2025年甘肃高中学考选择性考试化学真题及答案
可能用到的相对原子质量:H-1 C-12 O-16
一、选择题:本题共14小题,每小题3分,共42分。在每小题给出的四个选项中,只有一项是符合题目要求的。
1. 下列爱国主义教育基地的藏品中,主要成分属于无机非金属材料的是
A. 劳动英雄模范碑(南梁革命纪念馆藏)
B. 红军党员登记表(红军长征胜利纪念馆藏)
C. 陕甘红军兵工厂铁工具(甘肃省博物馆藏)
D. 谢觉哉使用过的皮箱(八路军兰州办事处纪念馆藏)
2. 马家窑文化遗址出土了大量新石器时代陶制文物,陶制文物的主要成分为硅酸盐,下列有关表述错误的是
A. 基态Si原子的价层电子排布图:
B.
的同位素
可作为有机反应示踪原子
C.
的电子式为:
D.
的球棍模型为:![]()
3. 苦水玫瑰是中国国家地理标志产品,可从中提取高品质的玫瑰精油。玫瑰精油成分之一的结构简式如图,下列说法错误的是
A. 该分子含1个手性碳原子B. 该分子所有碳原子共平面
C. 该物质可发生消去反应D. 该物质能使溴的四氯化碳溶液褪色
4.
加氢转化成甲烷,是综合利用
实现“碳中和”和“碳达峰”的重要方式。525℃,101kPa下,
。反应达到平衡时,能使平衡向正反应方向移动的是
A. 减小体系压强B. 升高温度
C. 增大
浓度D. 恒容下充入惰性气体
5. X、Y、Z、W、Q分别为原子序数依次增大的短周期主族元素。Y、Q基态原子的价电子数相同,均为其K层电子数的3倍,X与Z同族,W为金属元素,其原子序数等于X与Z的原子序数之和。下列说法错误的是
A. X与Q组成的化合物具有还原性B. Y与Q组成的化合物水溶液显碱性
C. Z、W的单质均可在空气中燃烧D. Z与Y按原子数
组成的化合物具有氧化性
6. 丁酸乙酯有果香味。下列制备、纯化丁酸乙酯的实验操作对应的装置错误的是(加热及夹持装置略)
A | B | C | D |
回流 | 蒸馏 | 分液 | 干燥 |
| | | |
A. AB. BC. CD. D
7. 物质的结构决定性质,下列事实与结构因素无关的是
选项 | 事实 | 结构因素 |
A | K与Na产生的焰色不同 | 能量量子化 |
B | | 分子间作用力 |
C | 金属有良好的延展性 | 离子键 |
D | 刚玉 | 共价晶体 |
A. AB. BC. CD. D
8. 物质
性质决定用途,下列物质的性质与用途对应关系不成立的是
选项 | 物质的性质 | 用途 |
A | | 餐具洗涤剂 |
B | 酚醛树脂具有耐高温、隔热性 | 飞船外层烧蚀材料 |
C | 离子液体具有导电性 | 原电池电解质 |
D | 水凝胶具有亲水性 | 隐形眼镜材料 |
A. AB. BC. CD. D
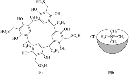
9. 我国化学家合成了一种带有空腔的杯状主体分子(结构式如图a),该分子和客体分子
可形成主客体包合物:
被固定在空腔内部(结构示意图见图b)。下列说法错误的是
A. 主体分子存在分子内氢键B. 主客体分子之间存在共价键
C. 磺酸基中
S—O键能比
小D.
和
中N均采用
杂化
10. 我国科学家制备了具有优良双折射性能的
材料。下列说法正确的是
A. 电负性
B. 原子半径![]()
C.
中所有I的孤电子对数相同D.
中所有N—H极性相同
11. 处理某酸浸液(主要含
)的部分流程如下:
下列说法正确的是
A. “沉铜”过程中发生反应的离子方程式:![]()
B. “碱浸”过程中NaOH固体加入量越多,
沉淀越完全
C. “氧化”过程中铁元素化合价降低
D. “沉锂”过程利用了
的溶解度比
小的性质
12. 我国科研工作者设计了一种Mg-海水电池驱动海水(
)电解系统(如下图)。以新型
为催化剂(生长在泡沫镍电极上)。在电池和电解池中同时产生氢气。下列关于该系统的说法错误的是

A. 将催化剂生长在泡沫镍电极上可提高催化效率
B. 在外电路中,电子从电极1流向电极4
C. 电极3的反应为:![]()
D. 理论上,每通过2mol电子,可产生![]()
13. 下列实验操作能够达到目的的是
选项 | 实验操作 | 目的 |
A | 测定0.01mol/L某酸溶液的pH是否为2 | 判断该酸 |
B | 向稀 | 探究 |
C | 向 | 比较AgCl和AgI的Ksp大小 |
D | 将氯气通入 | 验证氯气的氧化性 |
A. AB. BC. CD. D
14. 氨基乙酸
是结构最简单
氨基酸分子,其分子在水溶液中存在如下平衡:
![]()
在25℃时,其分布分数
[如
=
]
与溶液pH关系如图1所示。在
溶液中逐滴滴入0.1mol/LNaOH溶液,溶液pH与NaOH溶液滴入体积的变化关系如图2所示。下列说法错误的是
A. 曲线Ⅰ对应的离子是![]()
B. a点处对应的pH为9.6
C. b点处![]()
D. c点处![]()
二、非选择题:本题共4小题,共58分。
15. 某兴趣小组按如下流程由稀土氧化物
和苯甲酸钠制备配合物
,并通过实验测定产品纯度和结晶水个数(杂质受热不分解)。已知
在碱性溶液中易形成
沉淀。
在空气中易吸潮,加强热时分解生成
。
(1)步骤①中,加热的目的为_______。
(2)步骤②中,调节溶液pH时需搅拌并缓慢滴加NaOH溶液,目的为_______;pH接近6时,为了防止pH变化过大,还应采取的操作为_______。
(3)如图所示玻璃仪器中,配制一定物质的量浓度的苯甲酸钠溶液所需的仪器名称为_______。

(4)准确称取一定量产品,溶解于稀
中,萃取生成的苯甲酸,蒸去有机溶剂,加入一定量的NaOH标准溶液,滴入1~2滴酚酞溶液,用HCl标准溶液滴定剩余的NaOH。滴定终点的现象为_______。实验所需的指示剂不可更换为甲基橙,原因为_______。
(5)取一定量产品进行热重分析,每个阶段的重量降低比例数据如图所示。0~92℃范围内产品质量减轻的原因为_______。结晶水个数
_______。[
,结果保留两位有效数字]。
16. 研究人员设计了一种从铜冶炼烟尘(主要含S、
及Cu、Zn、Pb的硫酸盐)中高效回收砷、铜、锌和铅的绿色工艺,部分流程如下:
已知:
熔点314℃,沸点460℃
分解温度:
,
,
,
高于![]()
![]()
(1)设计焙烧温度为600℃,理由为_______。
(2)将
通入
和
的混合溶液可制得
,该反应的化学方程式为_______。
(3)酸浸的目的为_______。
(4)从浸出液得到Cu的方法为_______(任写一种)。
(5)某含Pb化合物是一种被广泛应用于太阳能电池领域的晶体材料,室温下该化合物晶胞如图所示,晶胞参数
,
。
与Pb之间的距离为_______pm(用带有晶胞参数的代数式表示);该化合物的化学式为_______,晶体密度计算式为_______
(用带有阿伏加德罗常数
的代数式表示
和
分别表示Cs、Pb和Br的摩尔质量)。

17. 乙炔加氢是除去乙烯中少量乙炔杂质,得到高纯度乙烯的重要方法。该过程包括以下两个主要反应:
反应1:
![]()
反应2:
![]()
(1)25℃,101kPa时,反应
_______
。
(2)一定条件下,使用某含Co催化剂,在不同温度下测得乙炔转化率和产物选择性(指定产物的物质的量/转化的乙炔的物质的量)如图所示(反应均未达平衡)。

①在
范围内,乙炔转化率随温度升高而增大的原因为_______(任写一条),当温度由220℃升高至260℃,乙炔转化率减小的原因可能为_______。
②在120~240℃范围内,反应1和反应2乙炔的转化速率大小关系为
_______
(填“>”“<”或“=”),理由为_______。
(3)对于反应1,反应速率
与
浓度
的关系可用方程式
表示(k为常数)。
时,保持其他条件不变,测定了不同浓度时的反应速率(如下表)。当
时,
_______
。
实验组 | | |
一 | | |
二 | | |
(4)以Pd/W或Pd为催化剂,可在常温常压
下实现乙炔加氢,反应机理如下图所示(虚线为生成乙烷的路径)。以_______为催化剂时,乙烯的选择性更高,原因为_______。(图中“*”表示吸附态;数值为生成相应过渡态的活化能)

18. 毛兰菲是一种具有抗肿瘤活性的天然菲类化合物,可按下图路线合成(部分试剂省略):
(1)化合物A中的含氧官能团名称为_______,化合物A与足量NaOH溶液反应的化学方程式为_______。
(2)化合物B的结构简式为_______。
(3)关于化合物C的说法成立的有_______。
①与
溶液作用显色 ②与新制氢氧化铜反应,生成砖红色沉淀
③与D互为同系物 ④能与HCN反应
(4)C→D涉及的反应类型有_______,_______。
(5)F→G转化中使用了
,其名称为_______。
(6)毛兰菲的一种同分异构体Ⅰ具有抗氧化和抗炎活性,可由多取代苯甲醛J出发,经多步合成得到(如下图)。已知J的
谱图显示四组峰,峰面积比为
。J和I的结构简式为_______,_______。

参考答案
一、选择题:本题共14小题,每小题3分,共42分。在每小题给出的四个选项中,只有一项是符合题目要求的。
【1题答案】
【答案】A
【2题答案】
【答案】D
【3题答案】
【答案】B
【4题答案】
【答案】C
【5题答案】
【答案】B
【6题答案】
【答案】B
【7题答案】
【答案】C
【8题答案】
【答案】A
【9题答案】
【答案】B
【10题答案】
【答案】C
【11题答案】
【答案】D
【12题答案】
【答案】D
【13题答案】
【答案】D
【14题答案】
【答案】C
二、非选择题:本题共4小题,共58分。
【15题答案】
【答案】(1)升高温度,加快溶解速率,提高浸出率
(2) ①. 防止生成
沉淀 ②. 缓慢滴加NaOH溶液,同时测定溶液的pH值
(3)容量瓶、烧杯 (4) ①. 滴入最后半滴标准溶液,溶液有浅红色变无色,并保持半分钟不褪色 ②. 滴定终点呈碱性,使用甲基橙误差较大
(5) ①.
吸潮的水 ②. 1.7
【16题答案】
【答案】(1)使硫酸铜分解,硫酸锌和硫酸铅不分解,同时使As2O3沸腾收集
(2)4
+
+2
=3
+CO2
(3)分离硫酸铅,得到纯净的硫酸铜溶液
(4)电解法或置换法 (5) ①.
②. CsPbBr3 ③. ![]()
【17题答案】
【答案】(1)-137
(2) ①. 温度升高,反应速率加快或温度升高,催化剂活性增强 ②. 催化剂在该温度范围内失活 ③. > ④. 乙烯的选择性大于乙烷,说明反应1乙炔的转化速率大于反应2乙炔的转化速率
(3)9.2×10-3
(4) ①. Pd/W ②. Pd/W做催化剂时,生成乙烷的活化能大于Pd催化剂时的
【18题答案】
【答案】(1) ①. 酚羟基、醛基 ②.
(2)
(3)②④
(4) ①. 还原反应 ②. 加成反应
(5)甲醇锂 (6) ①.
②. 
