2025年吉林普通高中学业水平选择性考试化学真题及答案
可能用到的相对原子质量:H 1 C 12 O 16 Na 23 W 184
一、选择题:本题共15小题,每小题3分,共45分。在每小题给出的四个选项中,只有一项符合题目要求。
1. 东北三省及内蒙古资源丰富,下列资源转化的主要过程不属于化学变化的是
A. 石灰石煅烧B. 磁铁矿炼铁C. 煤的液化D. 石油分馏
2. 侯氏制碱法突破西方技术垄断,推动了世界制碱技术的发展,其主要反应为NaCl+
。下列有关化学用语或说法正确的是
A.
的电子式:
B.
的空间结构:直线形
C.
的晶体类型:离子晶体D. 溶解度:![]()
3.
可用于水的杀菌消毒,遇水发生反应:
。下列说法正确的是
A. 反应中各分子的
键均为
键
B. 反应中各分子的VSEPR模型均为四面体形
C.
键长小于H—O键长
D. HClO分子中Cl的价电子层有2个孤电子对
4. 钠及其化合物的部分转化关系如图。设
为阿伏加德罗常数的值,下列说法正确的是
A. 反应①生成的气体,每11.2L(标准状况)含原子的数目为![]()
B. 反应②中2.3gNa完全反应生成的产物中含非极性键的数目为![]()
C. 反应③中
与足量
反应转移电子的数目为![]()
D.
溶液中,
的数目为![]()
5. 一种强力胶的黏合原理如下图所示。下列说法正确的是
A. Ⅰ有2种官能团B. Ⅱ可遇水溶解使黏合物分离
C. 常温下Ⅱ为固态D. 该反应为缩聚反应
6. 微粒邂逅时的色彩变化是化学馈赠的视觉浪漫。下列对颜色变化的解释错误的是
选项 | 颜色变化 | 解释 |
A | 空气中灼烧过的铜丝伸入乙醇中,黑色铜丝恢复光亮的紫红色 | |
B | | |
C | | |
D | | |
A. AB. BC. CD. D
7. 化学家用无机物甲
成功制备了有机物乙
,开创了有机化学人工合成的新纪元。其中W、X、Y、Z原子序数依次增大,X、Y、Z同周期,基态X、Z原子均有2个单电子。下列说法正确的是
A. 第一电离能:Z>Y>XB. 甲中不存在配位键
C. 乙中
键和
键的数目比为
D. 甲和乙中X杂化方式分别为
和![]()
8. 巧设实验,方得真知。下列实验设计合理的是
A.除去 | B.制备少量NO避免其被氧化 |
| |
C.用乙醇萃取 | D.制作简易氢氧燃料电池 |
| |
A
AB. BC. CD. D
9.
晶体因x变化形成空位而导致颜色各异,当
时,其立方晶胞结构如图。设
为阿伏加德罗常数的值,下列说法错误的是

A. 与W最近且等距的O有6个B. x增大时,W的平均价态升高
C. 密度为
时,
D. 空位数不同,吸收的可见光波长不同
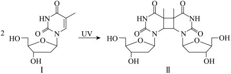
10. 人体皮肤细胞受到紫外线(UV)照射可能造成DNA损伤,原因之一是脱氧核苷上的碱基发生了如下反应。下列说法错误的是
A. 该反应为取代反应B. Ⅰ和Ⅱ均可发生酯化反应
C. Ⅰ和Ⅱ均可发生水解反应D. 乙烯在UV下能生成环丁烷
11. 某工厂利用生物质(稻草)从高锰钴矿(含
和少量
)中提取金属元素,流程如图。已知“沉钴”温度下
,下列说法错误的是
A. 硫酸用作催化剂和浸取剂
B. 使用生物质的优点是其来源广泛且可再生
C. “浸出”时,3种金属元素均被还原
D. “沉钴”后上层清液中![]()
12. 化学需氧量(COD)是衡量水体中有机物污染程度的指标之一,以水样消耗氧化剂的量折算成消耗
的量(单位为
)来表示。碱性
不与
反应,可用于测定含Cl?水样的COD,流程如图。
下列说法错误的是
A. Ⅱ中发生的反应有![]()
B. Ⅱ中避光、加盖可抑制
被
氧化及
的挥发
C. Ⅲ中消耗的
越多,水样的COD值越高
D. 若Ⅰ中为酸性条件,测得含
水样的COD值偏高
13. 一种基于
的储氯电池装置如图,放电过程中a、b极均增重。若将b极换成Ag/AgCl电极,b极仍增重。关于图中装置所示电池,下列说法错误的是
A. 放电时
向b极迁移
B. 该电池可用于海水脱盐
C. a极反应:![]()
D. 若以Ag/AgCl电极代替a极,电池将失去储氯能力
14. 一定条件下,“
”4种原料按固定流速不断注入连续流动反应器中,体系pH-t振荡图像及涉及反应如下。其中AB段发生反应①~④,①②为快速反应。下列说法错误的是
① | |
② | |
③ | |
④ | |
⑤ | |
A. 原料中
不影响振幅和周期
B. 反应④:![]()
C. 反应①~④中,
对
的氧化起催化作用
D. 利用pH响应变色材料,可将pH振荡可视化
15. 室温下,将
置于
溶液中,保持溶液体积和N元素总物质的量不变,pX-pH曲线如图,
和
的平衡常数分别为
和
:
的水解常数
。下列说法错误的是
A. Ⅲ为
的变化曲线B. D点:![]()
C.
D. C点:![]()
二、非选择题:本题共4小题,共55分。
16. 某工厂采用如下工艺回收废渣(含有ZnS、
、FeS和CuCl)中的Zn、Pb元素。
已知:①“氧化浸出”时,
不发生变化,ZnS转变为
;
②
;
③酒石酸(记作
)结构简式为
。
回答下列问题:
(1)
分子中手性碳原子数目为_______。
(2)“氧化浸出”时,过二硫酸根
转变为_______(填离子符号)。
(3)“氧化浸出”时,浸出率随温度升高先增大后减小的原因为_______。
(4)“除铜”步骤中发生反应的离子方程式为_______。
(5)滤渣2中的金属元素为_______(填元素符号)。
(6)“浸铅”步骤,
和
反应生成PbA。PbA产率随体系pH升高先增大的原因为_______,pH过高可能生成_______(填化学式)。
(7)290℃“真空热解”生成2种气态氧化物,该反应的化学方程式为_______。
17. 某实验小组采用如下方案实现了对甲基苯甲酸的绿色制备。
反应:
步骤:
Ⅰ.向反应管中加入0.12g对甲基苯甲醛和1.0mL丙酮,光照,连续监测反应进程。
Ⅱ.5h时,监测结果显示反应基本结束,蒸去溶剂丙酮,加入过量稀NaOH溶液,充分反应后,用乙酸乙酯洗涤,弃去有机层。
Ⅲ.用稀盐酸调节水层
后,再用乙酸乙酯萃取![]()
Ⅳ.用饱和食盐水洗涤有机层,无水
干燥,过滤,蒸去溶剂,得目标产物![]()
回答下列问题:
(1)相比
作氧化剂,该制备反应的优点为_______、_______(答出2条即可)。
(2)根据反应液的核磁共振氢谱(已去除溶剂H的吸收峰,谱图中无羧基H的吸收峰)监测反应进程如下图。已知峰面积比
,
。反应2h时,对甲基苯甲醛转化率约为_______%。
(3)步骤Ⅱ中使用乙酸乙酯洗涤的目的是_______。
(4)步骤Ⅲ中反应的离子方程式为_______、_______。
(5)用同位素示踪法确定产物羧基O的来源。丙酮易挥发,为保证
气氛,通
前,需先使用“循环冷冻脱气法”排出装置中(空气中和溶剂中)的
,操作顺序为:①→②→_______→_______→_______(填标号),重复后四步操作数次。
同位素示踪结果如下表所示,则目标产物中羧基O来源于醛基和_______。
反应条件 | 质谱检测目标产物相对分子质量 |
太阳光, | 138 |
太阳光,空气,室温, | 136 |
18. 乙二醇是一种重要化工原料,以合成气
为原料合成乙二醇具有重要意义。
Ⅰ.直接合成法:
,不同温度下平衡常数如下表所示。
温度 | 298K | 355K | 400K |
平衡常数 | | 1.0 | |
(1)该反应的
_______0(填“>”或“<”)。
(2)已知
的燃烧热
分别为
,则上述合成反应的
_______
(用a、b和c表示)。
(3)实验表明,在500K时,即使压强(34MPa)很高乙二醇产率(7%)也很低,可能的原因是_______(答出1条即可)。
Ⅱ.间接合成法:用合成气和
制备的DMO合成乙二醇,发生如下3个均放热的连续反应,其中MG生成乙二醇的反应为可逆反应。
(4)在2MPa、
催化、固定流速条件下,发生上述反应,初始氢酯比
,出口处检测到DMO的实际转化率及MG、乙二醇、乙醇的选择性随温度的变化曲线如图所示[某物质的选择性
]。
①已知曲线Ⅱ表示乙二醇的选择性,则曲线_______(填图中标号,下同)表示DMO的转化率,曲线_______表示MG的选择性。
②有利于提高A点DMO转化率的措施有_______(填标号)。
A.降低温度 B.增大压强
C.减小初始氢酯比 D.延长原料与催化剂的接触时间
③483K时,出口处
的值为_______(精确至0.01)。
④A点反应
的浓度商
_______(用物质的量分数代替浓度计算,精确至0.001)。
19. 含呋喃骨架的芳香化合物在环境化学和材料化学领域具有重要价值。一种含呋喃骨架的芳香化合物合成路线如下:

回答下列问题:
(1)A→B的化学方程式为_______。
(2)C→D实现了由_______到_______的转化(填官能团名称)。
(3)G→H的反应类型为_______。
(4)E的同分异构体中,含苯环(不含其他环)且不同化学环境氢原子个数比为
的同分异构体的数目有_______种。
(5)M→N的三键加成反应中,若参与成键的苯环及苯环的反应位置不变,则生成的与N互为同分异构体的副产物结构简式为_______。
(6)参考上述路线,设计如下转化。X和Y的结构简式分别为_______和_______。

参考答案
一、选择题:本题共15小题,每小题3分,共45分。在每小题给出的四个选项中,只有一项符合题目要求。
【1】
【答案】D
【2】
【答案】C
【3】
【答案】B
【4】
【答案】A
【5】
【答案】C
【6】
【答案】A
【7】
【答案】D
【8】
【答案】B
【9】
【答案】B
【10】
【答案】A
【11】
【答案】C
【12】
【答案】C
【13】
【答案】D
【14】
【答案】A
【15】
【答案】B
二、非选择题:本题共4小题,共55分。
【16】
【答案】(1)2 (2)
(3)温度升高,浸出速率增大,浸出率升高,温度过高时,NH3·H2O分解生成NH3逸出,且温度高时过二硫酸铵分解,造成浸出率减小
(4)Zn+[Cu(NH3)4]2+=[Zn(NH3)4]2++Cu
(5)Fe (6) ①. pH值升高,OH-浓度增大,平衡A2-+H2O
HA-+OH-逆向移动,A2-离子浓度增大,平衡PbSO4(s)+A2-
PbA+
正向移动,PbA产率增大 ②. Pb(OH)2
(7)Pb(OOC-CHOH-CHOH-COO)
Pb+4CO↑+2H2O↑
【17】
【答案】(1) ①. 绿色环保 ②. 减少副产物的生成
(2)50 (3)除去未反应完的
(4) ①.
②.
+H+
(5) ①
③ ②. ① ③. ④ ④. 氧气
【18】
【答案】(1)< (2)-2a-3b+c(或c-2a-3b)
(3)温度过高,反应平衡常数较小导致产率过低(或温度过高,催化剂的催化活性下降导致产率过低)
(4) ①. I ②. IV ③. BD ④. 1.98 ⑤. 0.025
【19】
【答案】(1)
+CH3OH![]()
+H2O
(2) ①. 羟基 ②. 醛基
(3)取代反应 (4)4
(5)
(6) ①
②. 
