2025年内蒙古高考数学试题及答案
一、单选题:本题共8小题,每小题5分,共40分.在每小题给出的选项中,只有一项是符合题目要求的.
1. 样本数据2,8,14,16,20的平均数为( )
A. 8B. 9C. 12D. 18
2. 已知
,则
( )
A.
B.
C.
D. 1
3. 已知集合
则
( )
A.
B. ![]()
C.
D. ![]()
4. 不等式
的解集是( )
A.
B. ![]()
C.
D. ![]()
5. 在
中,
,
,
,则
( )
A.
B.
C.
D. ![]()
6. 设抛物线![]()
焦点为
点A在C上,过A作
的准线的垂线,垂足为B,若直线BF的方程为
,则
( )
A. 3B. 4C. 5D. 6
7. 记
为等差数列
的前n项和,若
则
( )
A.
B.
C.
D. ![]()
8. 已知
,
,则
( )
A.
B.
C.
D. ![]()
二、多选题:本题共3小题,共18分.在每小题给出的选项中,有多项符合题目要求.
9. 记
为等比数列![]()
前n项和,
为
的公比,
若
,则( )
A.
B. ![]()
C.
D. ![]()
10. 已知
是定义在R上的奇函数,且当
时,
,则( )
A.
B. 当
时,![]()
C.
当且仅当
D.
是
的极大值点
11. 双曲线
的左、右焦点分别是
,左、右顶点分别为
,以
为直径的圆与C的一条渐近线交于M、N两点,且
,则( )
A.
B. ![]()
C. C的离心率为
D. 当
时,四边形
的面积为![]()
三、填空题:本题共3小题,每小题5分,共15分.
12. 已知平面向量
若
,则
___________
13. 若
是函数
的极值点,则
___________
14. 一个底面半径为
,高为
的封闭圆柱形容器(容器壁厚度忽略不计)内有两个半径相等的铁球,则铁球半径的最大值为____________![]()
四、解答题:本题共5小题,共77分.解答应写出文字说明,证明过程或演算步骤.
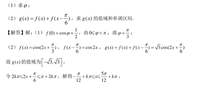
15. 已知函数
.
(1)求
;
(2)设函数
,求
的值域和单调区间.
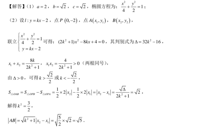
16. 已知椭圆
的离心率为
,长轴长为4.
(1)求C
方程;
(2)过点![]()
直线l与C交于
两点,
为坐标原点,若
的面积为
,求
.
17. 如图,在四边形
中,
,F为CD的中点,点E在AB上,
,
,将四边形
沿
翻折至四边形
,使得面
与面EFCB所成的二面角为
.
(1)证明:
平面
;
(2)求面
与面
所成的二面角的正弦值.
18. 已知函数
,其中
.
(1)证明:
在区间
存在唯一的极值点和唯一的零点;
(2)设
分别为
在区间
的极值点和零点.
(i)设函数
·证明:
在区间
单调递减;
(ii)比较
与
的大小,并证明你的结论.
19. 甲、乙两人进行乒乓球练习,每个球胜者得1分,负者得0分.设每个球甲胜
概率为
,乙胜的概率为q,
,且各球的胜负相互独立,对正整数
,记
为打完k个球后甲比乙至少多得2分的概率,
为打完k个球后乙比甲至少多得2分的概率.
(1)求
(用p表示).
(2)若
,求p.
(3)证明:对任意正整数m,![]()
参考答案
3.考试结束后,本试卷和答题卡一并交回.
一、单选题:本题共8小题,每小题5分,共40分.在每小题给出的选项中,只有一项是符合题目要求的.
1.C | 2.A | 3.D | 4.C | 5.A | 6.C | 7.B | 8.D |
二、多选题:本题共3小题,共18分.在每小题给出的选项中,有多项符合题目要求.
9.AD | 10.ABD | 11.ACD |
三、填空题:本题共3小题,每小题5分,共15分.
12.![]()
13.![]()
14.![]()
四、解答题:本题共5小题,共77分.解答应写出文字说明,证明过程或演算步骤.
15.
16.
17.
18.
19.
