_______(用字母排序)。
a.用标准溶液润洗滴定管 b.加入标准溶液至“0”刻度以上
处
c.检查滴定管是否漏水并清洗 d.赶出气泡,调节液面,准确记录读数
(7)滴定终点时消耗标准溶液
,则产品
中x的测定值为_______(用含m、c、V的代数式表示);若滴定前滴定管尖嘴处无气泡,滴定后有气泡,会导致x的测定值_______(填“偏高”“偏低”或“无影响”)。
16. 一种综合回收电解锰工业废盐(主要成分为![]()
硫酸盐)的工艺流程如下。
已知:①常温下
,
,
;
②
结构式为
。
回答下列问题:
(1)制备废盐溶液时,为加快废盐溶解,可采取的措施有_______、_______。(写出两种)
(2)“沉锰I”中,写出形成的
被氧化成
的化学方程式_______。当
将要开始沉淀时,溶液中剩余
浓度为_______
。
(3)“沉锰Ⅱ”中,过量的
经加热水解去除,最终产物是
和_______(填化学式)。
(4)“沉镁I”中,当
为8.0~10.2时,生成碱式碳酸镁
,煅烧得到疏松的轻质
。
过大时,不能得到轻质
的原因是_______。
(5)“沉镁Ⅱ”中,加
至
时,
沉淀完全;若加至
时沉淀完全溶解,据图分析,写出沉淀溶解
离子方程式_______。
(6)“结晶”中,产物X的化学式为_______。
(7)“焙烧”中,
元素发生了_______(填“氧化”或“还原”)反应。
17.
/
循环在
捕获及转化等方面具有重要应用。科研人员设计了利用
与
反应生成
的路线,主要反应如下:
I.
![]()
II.
![]()
III.
![]()
回答下列问题,
(1)计算
_______
。
(2)提高
平衡产率的条件是_______。
A. 高温高压B. 低温高压C. 高温低压D. 低温低压
(3)高温下
分解产生的
催化
与
反应生成
,部分历程如图,其中吸附在催化剂表面的物种用*标注,所示步骤中最慢的基元反应是_______(填序号),生成水的基元反应方程式为_______。
(4)
下,在密闭容器中
和
各
发生反应。反应物(
、
)的平衡转化率和生成物(
、
)的选择性随温度变化关系如下图(反应III在
以下不考虑)。
注:含碳生成物选择性![]()
①表示
选择性的曲线是_______(填字母)。
②点M温度下,反应Ⅱ的
_______
(列出计算式即可)。
③在
下达到平衡时,
_______
。
,随温度升高
平衡转化率下降的原因可能是_______。
18. 我国某公司研发的治疗消化系统疾病的新药凯普拉生(化合物H),合成路线如下(部分试剂、反应条件省略)。

已知:
回答下列问题:
(1)A中官能团的名称是_______。
(2)B的结构简式为_______。
(3)由C转变为D的反应类型是_______
(4)同时满足下列条件的B的同分异构体有_______种(不考虑立体异构)。
①含有两个甲基;②与钠反应产生氢气。
(5)由D转变为E的过程中经历了两步反应,第一步反应的化学方程式是:_______(要求配平)。
(6)下列关于F说法正确的有_______。
A. F能发生银镜反应
B. F不可能存在分子内氢键
C. 以上路线中E+F→G 的反应产生了氢气
D. 已知醛基吸引电子能力较强,与
相比F的N-H键极性更小
(7)结合合成H的相关信息,以
、
和含一个碳原子的有机物(无机试剂任选)为原料,设计化合物
的合成路线_______。
参考答案
一、选择题:本题共14小题,每小题3分,共42分。在每小题给出的四个选项中,只有一项是符合题目要求的。
【1题答案】
【答案】B
【2题答案】
【答案】A
【3题答案】
【答案】A
【4题答案】
【答案】B
【5题答案】
【答案】C
【6题答案】
【答案】C
【7题答案】
【答案】D
【8题答案】
【答案】A
【9题答案】
【答案】D
【10题答案】
【答案】C
【11题答案】
【答案】D
【12题答案】
【答案】B
【13题答案】
【答案】D
【14题答案】
【答案】B
二、非选择题:本题共4小题,共58分。
【15题答案】
【答案】(1) ①. 玻璃棒 ②. 量筒(或胶头滴管等,合理即可) (2)冰水浴 (3)B
(4)加稀硝酸酸化,再滴加AgNO3溶液,无白色沉淀生成,说明Cl-已洗净 (5)ABC (6)cabd
(7) ①.
(或:
) ②. 偏高
【16题答案】
【答案】(1) ①. 搅拌 ②. 适当升温等
(2) ①. 6Mn(OH)2+O2=2Mn3O4+6H2O ②. 10-2.15
(3)O2 (4)pH过大,沉淀为Mg(OH)2,不能分解产生CO2,不能得到疏松的轻质
(5)
(6)(NH4)2SO4
(7)还原
【17题答案】
【答案】(1)
(2)B
(3) ①. ④ ②. HO*+H2*+CH2*= CH3*+H2O
(4) ①. c ②.
③. 0.2 ④. 反应Ⅱ生成的氢气多于反应Ⅲ消耗的氢气
【18题答案】
【答案】(1)硝基、羟基
(2)
(3)还原反应 (4)5
(5)
+NaNO2+2HCl![]()
+NaCl+2H2O (6)AC
(7)
