2025年江苏普通高中学业水平选择性考试化学试题及答案
可能用到的相对原子质量:![]()
![]()
一、单项选择题:共13题,每题3分,共39分。每题只有一个选项最符合题意。
1. 大气中的氮是取之不尽的天然资源。下列工业生产中以氮气作反应物的是
A. 工业合成氨B. 湿法炼铜C. 高炉炼铁D. 接触法制硫酸
2. 科学家通过核反应
发现氚
。下列说法正确的是
A.
表示一个质子
B.
的基态原子核外电子排布式为![]()
C.
与
互为同位素
D.
的原子结构示意图为
3. 用
草酸
溶液滴定未知浓度的
溶液。下列实验操作规范的是
| | | |
A.配制草酸溶液 | B.润洗滴定管 | C.滴定 | D.读数 |
A. AB. BC. CD. D
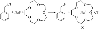
4. 在溶有15-冠
(
)的有机溶剂中,苄氯(
)与
发生反应:
下列说法正确的是
A. 苄氯是非极性分子B. 电负性:![]()
C. 离子半径:
D. X中15-冠
与
间存
离子键
阅读材料,完成下列小题:
中国对人类科学进步与技术发展贡献卓著。黑火药(主要成分:
、S和C)是中国古代四大发明之一。侯德榜发明的“联合制碱法”将合成氨法与氨碱法联合,突破了国外制碱技术封锁。我国科学家在世界上首次人工合成结晶牛胰岛素;采用有机合成与酶促合成相结合的方法,人工合成了酵母丙氨酸转移核糖核酸。徐光宪提出的稀土串级萃取理论使我国稀土提取技术取得重大进步。屠呦呦等采用低温、乙醚冷浸提取的青蒿素(
,含
)在治疗疟疾中起到重要作用。闵恩泽研制新型催化剂解决了重油裂解难题。
5. 下列说法正确的是
A. 硫黄有
等多种同素异形体
B
高温下青蒿素分子结构稳定
C
分子中
键角大于
分子中
键角
D. 题图所示的碱基鸟嘌呤与胞嘧啶通过氢键互补配对
6. 下列化学反应表示正确的是
A. 黑火药爆炸:![]()
B. 电解饱和
溶液制
:
C. 重油裂解获得的丙烯制聚丙烯:![]()
![]()
D. 向饱和氨盐水中通入过量
:![]()
7. 下列物质组成或性质与分离提纯方法对应关系正确的是
A. 蛋白质能水解,可用饱和
溶液提纯蛋白质
B. 乙醚与青蒿素组成元素相同,可用乙醚提取青蒿素
C.
难溶于水、比水易溶解
,可用
萃取碘水中的![]()
D. 不同的烃密度不同,可通过分馏从石油中获得汽油、柴油
8. 以稀
为电解质溶液的光解水装置如图所示,总反应为
。下列说法正确的是
A. 电极a上发生氧化反应生成![]()
B.
通过质子交换膜从右室移向左室
C. 光解前后,
溶液的
不变
D. 外电路每通过
电子,电极b上产生![]()
9. 化合物Z是一种具有生理活性的多环呋喃类化合物,部分合成路线如下:
下列说法正确的是
A.
最多能和
发生加成反应
B. Y分子中
和
杂化的碳原子数目比为![]()
C. Z分子中所有碳原子均在同一个平面上
D. Z不能使
的
溶液褪色
10.
与
通过电催化反应生成
,可能的反应机理如图所示(图中吸附在催化剂表面的物种用“*”标注)。下列说法正确的是
A. 过程Ⅱ和过程Ⅲ都有极性共价键形成
B. 过程Ⅱ中
发生了氧化反应
C. 电催化
与
生成
的反应方程式:
D. 常温常压、无催化剂条件下,
与
反应可生产![]()
11. 探究含铜化合物性质的实验如下:
步骤Ⅰ 取一定量
溶液,加入适量浓氨水,产生蓝色沉淀。
步骤Ⅱ 将沉淀分成两等份,分别加入相同体积的浓氨水、稀盐酸,沉淀均完全溶解,溶液分别呈现深蓝色、蓝色。
步骤Ⅲ 向步骤Ⅱ所得的深蓝色溶液中插入一根打磨过的铁钉,无明显现象;继续加入稀盐酸,振荡后静置,产生少量气泡,铁钉表面出现红色物质。
下列说法正确的是
A. 步骤Ⅰ产生的蓝色沉淀为![]()
B. 步骤Ⅱ的两份溶液中:![]()
C. 步骤Ⅲ中无明显现象是由于铁钉遇深蓝色溶液迅速钝化
D. 步骤Ⅲ中产生气体、析出红色物质的反应为![]()
12. 室温下,有色金属冶炼废渣(含
等的氧化物)用过量的较浓
溶液酸浸后,提取铜和镍的过程如下所示。
已知:
。下列说法正确的是
A. 较浓
溶液中:![]()
B.
溶液中:
的平衡常数![]()
C.
溶液中:![]()
D. “提铜”和“沉镍”后的两份滤液中:![]()
13. 甘油
水蒸气重整获得
过程中的主要反应:
反应Ⅰ ![]()
反应Ⅱ ![]()
反应Ⅲ ![]()
条件下,
和
发生上述反应达平衡状态时,体系中
和
的物质的量随温度变化的理论计算结果如图所示。下列说法正确的是
A.
时,
的平衡转化率为20%
B.
反应达平衡状态时,![]()
C. 其他条件不变,在
范围,平衡时
的物质的量随温度升高而增大
D. 其他条件不变,加压有利于增大平衡时
的物质的量
二、非选择题:共4题,共61分。
14.
可用于制备光学材料和回收砷。
(1)制备
。由闪锌矿[含
及少量硫化镉
等]制备
的过程如下:
已知:
。当离子浓度小于
时,认为离子沉淀完全。
①酸浸时通入
可提高
浸出率的原因是_______。
②通入
除镉。通过计算判断当溶液
时,
是否沉淀完全_______(写出计算过程)。
③沉锌前调节溶液的
至
,加入的氧化物为_______(填化学式)。
(2)制备光学材料。如图甲所示,
晶体中掺入少量
后,会出现能量不同的“正电”区域、“负电”区域,光照下发出特定波长的光。

区域A“
”中的离子为_______(填离子符号),区域B带_______(填“正电”或“负电”)。
(3)回收砷。用
去除酸性废液中的三价砷
,并回收生成的
沉淀。
已知:溶液中
主要以弱酸
形式存在,
。
时,按
向酸性废液中加入
,砷回收率随反应时间的变化如图乙所示。
①写出
与
反应生成
的离子方程式:_______。
②反应
后,砷回收率下降的原因有_______。
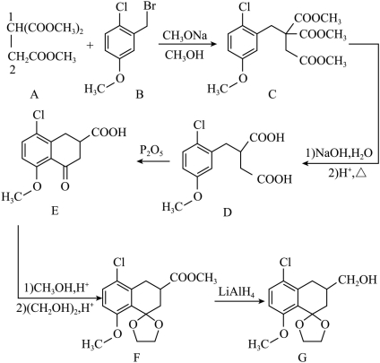
15. G是一种四环素类药物合成中间体,其合成路线如下:
(1)A分子中,与2号碳相比,1号碳的
键极性相对_______(填“较大”或“较小”)。
(2)
会产生与E互为同分异构体且含五元环的副产物,其结构简式为_______。
(3)E分子中含氧官能团名称
醚键、羰基和_______,F分子中手性碳原子数目为_______。
(4)写出同时满足下列条件的G的一种同分异构体的结构简式:_______。
①含有3种不同化学环境的氢原子;②碱性条件下水解后酸化,生成X和Y两种有机产物,
,X的相对分子质量为60,Y含苯环且能与
溶液发生显色反应。
(5)写出以
和
为原料制备
的合成路线流程图_______(无机试剂和两碳以下的有机试剂任用,合成路线示例见本题题干)。
16. 海洋出水铁质文物表面有凝结物,研究其形成原理和脱氯方法对保护文物意义重大。
(1)文物出水清淤后,须尽快浸泡在稀
或
溶液中进行现场保护。
①玻璃中的
能与
反应生成_______(填化学式),故不能使用带磨口玻璃塞的试剂瓶盛放
溶液。
②文物浸泡在碱性溶液中比暴露在空气中能减缓吸氧腐蚀,其原因有_______。
(2)文物表面凝结物种类受文物材质和海洋环境等因素的影响。
①无氧环境中,文物中的
与海水中的
在细菌作用下形成
等含铁凝结物。写出
与
反应生成
和
的离子方程式:_______。
②有氧环境中,海水中的铁质文物表面形成
等凝结物。
(i)铁在盐水中腐蚀的可能原理如图所示。依据原理设计如下实验:向
溶液中加入
溶液(能与
形成蓝色沉淀)和酚酞,将混合液滴到生铁片上。预测该实验的现象为_______。
(ii)铁的氢氧化物吸附某些阳离子形成带正电的胶粒,是凝结物富集
的可能原因。该胶粒的形成过程中,参与的主要阳离子有_______(填离子符号)。
(3)为比较含氯
在
溶液与蒸馏水中浸泡的脱氯效果,请补充实验方案:取一定量含氯
模拟样品,将其分为两等份,_______,比较滴加
溶液体积[
。实验须遵循节约试剂用量的原则,必须使用的试剂:蒸馏水、
溶液、
溶液、
溶液]。
17. 合成气(
和
)是重要的工业原料气。
(1)合成气制备甲醇:
。
的结构式为
,估算该反应的
需要_______(填数字)种化学键的键能数据。
(2)合成气经“变换”“脱碳”获得纯
。
①合成气变换。向绝热反应器中通入
和过量的
:
。催化作用受接触面积和温度等因素影响,
的比热容较大。
过量能有效防止催化剂活性下降,其原因有_______。
②脱碳在钢制吸收塔中进行,吸收液成分:质量分数30%的
吸收剂、
(
正价有
)缓蚀剂等。
溶液浓度偏高会堵塞设备,导致堵塞的物质是_______(填化学式)。
减缓设备腐蚀的原理是_______。
(3)研究
与不同配比的铁铈载氧体[
是活泼金属,正价有
]反应,气体分步制备原理示意如图甲所示。相同条件下,先后以一定流速通入固定体积的
,依次发生的主要反应:
步骤Ⅰ ![]()
步骤Ⅱ ![]()
①步骤Ⅰ中,产物气体积分数、
转化率、
与x的关系如图乙所示。
时,
大于理论值2的可能原因有_______;
时,通入标准状况下
的
至反应结束,
的选择性
,则生成标准状况下
和
的总体积为_______
。
②
时,新制载氧体、与
反应后的载氧体的X射线衍射谱图如图丙所示(X射线衍射用于判断某晶态物质是否存在,不同晶态物质出现衍射峰的衍射角不同)。步骤Ⅱ中,能与
反应的物质有_______(填化学式)。

③结合图示综合分析,步骤Ⅰ中
的作用、气体分步制备的价值:_______。
参考答案
一、单项选择题:共13题,每题3分,共39分。每题只有一个选项最符合题意。
【1题答案】
【答案】A
【2题答案】
【答案】C
【3题答案】
【答案】D
【4题答案】
【答案】C
【5~7题答案】
【答案】5. D 6. D 7. C
【8题答案】
【答案】A
【9题答案】
【答案】B
【10题答案】
【答案】A
【11题答案】
【答案】B
【12题答案】
【答案】B
【13题答案】
【答案】A
二、非选择题:共4题,共61分。
【14题答案】
【答案】(1) ①. 氧化
生成S,促进酸浸反应正向进行 ②. 否。
时,![]()
