2024年黑龙江牡丹江中考化学真题及答案
可能用到的相对原子质量:H-1 C-12 N-14 O-16 Na-23 Mg-24 Al-27 S-32 Cl-35.5 K-39 Ca-40 Mn-55 Fe-56 Cu-64 Zn-65
一、判断与选择(本题共18小题,每题2分,共36分。1-15题每题各有一个正确选项。16-18题每题各有一个或两个正确选项,漏选一个得1分,多选或错选不得分,请将正确选项涂在答题卡相应的位置上)
1. 在测定相对原子质量方面,作出卓越贡献的科学家是
A. 侯德榜 B. 屠呦呦 C. 张青莲 D. 钱学森
2. 可用于制霓虹灯的气体是( )
A. 氮气 B. 氧气 C. 二氧化碳 D. 稀有气体
3. 垃圾分类有利于生态文明建设。用过的铝制易拉罐、旧纸张应投入有下列标识的垃圾箱是
A.
B.
C.
D. 
4. 下列关于氧气用途的说法错误的是
A. 炼钢 B. 航天燃料 C. 医疗急救 D. 潜水
5. 新版《生活饮用水卫生标准》中的水质检测修订了镉、铅等的限量。这里的镉、铅指的是
A. 原子 B. 元素 C. 分子 D. 单质
6. “椴树花开香十里”。从分子的角度解释正确的是
A. 分子种类改变 B. 分子不断运动
C. 分子质量变小 D. 分子的体积变大
7. 同学们以“合理使用化学品”为话题进行如下交流,说法正确的是
A. 用亚硝酸钠作调味品 B. 用洗涤剂清洗油污
C. 用钢刷擦洗铝制品 D. 用食盐水清洗水垢
8. 下列物质在空气中燃烧产生大量白烟的是
A. 红磷 B. 木炭 C. 硫 D. 铁
9. 规范的操作是实验成功的保障,下列实验操作正确的是
A. 闻药品气味
B. 倾倒液体
C. 稀释浓硫酸
D. 移走蒸发皿
10.
常用作焙制糕点的发酵粉,
属于
A. 酸 B. 碱 C. 盐 D. 氧化物
11. “生命吸管”可以解决野外极限环境中的饮水问题。“生命吸管”中没有用到的净水方法是

A. 过滤 B. 吸附 C. 消毒 D. 蒸馏
12. “中国芯”的关键材料是硅。结合硅元素在元素周期表中的信息及硅原子的结构示意图,提取的信息错误的是

A. 图中的
B. 硅属于非金属元素
C. 硅原子有3个电子层 D. 硅原子的相对原子质量为![]()
13. “碳家族”中相关物质的性质与用途对应关系正确的是
A. 石墨作电车的电刷——质软 B. 金刚石切割玻璃——硬度大
C. 干冰作制冷剂——升华放热 D. 一氧化碳冶炼金属——可燃性
14. 归纳总结是学习化学的重要方法。下列归纳总结正确的是
A. 原子中一定含有中子 B. 带电的微粒都是离子
C. 质子数相同的原子一定是同种元素 D. 含碳元素的化合物都是有机物
15. 下列实验方案设计不合理的是
A. 灼烧闻气味鉴别羊毛线和棉线 B. 用肥皂水鉴别软水和硬水
C. 用火柴梗比较蜡烛火焰各层的温度 D. 用带火星木条鉴别空气和呼出气体
16. 除去下列物质中的杂质,方法正确的是
序号 | 物质 | 杂质 | 方法 |
A |
|
| 通过足量的浓硫酸 |
B |
|
| 通过灼热的炭层 |
C |
|
| 溶解、过滤、洗涤、干燥 |
D |
|
| 加过量的 |
A. A B. B C. C D. D
17. 下列图像能正确反映对应关系的是

A. 电解一定质量的水
B. 木炭在密闭容器中燃烧
C. 向一定量硫酸和硫酸铜的混合溶液中逐滴加入氢氧化钠溶液
D. 取两份相同质量的氯酸钾,向其中一份加入少量二氧化锰,同时加热
18. 将
某合金样品放入烧杯中,向其中加入
稀盐酸恰好完全反应,烧杯中剩余物的总质量是
,该合金样品可能是
A.
、
合金 B.
、C合金
C.
、
合金 D.
、
、
合金
二、填空与简答(本题共5小题,每空1分,共26分)
19. “宏观—微观—符号”三重表征是化学特有的表示物质及其变化的方法。请结合资料卡片中涉及到反应的微观示意图回答下列问题。

(1)丙物质的名称为______。
(2)“
”表示的微观意义是______。
(3)请标出丁中硫元素的化合价______。
(4)参加反应甲、乙两种物质的粒子个数比______。
20. 安全是人类生存的重要保降。

(1)海底光缆是全球信息互联互通的关键基础设施。它的结构中属于金属材料的是______(写一种)。光缆铺设在极其复杂的海底环境中,外被层材料应具备的性能是______(写一条)。
(2)粮食存储时向粮仓内充入氮气作保护气,这是利用了氮气______的性质。化学肥料对提高农作物的产量具有重要作用,为增强水稻、玉米等农作物的抗寒抗旱能力,需要施用______肥。
(3)为防止桥梁钢架生锈,常在其表面涂刷防护层,原理是______。
(4)家中使用天然气作燃料,用后关闭燃气阀。此操作体现的灭火原理是______。
21. 同学们通过调查实践活动,深刻理解了海洋资源对人类社会生产、生活的意义。

(1)海洋中物种丰富。鱼类富含的营养素是______,食用含丰富碘元素的海带可预防______。
(2)膜分离技术能使海水淡化。分离膜能使水分子通过,而海水中各种离子不能通过。图1中,给右侧海水加压的目的是______。目前我国正在研究核能海水淡化,核能电池是将核能直接转化为______的装置,具有安全、清洁、高效的优点。
(3)莺歌海盐场是海南省最大的盐场,阳光强烈,日照平均7小时以上、请结合图2分析海水晒盐利用的结晶方法是______晒盐时不能将水全部蒸干,目的是保证大量的
析出,而
、
等物质基本不析出,它们基本不析出的原因______。
(4)海洋能吸收热量,还能吸收空气中的
,过程中发生反应的化学方程式为______。海洋还可以将
封存于海底深处,目前对
的封存、捕集和利用技术,可有效缓解______问题。
22. 阅读下列科普材料,请回答相关问题。
生物质炭是一种富碳固态物质。它是由秸秆、树枝、菌渣等生物质废弃物在无氧或限氧环境中经高温热裂解产生。生物质炭用于农业生产能增加土壤有机质、施入土壤后可以中和土壤酸性,生物质炭还可以有效吸附土壤中的重金属,减少作物对重金属的吸收。目前国内外生物质炭生产技术大致可分为三大类:一类是在小于
环境下的低温慢速热解,一类是在
的中温快速热解,一类是在
以上的高温闪速裂解。
(1)产生生物质炭的过程属于______(填“物理”或“化学”)变化。
(2)请推测生物质炭显_____性,生物质炭结构特点是______。
(3)对比三大类生物质炭生产技术,得出温度对化学反应速率的影响是______。
23. 兴趣小组的同学们了解到
是绘画颜料的成分之一,在老师的指导下,进行了从食品脱氧剂的废渣中提取氧化铁为项目主题的实践活动,并创作出“红梅图”作为项目成果进行展示。请结合如下实验流程回答问题。

温馨提示:①该食品脱氧剂废渣中含有
和炭粉。
②控制溶液
,可使
完全沉淀。

(1)操作①中分离出铁粉的方法是______。
(2)步骤②中发生反应的化学方程式为______。
(3)滤液A中溶质的成分是______(填化学式)。
(4)生产生活中常利用废料提取所需物质的意义是______。
三、分析与推断(本题每空1分,共5分)
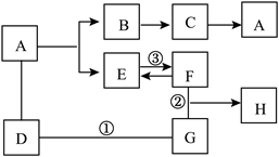
24. A~H是初中常见的物质。其中,A可用作补钙剂,E、F组成元素相同,H有紫红色金属光泽。(“—”表示反应关系,“→”表示转化关系,部分反应物、生成物省略)
(1)E的化学式为______,B的俗称是______。
(2)反应①属于基本反应类型中的______反应。
(3)反应②的化学方程式为______。
(4)反应③______热量(填“放出”或“吸收”)。
四、实验与探究(本题共4小题,每空1分,共23分)
25. 实验室配制一定质量分数的氯化钠溶液,使用的仪器如下,请结合实验过程回答问题。

(1)①的作用是______。
(2)称量一定质量的氯化钠需要的仪器有______(填序号)。
(3)使用②量取水的体积,若俯视读数,实际配制的
溶液中溶质的质量分数______(填“偏大”“偏小”或“不变”)
26. 下图是实验室常用制取气体的装置,请结合图示回答问题。

(1)仪器①的名称是______。
(2)用A作发生装置制取
时,发生反应的化学方程式为______。若选用C收集的
不纯,可能的原因是______。
(3)实验室制取
选用的发生装置是______,选择的理由是______,检验生成二氧化碳的方法是______。
(4)用F收集
,气体从______端通入。
27. 兴趣小组的同学为证明无明显现象反应的发生,进行了如下创新实验。(装置气密性良好,药品充足,部分仪器省略)
| 温馨提示: ①单向阀只允许气体、液体单向流动 ②无水氯化钙干燥 ③常温下几种物质在乙醇中的溶解度为
|
实验1】
(1)用装有少量含酚酞的
溶液的注射器,抽取适量浓盐酸,能证明反应发生的实验现象是______,发生反应的化学方程式为______。
【实验2】
(2)在广口瓶内装入
的浓盐酸,瓶内会充满
气体的原因是______。按图示连接实验装置,打开弹簧夹K和单向阀a、b,缓慢拉动注射器的活塞,抽取
气体过程中,观察到广口瓶中的浓盐酸底部有气泡产生,产生该现象的原因是______。关闭弹簧夹K和单向阀b,打开单向阀c,推动注射器的活塞,片刻后观察到试管中出现的实验现象是______,可证明反应发生。
【表达交流】无明显现象的反应可以从不同角度进行证明。
28. 兴趣小组对一瓶久置的
固体的变质情况进行了实验探究。
【提出问题】
变质了吗?
【作出猜想】①没有变质 ②已经变质
(1)请用化学方程式表示
能变质的原因______。
任务一 定性实验 探究该
固体是否变质
【实验活动1】
(2)兴趣小组设计方案进行如下实验
实验方案 | 实验现象 | 实验结论 |
取少量该 | ______ | 猜想②成立 依据是______(用化学方程式表示) |
【反思评价】有的同学提出此实验无法确定该
固体变质程度。
任务二 定量实验 探究该
固体变质程度
【实验活动2】
(3)兴趣小组利用控制变量的方法进行实验,实验数据如下表所示。
实验装置 | 实验 序号 | 分别向左右容器内加入下列物质 | 温度升高值/ | 溶液 |
| 1 |
| 31.52 | 13.69 |
2 |
| 10.03 | 11.92 | |
3 |
| 15.71 | m |
【实验结论】
(4)小组同学分析温度升高值数据,确定该
固体变质程度是______,请推测m的取值范围是______。
任务三计算该
固体的变质率
【实验活动3】实验步骤:称量
该
固体样品于小烧杯中备用:量取
的稀盐酸:用电子秤称量反应前仪器和药品的质量,记录数据:将稀盐酸加入小烧杯内,待完全反应,再次称量仪器和反应后溶液的质量,记录数据。
反应前质量/g | 反应后质量/g | 质量差/g |
105.32 | 105.02 | 0.30 |
(5)兴趣小组结合实验数据,计算出该
固体的变质率为______(结果保留至1%)。
温馨提示:变质率=(已经变质的
的质量/未变质前
的总质量)×100%
【反思评价】兴趣小组充分认识到定量研究在化学实验中的重要作用。
【拓展延伸】
(6)生活中的管道疏通剂和炉具清洁剂成分中都含有
,包装标签上应注明的注意事项是______(写一条)。
五、计算与应用(本题共2小题,29题3分,30题7分,共10分)
29. 配制
溶质质量分数为
的蔗糖溶液
(1)需蔗糖______g,水______g。
(2)含有相同质量氧元素的
和
的质量最简比为______。
30. “信州铅山县有苦泉,流以为涧。挹其水熬之,则成胆矾,烹胆矾则成铜。熬胆矾铁釜,久之亦化为铜”。——沈括《梦溪笔谈》。兴趣小组根据其中的原理进行了如下实验。向
硫酸铜溶液中加入铁粉,所得实验数据如图所示。

(1)b点固体的成分是______(用化学式表示)。
(2)计算恰好完全反应时,所得溶液中溶质的质量分数。
参考答案
一、判断与选择(本题共18小题,每题2分,共36分。1-15题每题各有一个正确选项。16-18题每题各有一个或两个正确选项,漏选一个得1分,多选或错选不得分,请将正确选项涂在答题卡相应的位置上)
【1题答案】
【答案】C
【2题答案】
【答案】D
【3题答案】
【答案】A
【4题答案】
【答案】B
【5题答案】
【答案】B
【6题答案】
【答案】B
【7题答案】
【答案】B
【8题答案】
【答案】A
【9题答案】
【答案】B
【10题答案】
【答案】C
【11题答案】
【答案】D
【12题答案】
【答案】D
【13题答案】
【答案】B
【14题答案】
【答案】C
【15题答案】
【答案】D
【16题答案】
【答案】AC
【17题答案】
【答案】C
【18题答案】
【答案】BD
二、填空与简答(本题共5小题,每空1分,共26分)
【19题答案】
【答案】(1)汞 (2)1个氧分子
(3)
(4)![]()
【20题答案】
【答案】(1) ①. 不锈钢 ②. 耐腐蚀
(2) ①. 化学性质稳定 ②. 磷##P
(3)隔绝氧气和水 (4)隔绝可燃物
【21题答案】
【答案】(1) ①. 蛋白质 ②. 甲状腺肿大
(2) ①. 更有利于得到更多的淡水 ②. 电能
(3) ①. 蒸发结晶 ②.
和
的溶解度随温度的升高而增大
(4) ①.
②. 温室效应加剧
【22题答案】
【答案】(1)化学 (2) ①. 碱 ②. 疏松多孔
(3)温度升高,化学反应速率加快
【23题答案】
【答案】(1)用磁铁吸引
(2)
(3)
、
、
(4)回收利用,节约资源
三、分析与推断(本题每空1分,共5分)
【24题答案】
【答案】(1) ①.
②. 生石灰
(2)复分解 (3)
(4)吸收
四、实验与探究(本题共4小题,每空1分,共23分)
【25题答案】
【答案】(1)搅拌,加速溶解
(2)⑤、⑥ (3)偏大
【26题答案】
【答案】(1)长颈漏斗
(2) ①.
②. 未等导管口气泡连续且均匀的产生就开始收集
(3) ①. B ②. 该反应为固体和液体不加热 ③. 将气体通入澄清石灰水,澄清石灰水变浑浊,证明是
(4)a
【27题答案】
【答案】(1) ①. 溶液由红色变为无色 ②.
(2) ①. 浓盐酸有挥发性,挥发出氯化氢气体 ②. 气体的溶解度随压强的减小而减小 ③. 白色沉淀
【28题答案】
【答案】(1)
(2) ①. 产生气泡 ②.
(3)1.0##1 (4) ①. 部分变质 ②.
(5)
(6)密封保存
五、计算与应用(本题共2小题,29题3分,30题7分,共10分)
【29题答案】
【答案】(1) ①. 10 ②. 90
(2)![]()
【30题答案】
【答案】(1)
(2)
解:设反应生成硫酸亚铁的质量为x,反应生成铜的质量为y

x=15.2g
y=6.4g
则恰好完全反应时,所得溶液中溶质的质量分数为:![]()
答:所得溶液中溶质的质量分数为
。

