2024年湖南普通高中学业水平选择性考试化学试题及答案
可能用到的相对原子质量:H 1 C 12 N 14 O 16 Cl 35.5 Cu 64
一、选择题:本题共14小题,每小题3分,共42分。在每小题给出的四个选项中,只有一项是符合题目要求的。
1. 近年来,我国新能源产业得到了蓬勃发展,下列说法错误的是
A. 理想的新能源应具有资源丰富、可再生、对环境无污染等特点
B. 氢氧燃料电池具有能量转化率高、清洁等优点
C. 锂离子电池放电时锂离子从负极脱嵌,充电时锂离子从正极脱嵌
D. 太阳能电池是一种将化学能转化为电能的装置
2. 下列化学用语表述错误的是
A.
的电子式:![]()
B. 异丙基的结构简式:
C. NaCl溶液中的水合离子:
D.
分子中
键的形成:
3. 下列实验事故的处理方法不合理的是
实验事故 | 处理方法 | |
A | 被水蒸气轻微烫伤 | 先用冷水处理,再涂上烫伤药膏 |
B | 稀释浓硫酸时,酸溅到皮肤上 | 用 |
C | 苯酚不慎沾到手上 | 先用乙醇冲洗,再用水冲洗 |
D | 不慎将酒精灯打翻着火 | 用湿抹布盖灭 |
A. A B. B C. C D. D
4. 下列有关化学概念或性质的判断错误的是
A.
分子是正四面体结构,则
没有同分异构体
B. 环己烷与苯分子中
键的键能相等
C. 甲苯的质谱图中,质荷比为92的峰归属于
D. 由
与
组成的离子液体常温下呈液态,与其离子的体积较大有关
5. 组成核酸的基本单元是核苷酸,下图是核酸的某一结构片段,下列说法错误的是

A. 脱氧核糖核酸(DNA)和核糖核酸(RNA)结构中的碱基相同,戊糖不同
B. 碱基与戊糖缩合形成核苷,核苷与磷酸缩合形成核苷酸,核苷酸缩合聚合得到核酸
C. 核苷酸在一定条件下,既可以与酸反应,又可以与碱反应
D. 核酸分子中碱基通过氢键实现互补配对
6. 下列过程中,对应的反应方程式错误的是
A | 《天工开物》记载用炉甘石( |
|
B |
|
|
C | 饱和 |
|
D | 绿矾( |
|
A. A B. B C. C D. D
7. 某学生按图示方法进行实验,观察到以下实验现象:

①铜丝表面缓慢放出气泡,锥形瓶内气体呈红棕色;
②铜丝表面气泡释放速度逐渐加快,气体颜色逐渐变深;
③一段时间后气体颜色逐渐变浅,至几乎无色;
④锥形瓶中液面下降,长颈漏斗中液面上升,最终铜丝与液面脱离接触,反应停止。
下列说法正确的是
A. 开始阶段铜丝表面气泡释放速度缓慢,原因是铜丝在稀HNO3中表面钝化
B. 锥形瓶内出现了红棕色气体,表明铜和稀HNO3反应生成了NO2
C. 红棕色逐渐变浅的主要原因是![]()
D. 铜丝与液面脱离接触,反应停止,原因是硝酸消耗完全
8. 为达到下列实验目的,操作方法合理的是
实验目的 | 操作方法 | |
A | 从含有 | 用CCl4溶解、萃取、分液 |
B | 提纯实验室制备的乙酸乙酯 | 依次用 |
C | 用 | 用甲基橙作指示剂进行滴定 |
D | 从明矾过饱和溶液中快速析出晶体 | 用玻璃棒摩擦烧杯内壁 |
A. A B. B C. C D. D
9. 通过理论计算方法优化了P和Q的分子结构,P和Q呈平面六元并环结构,原子的连接方式如图所示,下列说法错误的是

A. P为非极性分子,Q为极性分子 B. 第一电离能:![]()
C.
和
所含电子数目相等 D. P和Q分子中C、B和N均为
杂化
10. 在
水溶液中,电化学方法合成高能物质
时,伴随少量
生成,电解原理如图所示,下列说法正确的是

A. 电解时,
向Ni电极移动
B. 生成
的电极反应:![]()
C. 电解一段时间后,溶液pH升高
D. 每生成
的同时,生成![]()
11. 中和法生产
的工艺流程如下:

已知:①
的电离常数:
,
,![]()
②
易风化。
下列说法错误的是
A. “中和”工序若在铁质容器中进行,应先加入
溶液
B. “调pH”工序中X为
或![]()
C. “结晶”工序中溶液显酸性
D. “干燥”工序需在低温下进行
12.
是一种高活性的人工固氮产物,其合成反应为
,晶胞如图所示,下列说法错误的是

A. 合成反应中,还原剂是
和C
B. 晶胞中含有的
个数为4
C. 每个
周围与它最近且距离相等的
有8个
D.
为V型结构
13. 常温下
,向
溶液中缓慢滴入相同浓度的
溶液,混合溶液中某两种离子的浓度随加入
溶液体积的变化关系如图所示,下列说法错误的是

A. 水的电离程度:![]()
B. M点:![]()
C. 当
时,![]()
D. N点:![]()
14. 恒压下,向某密闭容器中充入一定量的
和
,发生如下反应:
主反应:
![]()
副反应:
![]()
在不同温度下,反应达到平衡时,测得两种含碳产物的分布分数
随投料比x(物质的量之比)的变化关系如图所示,下列说法正确的是

A. 投料比x代表
B. 曲线c代表乙酸的分布分数
C.
,![]()
D. L、M、N三点的平衡常数:![]()
15. 亚铜配合物广泛用作催化剂。实验室制备
的反应原理如下:![]()
实验步骤如下:

分别称取
和
粉置于
乙腈(
)中应,回流装置图和蒸馏装置图(加热、夹持等装置略)如下:

已知:①乙腈是一种易挥发的强极性配位溶剂;
②相关物质的信息如下:
化合物 |
|
|
相对分子质量 | 327.5 | 371 |
在乙腈中颜色 | 无色 | 蓝色 |
回答下列问题:
(1)下列与实验有关的图标表示排风的是_______(填标号);
A.
B.
C.
D.
E.![]()
(2)装置Ⅰ中仪器M的名称为_______;
(3)装置Ⅰ中反应完全的现象是_______;
(4)装置Ⅰ和Ⅱ中
气球的作用是_______;
(5)
不能由步骤c直接获得,而是先蒸馏至接近饱和,再经步骤d冷却结晶获得。这样处理的目的是_______
(6)为了使母液中的
结晶,步骤e中向母液中加入的最佳溶剂是_______(填标号);
A.水 B.乙醇 C.乙醚
(7)合并步骤d和e所得的产物,总质量为
,则总收率为_______(用百分数表示,保留一位小数)。
16. 铜阳极泥(含有Au、
、
、
等)是一种含贵金属的可再生资源,回收贵金属的化工流程如下:

已知:①当某离子的浓度低于
时,可忽略该离子的存在;
②
;
③
易从溶液中结晶析出;
④不同温度下
的溶解度如下:
温度 | 0 | 20 | 40 | 60 | 80 |
溶解度/g | 14.4 | 26.1 | 37.4 | 33.2 | 29.0 |
回答下列问题:
(1)Cu属于_______区元素,其基态原子的价电子排布式为_______;
(2)“滤液1”中含有
和
,“氧化酸浸”时
反应的离子方程式为_______;
(3)“氧化酸浸”和“除金”工序抣需加入一定量的
:
①在“氧化酸浸”工序中,加入适量
的原因是_______。
②在“除金”工序溶液中,
浓度不能超过_______
。
(4)在“银转化”体系中,
和
浓度之和为
,两种离子分布分数
随
浓度的变化关系如图所示,若
浓度为
,则
的浓度为_______
。

(5)滤液4中溶质主要成分为_______(填化学式);在连续生产的模式下,“银转化”和“银还原”工序需在
℃左右进行,若反应温度过高,将难以实现连续生产,原因是_______。
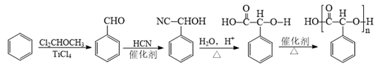
17. 化合物H是一种具有生物活性的苯并呋喃衍生物,合成路线如下(部分条件忽略,溶剂未写出):

回答下列问题:
(1)化合物A在核磁共振氢谱上有_______组吸收峰;
(2)化合物D中含氧官能团的名称为_______、_______;
(3)反应③和④的顺序不能对换的原因是_______;
(4)在同一条件下,下列化合物水解反应速率由大到小的顺序为_______(填标号);
①
②
③
(5)化合物
的合成过程中,经历了取代、加成和消去三步反应,其中加成反应的化学方程式为_______;
(6)依据以上流程信息,结合所学知识,设计以
和
为原料合成
的路线_______(HCN等无机试剂任选)。
18. 丙烯腈(
)是一种重要的化工原料。工业上以
为载气,用
作催化剂生产
的流程如下:

已知:①进料混合气进入两釜的流量恒定,两釜中反应温度恒定:
②反应釜Ⅰ中发生的反应:
ⅰ:
![]()
③反应釜Ⅱ中发生的反应:
ⅱ:
![]()
ⅲ:
![]()
④在此生产条件下,酯类物质可能发生水解。
回答下列问题:
(1)总反应
_______(用含
、
、和
的代数式表示);
(2)进料混合气中
,出料中四种物质(
、
、
、
)的流量,(单位时间内出料口流出的物质的量)随时间变化关系如图:

①表示
的曲线是_______(填“a”“b”或“c”);
②反应釜Ⅰ中加入
的作用是_______。
③出料中没有检测到
的原因是_______。
④反应
后,a、b、c曲线对应物质的流量逐渐降低的原因是_______。
(3)催化剂
再生时会释放
,可用氨水吸收获得
。现将一定量的
固体(含
水)置于密闭真空容器中,充入
和
,其中
的分压为
,在
℃下进行干燥。为保证
不分解,
的分压应不低于_______
(已知
分解的平衡常数
);
(4)以
为原料,稀硫酸为电解液,Sn作阴极,用电解的方法可制得
,其阴极反应式_______。
参考答案
一、选择题:本题共14小题,每小题3分,共42分。在每小题给出的四个选项中,只有一项是符合题目要求的。
【1题答案】
【答案】D
【2题答案】
【答案】C
【3题答案】
【答案】B
【4题答案】
【答案】B
【5题答案】
【答案】A
【6题答案】
【答案】A
【7题答案】
【答案】C
【8题答案】
【答案】D
【9题答案】
【答案】A
【10题答案】
【答案】B
【11题答案】
【答案】C
【12题答案】
【答案】D
【13题答案】
【答案】D
【14题答案】
【答案】D
【15题答案】
【答案】(1)D (2)球形冷凝管
(3)溶液蓝色褪去变为无色
(4)排出装置内空气,防止制备的产品被氧化
(5)冷却过程中降低
在水中的溶解度
(6)B (7)81.2%
【16题答案】
【答案】(1) ①. ds ②. 3d104s1
(2)
(3) ①. 使银元素转化为AgCl沉淀 ②. 0.5
(4)0.05 (5) ①.
②. 高于40℃后,
的溶解度下降,“银转化”和“银还原”的效率降低,难以实现连续生产
【17题答案】
【答案】(1)6 (2) ①. 醛基 ②. 醚键
(3)先进行反应③再进行反应④可以防止酚羟基被氧化
(4)①③② (5)
![]()
;
(6)
【18题答案】
【答案】(1)ΔH1+ΔH2+ΔH3
(2) ①. c ②. 降低分压有利于反应i平衡正向移动且提高醇的浓度可以使酯的水解程度降低从而提高产率 ③. CH2=CHCONH2在反应釜Ⅱ的温度下发生分解 ④. 反应时间过长,催化剂中毒活性降低,反应速率降低,故产物减少 (3)40
(4)Sn+4CH2=CHCN+4e-+4H+=Sn(CH2CH2CN)4

