2024年河南高考理综试题及答案
可能用到的相对原子质量:H 1 C 12 N 14 O 16 S 32 Mn 55 Fe 56 Co 59 Ni 59 Zn 65
一、选择题:本题共13小题,每小题6分,共78分。在每小题给出的四个选项中,只有一项是符合题目要求的。
1. 大豆是我国重要的粮食作物。下列叙述错误的是( )
A. 大豆油含有不饱和脂肪酸,熔点较低,室温时呈液态
B. 大豆的蛋白质、脂肪和淀粉可在人体内分解产生能量
C. 大豆中的蛋白质含有人体细胞不能合成的必需氨基酸
D. 大豆中的脂肪和磷脂均含有碳、氢、氧、磷4种元素
2. 干旱缺水条件下,植物可通过减小气孔开度减少水分散失。下列叙述错误的是( )
A. 叶片萎蔫时叶片中脱落酸的含量会降低
B. 干旱缺水时进入叶肉细胞的
会减少
C. 植物细胞失水时胞内结合水与自由水比值增大
D. 干旱缺水不利于植物对营养物质的吸收和运输
3. 人体消化道内食物的消化和吸收过程受神经和体液调节。下列叙述错误的是( )
A. 进食后若副交感神经活动增强可抑制消化液分泌
B. 唾液分泌条件反射的建立需以非条件反射为基础
C. 胃液中的盐酸能为胃蛋白酶提供适宜的pH环境
D. 小肠上皮细胞通过转运蛋白吸收肠腔中的氨基酸
4. 采用稻田养蟹的生态农业模式既可提高水稻产量又可收获螃蟹。下列叙述错误的是( )
A. 该模式中水稻属于第一营养级
B. 该模式中水稻和螃蟹处于相同生态位
C. 该模式可促进水稻对二氧化碳的吸收
D. 该模式中碳循环在无机环境和生物间进行
5. 某种二倍体植物的P1和P2植株杂交得F1,F1自交得F2。对个体的DNA进行PCR检测,产物的电泳结果如图所示,其中①~⑧为部分F2个体,上部2条带是一对等位基因的扩增产物,下部2条带是另一对等位基因的扩增产物,这2对等位基因位于非同源染色体上。下列叙述错误的是( )

A. ①②个体均为杂合体,F2中③所占的比例大于⑤
B. 还有一种F2个体的PCR产物电泳结果有3条带
C. ③和⑦杂交子代的PCR产物电泳结果与②⑧电泳结果相同
D. ①自交子代的PCR产物电泳结果与④电泳结果相同的占![]()
6. 用一定量的液体培养基培养某种细菌,活细菌数随时间的变化趋势如图所示,其中Ⅰ~Ⅳ表示细菌种群增长的4个时期。下列叙述错误的是( )
A. 培养基中的细菌不能通过有丝分裂进行增殖
B. Ⅱ期细菌数量增长快,存在“J”形增长阶段
C. Ⅲ期细菌没有增殖和死亡,总数保持相对稳定
D. Ⅳ期细菌数量下降的主要原因有营养物质匮乏
7. 文房四宝是中华传统文化的瑰宝。下列有关叙述错误的是
A. 羊毛可用于制毛笔,主要成分为蛋白质
B. 松木可用于制墨,墨的主要成分是单质碳
C. 竹子可用于造纸,纸的主要成分是纤维素
D. 大理石可用于制砚台,主要成分为硅酸盐
8. 一种点击化学方法合成聚硫酸酯(W)的路线如下所示:

下列说法正确的是
A. 双酚A是苯酚的同系物,可与甲醛发生聚合反应
B.
催化聚合也可生成W
C. 生成W的反应③为缩聚反应,同时生成![]()
D. 在碱性条件下,W比聚苯乙烯更难降解
9. 实验室中利用下图装置验证铁与水蒸气反应。下列说法错误的是

A. 反应为
B. 酒精灯移至湿棉花下方实验效果更好
C. 用木柴点燃肥皂泡检验生成的氢气
D. 使用硬质玻璃试管盛装还原铁粉
10. 对于下列过程中发生的化学反应,相应离子方程式正确的是
A. 试管壁上的银镜用稀硝酸清洗:![]()
B. 工业废水中的
用
去除:![]()
C. 海水提溴过程中将溴吹入
吸收塔:![]()
D. 用草酸标准溶液测定高锰酸钾溶液的浓度:![]()
11. 我国科学家最近研究的一种无机盐
纳米药物具有高效的细胞内亚铁离子捕获和抗氧化能力。W、X、Y、Z的原子序数依次增加,且W、X、Y属于不同族的短周期元素。W的外层电子数是其内层电子数的2倍,X和Y的第一电离能都比左右相邻元素的高。Z的M层未成对电子数为4。下列叙述错误的是
A. W、X、Y、Z四种元素的单质中Z的熔点最高
B. 在X的简单氢化物中X原子轨道杂化类型为![]()
C. Y的氢氧化物难溶于NaCl溶液,可以溶于
溶液
D.
中
提供电子对与
形成配位键
12. 一种可植入体内的微型电池工作原理如图所示,通过CuO催化消耗血糖发电,从而控制血糖浓度。当传感器检测到血糖浓度高于标准,电池启动。血糖浓度下降至标准,电池停止工作。(血糖浓度以葡萄糖浓度计)

电池工作时,下列叙述错误的是
A. 电池总反应为![]()
B. b电极上CuO通过Cu(Ⅱ)和Cu(Ⅰ)相互转变起催化作用
C. 消耗18mg葡萄糖,理论上a电极有0.4mmol电子流入
D. 两电极间血液中的
在电场驱动下的迁移方向为b→a
13. 常温下
和
的两种溶液中,分布系数δ与pH的变化关系如图所示。[比如:
]

下列叙述正确的是
A. 曲线M表示
的变化关系
B. 若酸的初始浓度为
,则a点对应的溶液中有![]()
C.
的电离常数![]()
D.
时,![]()
二、选择题:本题共8小题,每小题6分,共48分。在每小题给出的四个选项中,第14~18题只有一项符合题目要求,第19~21题有多项符合题目要求。全部选对的得6分,选对但不全的得3分,有选错的得0分。
14. 一质点做直线运动,下列描述其位移x或速度v随时间t变化的图像中,可能正确的是( )
A.
B. 
C.
D. 
15. 福建舰是我国自主设计建造的首艘弹射型航空母舰。借助配重小车可以进行弹射测试,测试时配重小车被弹射器从甲板上水平弹出后,落到海面上。调整弹射装置,使小车水平离开甲板时的动能变为调整前的4倍。忽略空气阻力,则小车在海面上的落点与其离开甲板处的水平距离为调整前的( )
A. 0.25倍 B. 0.5倍 C. 2倍 D. 4倍
16. 天文学家发现,在太阳系外的一颗红矮星有两颗行星绕其运行,其中行星GJ1002c的轨道近似为圆,轨道半径约为日地距离的0.07倍,周期约为0.06年,则这颗红矮星的质量约为太阳质量的( )
A. 0.001倍 B. 0.1倍 C. 10倍 D. 1000倍
17. 三位科学家由于在发现和合成量子点方面的突出贡献,荣获了2023年诺贝尔化学奖。不同尺寸的量子点会发出不同颜色的光。现有两种量子点分别发出蓝光和红光,下列说法正确的是( )
A. 蓝光光子的能量大于红光光子的能量
B. 蓝光光子的动量小于红光光子的动量
C. 在玻璃中传播时,蓝光的速度大于红光的速度
D. 蓝光在玻璃中传播时的频率小于它在空气中传播时的频率
18. 如图,两根不可伸长的等长绝缘细绳的上端均系在天花板的O点上,下端分别系有均带正电荷的小球P、Q;小球处在某一方向水平向右的匀强电场中,平衡时两细绳与竖直方向的夹角大小相等。则( )

A. 两绳中的张力大小一定相等
B. P的质量一定大于Q的质量
C. P的电荷量一定小于Q的电荷量
D. P的电荷量一定大于Q的电荷量
19. 位于坐标原点O的波源在
时开始振动,振动图像如图所示,所形成的简谐横波沿x轴正方向传播。平衡位置在
处的质点P开始振动时,波源恰好第2次处于波谷位置,则( )

A. 波的周期是0.1s
B. 波的振幅是0.2m
C. 波的传播速度是10m/s
D. 平衡位置在
处的质点Q开始振动时,质点P处于波峰位置
20. 电动汽车制动时可利用车轮转动将其动能转换成电能储存起来。车轮转动时带动磁极绕固定的线圈旋转,在线圈中产生电流。磁极匀速转动的某瞬间,磁场方向恰与线圈平面垂直,如图所示。将两磁极间的磁场视为匀强磁场,则磁极再转过90°时,线圈中( )

A. 电流最小 B. 电流最大
C. 电流方向由P指向Q D. 电流方向由Q指向P
21. 如图,一定量理想气体的循环由下面4个过程组成:1→2为绝热过程(过程中气体不与外界交换热量),2→3为等压过程,3→4为绝热过程,4→1为等容过程。上述四个过程是四冲程柴油机工作循环的主要过程。下列说法正确的是( )

A. 1→2过程中,气体内能增加 B. 2→3过程中,气体向外放热
C. 3→4过程中,气体内能不变 D. 4→1过程中,气体向外放热
三、非选择题:共174分。
22. 某同学用如图所示的装置验证动量守恒定律。将斜槽轨道固定在水平桌面上,轨道末段水平,右侧端点在水平木板上的垂直投影为O,木板上叠放着白纸和复写纸。实验时先将小球a从斜槽轨道上Q处由静止释放,a从轨道右端水平飞出后落在木板上;重复多次,测出落点的平均位置P与O点的距离x,将与a半径相等的小球b置于轨道右侧端点,再将小球a从Q处由静止释放,两球碰撞后均落在木板上;重复多次,分别测出a、b两球落点的平均位置M、N与O点的距离
、
。

完成下列填空:
(1)记a、b两球的质量分别为
、
,实验中须满足条件
______
(填“>”或“<”);
(2)如果测得的
、
、
、
和
在实验误差范围内满足关系式______,则验证了两小球在碰撞中满足动量守恒定律。实验中,用小球落点与O点的距离来代替小球水平飞出时的速度,依据是______。
23. 学生实验小组要测量量程为3V的电压表V的内阻
。可选用的器材有:多用电表,电源E(电动势5V),电压表V1(量程5V,内阻约3kΩ),定值电阻
(阻值为800Ω),滑动变阻器
(最大阻值50Ω),滑动变阻器
(最大阻值5kΩ),开关S,导线若干。
完成下列填空:
(1)利用多用电表粗测待测电压表的内阻。首先应______(把下列实验步骤前的字母按正确操作顺序排列);
A.将红、黑表笔短接
B.调节欧姆调零旋钮,使指针指向零欧姆
C.将多用电表选择开关置于欧姆挡“×10”位置
再将多用电表的红、黑表笔分别与待测电压表的______填“正极、负极”或“负极、正极”)相连,欧姆表的指针位置如图(a)中虚线Ⅰ所示。为了减少测量误差,应将选择开关旋转到欧姆挡______(填“×1”“×100”或“
”)位置,重新调节后,测量得到指针位置如图(a)中实线Ⅱ所示,则组测得到的该电压表内阻为______kΩ(结果保留1位小数);

(2)为了提高测量精度,他们设计了如图(b)所示的电路,其中滑动变阻器应选______(填“
”或“
”),闭合开关S前,滑动变阻器的滑片应置于______(填“a”或“b”)端;
(3)闭合开关S,滑动变阻器滑片滑到某一位置时,电压表
,待测电压表的示数分别为
、
,则待测电压表内阻
______(用
、U和
表示);
(4)测量得到
,则待测电压表内阻
______
(结果保留3位有效数字)。
24. 将重物从高层楼房的窗外运到地面时,为安全起见,要求下降过程中重物与楼墙保持一定的距离。如图,一种简单的操作方法是一人在高处控制一端系在重物上的绳子P,另一人在地面控制另一根一端系在重物上的绳子Q,二人配合可使重物缓慢竖直下降。若重物的质量
,重力加速度大小
,当P绳与竖直方向的夹角
时,Q绳与竖直方向的夹角![]()
(1)求此时P、Q绳中拉力的大小;
(2)若开始竖直下降时重物距地面的高度
,求在重物下降到地面的过程中,两根绳子拉力对重物做的总功。

25. 如图,一长度
的均匀薄板初始时静止在一光滑平台上,薄板的右端与平台的边缘O对齐。薄板上的一小物块从薄板的左端以某一初速度向右滑动,当薄板运动的距离
时,物块从薄板右端水平飞出;当物块落到地面时,薄板中心恰好运动到O点。已知物块与薄板的质量相等。它们之间的动摩擦因数
,重力加速度大小
。求
(1)物块初速度大小及其在薄板上运动的时间;
(2)平台距地面的高度。

26. 一质量为m、电荷量为
的带电粒子始终在同一水平面内运动,其速度可用图示的直角坐标系内,一个点
表示,
、
分别为粒子速度在水平面内两个坐标轴上的分量。粒子出发时P位于图中
点,粒子在水平方向的匀强电场作用下运动,P点沿线段ab移动到
点;随后粒子离开电场,进入方向竖直、磁感应强度大小为B的匀强磁场,P点沿以O为圆心的圆弧移动至
点;然后粒子离开磁场返回电场,P点沿线段ca回到a点。已知任何相等的时间内P点沿图中闭合曲线通过的曲线长度都相等。不计重力。求
(1)粒子在磁场中做圆周运动的半径和周期;
(2)电场强度的大小;
(3)P点沿图中闭合曲线移动1周回到a点时,粒子位移的大小。

27. 钴及其化合物在制造合金、磁性材料、催化剂及陶瓷釉等方面有着广泛应用。一种从湿法炼锌产生的废渣(主要含Co、Zn、Pb、Fe的单质或氧化物)中富集回收得到含锰高钴成品的工艺如下:

已知溶液中相关离子开始沉淀和沉淀完全(
)时的pH:
|
|
|
|
| |
开始沉淀的pH | 1.5 | 6.9 | — | 7.4 | 6.2 |
沉淀完全的pH | 2.8 | 8.4 | 1.1 | 9.4 | 8.2 |
回答下列问题:
(1)“酸浸”前废渣需粉碎处理,目的是_______;“滤渣1”中金属元素主要为_______。
(2)“过滤1”后的溶液中加入
的作用是_______。取少量反应后的溶液,加入化学试剂_______检验_______,若出现蓝色沉淀,需补加
。
(3)“氧化沉钴”中氧化还原反应的离子方程式为_______、_______。
(4)“除钴液”中主要的盐有_______(写化学式),残留的
浓度为_______
。
28. 吡咯类化合物在导电聚合物、化学传感器及药物制剂上有着广泛应用。一种合成1-(4-甲氧基苯基)-2,5-二甲基吡咯(用吡咯X表示)的反应和方法如下:

实验装置如图所示,将100 mmol己-2,5-二酮(熔点:-5.5℃,密度:
)与100 mmol 4-甲氧基苯胺(熔点:57℃)放入①中,搅拌。

待反应完成后,加入50%的乙醇溶液,析出浅棕色固体。加热至65℃,至固体溶解,加入脱色剂,回流20 min,趁热过滤。滤液静置至室温,冰水浴冷却,有大量白色固体析出。经过滤、洗涤、干燥得到产品。
回答下列问题:
(1)量取己-2,5-二酮应使用的仪器为_______(填名称)。
(2)仪器①用铁夹固定在③上,③的名称是_______;仪器②的名称是_______。
(3)“搅拌”的作用是_______。
(4)“加热”方式为_______。
(5)使用的“脱色剂”是_______。
(6)“趁热过滤”的目的是_______;用_______洗涤白色固体。
(7)若需进一步提纯产品,可采用的方法是_______。
29.
(四羰合镍,沸点43℃)可用于制备高纯镍,也是有机化合物羰基化反应的催化剂。回答下列问题:
(1)Ni基态原子价电子的轨道表示式为_______。镍的晶胞结构类型与铜的相同,晶胞体积为
,镍原子半径为_______。
(2)
结构如图甲所示,其中含有σ键的数目为_______,
晶体的类型为_______。

(3)在总压分别为0.10、0.50、1.0、2.0MPa下,Ni(s)和CO(g)反应达平衡时,
体积分数x与温度的关系如图乙所示。反应
的ΔH_______0(填“大于”或“小于”)。从热力学角度考虑,_______有利于
的生成(写出两点)。
、100℃时CO的平衡转化率α=_______,该温度下平衡常数
_______
。

(4)对于同位素交换反应
,20℃时反应物浓度随时间的变化关系为
(k为反应速率常数),则
反应一半所需时间
_______(用k表示)。
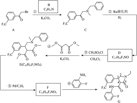
30. 四氟咯草胺(化合物G)是一种新型除草剂,可有效控制稻田杂草。G的一条合成路线如下(略去部分试剂和条件,忽略立体化学)。

已知反应Ⅰ:![]()
已知反应Ⅱ:
为烃基或H,R、
、
、
为烃基
回答下列问题:
(1)反应①的反应类型为_______;加入
的作用是_______。
(2)D分子中采用
杂化的碳原子数是_______。
(3)对照已知反应Ⅰ,反应③不使用
也能进行,原因是_______。
(4)E中含氧官能团名称是_______。
(5)F的结构简式是_______;反应⑤分两步进行,第一步产物的分子式为
,其结构简式是_______。
(6)G中手性碳原子是_______(写出序号)。
(7)化合物H是B的同分异构体,具有苯环结构,核磁共振氢谱中显示为四组峰,且可以发生已知反应Ⅱ.则H的可能结构是_______。
31. 某同学将一种高等植物幼苗分为4组(a、b、c、d),分别置于密闭装置中照光培养,a、b、c、d组的光照强度依次增大,实验过程中温度保持恒定。一段时间(t)后测定装置内O2浓度,结果如图所示,其中M为初始O2浓度,c、d组O2浓度相同。回答下列问题。
(1)太阳光中的可见光由不同颜色的光组成,其中高等植物光合作用利用的光主要是________,原因是________。
(2)光照t时间时,a组CO2浓度________(填“大于”“小于”或“等于”)b组。
(3)若延长光照时间c、d组O2浓度不再增加,则光照t时间时a、b、c中光合速率最大的是________组,判断依据是________。
(4)光照t时间后,将d组密闭装置打开,并以c组光照强度继续照光,其幼苗光合速率会________(填“升高”“降低”或“不变”)。
32. 机体感染人类免疫缺陷病毒(HIV)可导致艾滋病。回答下列问题。
(1)感染病毒的细胞可发生细胞凋亡。细胞凋亡被认为是一种程序性死亡的理由是________。
(2)HIV会感染辅助性T细胞导致细胞凋亡,使机体抵抗病原体、肿瘤的特异性免疫力下降,特异性免疫力下降的原因是________。
(3)设计实验验证某血液样品中有HIV,简要写出实验思路和预期结果。
(4)接种疫苗是预防传染病的一种有效措施。接种疫苗在免疫应答方面的优点是________(答出2点即可)。
33. 厦门筼筜湖经生态治理后环境宜人,成为城市会客厅,是我国生态修复的典型案例。回答下列问题。
(1)湖泊水体的氮浓度是评价水质的指标之一,原因是______。
(2)湖区的红树林可提高固碳效率、净化水体。在湖区生态系统中,红树植物参与碳循环的主要途径有光合作用、呼吸作用,还有_______(答出2点即可)。
(3)湖区水质改善后鸟类的种类和数目增加。鸟类属于消费者,消费者在生态系统中的作用是_______(答出2点即可)。
(4)生态修复后湖区生态系统的生物多样性增加,保护生物多样性的意义是______。
34. 某种瓜的性型(雌性株/普通株)和瓜刺(黑刺/白刺)各由1对等位基因控制。雌性株开雌花,经人工诱雄处理可开雄花,能自交;普通株既开雌花又开雄花。回答下列问题。
(1)黑刺普通株和白刺雌性株杂交得
,根据
的性状不能判断瓜刺性状的显隐性,则
瓜刺的表现型及分离比是________。若要判断瓜刺的显隐性,从亲本或
中选择材料进行的实验及判断依据是_____。
(2)王同学将黑刺雌性株和白刺普通株杂交,
均为黑刺雌性株,
经诱雄处理后自交得
,能够验证“这2对等位基因不位于1对同源染色体上”这一结论的实验结果是________。
(3)白刺瓜受消费者青睐,雌性株的产量高。在王同学实验所得杂交子代中,筛选出白刺雌性株纯合体的杂交实验思路是________。
35. 某研究小组将纤维素酶基因(N)插入某种细菌(B1)的基因组中,构建高效降解纤维素的菌株(B2)。该小组在含有N基因的质粒中插入B1基因组的M1与M2片段;再经限制酶切割获得含N基因的片段甲,片段甲两端分别为M1与M2;利用CRISPR/Cas9基因组编辑技术将片段甲插入B1的基因组,得到菌株B2。酶切位点(I~Ⅳ)、引物(P1~P4)的结合位置、片段甲替换区如图所示,→表示引物5'→3'方向。回答下列问题。

(1)限制酶切割的化学键是________。为保证N基因能在菌株B2中表达,在构建片段甲时,应将M1与M2片段分别插入质粒的Ⅰ和Ⅱ、Ⅲ和Ⅳ酶切位点之间,原因是________。
(2)CRISPR/Cas9技术可以切割细菌B1基因组中与向导RNA结合的DNA。向导RNA与B1基因组DNA互补配对可以形成的碱基对有G-C和________。
(3)用引物P1和P2进行PCR可验证片段甲插入了细菌B1基因组,所用的模板是________;若用该模板与引物P3和P4进行PCR,实验结果是________。
(4)与秸秆焚烧相比,利用高效降解纤维素的细菌处理秸秆的优点是________(答出2点即可)。
参考答案
一、选择题:本题共13小题,每小题6分,共78分。在每小题给出的四个选项中,只有一项是符合题目要求的。
1. 【答案】D
2. 【答案】A
3. 【答案】A
4. 【答案】B
5. 【答案】D
6. 【答案】C
7. 【答案】D
8.【答案】B
9. 【答案】B
10. 【答案】C
11.【答案】A
12.【答案】C
13.【答案】D
二、选择题:本题共8小题,每小题6分,共48分。在每小题给出的四个选项中,第14~18题只有一项符合题目要求,第19~21题有多项符合题目要求。全部选对的得6分,选对但不全的得3分,有选错的得0分。
14.【答案】C
15.【答案】C
16. 【答案】B
17.【答案】A
18. 【答案】B
19. 【答案】BC
20.【答案】BD
21.【答案】AD
三、非选择题:共174分。
22. 【答案】(1)> (2) ①.
②. 小球离开斜槽末端后做平抛运动,竖直方向高度相同故下落时间相同,水平方向匀速运动直线运动,小球水平飞出时的速度与平抛运动的水平位移成正比。
23.【答案】(1) ①. CAB ②. 负极、正极 ③. ×100 ④. 1.6
(2) ①.
②. a
(3)
(4)1.57
24. 【答案】(1)
,
;(2)![]()
25.【答案】(1)4m/s;
;(2)![]()
26.【答案】(1)
,
;(2)
;(3)
27.【答案】(1) ①. 增大固液接触面积,加快酸浸速率,提高浸取效率 ②. Pb
(2) ①. 将溶液中的
氧化为
,以便在后续调pH时除去Fe元素 ②.
溶液 ③.
(3) ①.
②.
(4) ①.
、
②. ![]()
28.【答案】(1)酸式滴定管
(2) ①. 铁架台 ②. 球形冷凝管
(3)使固液充分接触,加快反应速率
(4)水浴加热 (5)活性炭
(6) ①. 防止产品结晶损失,提高产率 ②. 50%的乙醇溶液
(7)重结晶
29.【答案】(1) ①.
②.
(2) ①. 8 ②. 分子晶体
(3) ①. 小于 ②. 降低温度、增大压强 ③. 97.3% ④. 9000
(4)![]()
30.【答案】(1) ①. 取代反应 ②. 与生成的HBr反应,促进反应正向进行
(2)5 (3)D分子中同时存在—OH和
(4)酯基 (5) ①.
②.
(6)3和4 (7)
、
31.【答案】(1) ①. 红光和蓝紫光 ②. 光合色素可分为叶绿素和类胡萝卜素,叶绿素主要吸收红光和蓝紫光,类胡萝卜素主要吸收蓝紫光
(2)大于 (3) ①. c ②. 延长光照时间c、d组O2浓度不再增加,说明c组的光照强度已达到了光饱和点,光合速率达到最大值
(4)升高
32.【答案】(1)由基因控制的细胞自动结束生命的过程
(2)辅助性T细胞参与淋巴细胞的活化,分泌的细胞因子可促进淋巴细胞增殖分化,辅助性T细胞凋亡会影响淋巴细胞的活化与增殖
(3)实验思路一:利用抗HIV抗体,与血液样品进行抗原抗体杂交实验;预期结果:若出现杂交带,则证明血液样品中含有HIV;
实验思路二:使用PCR(聚合酶链反应)技术检测样品中的HIV核酸,产物经电泳与标准DNA进行比对;预期结果:PCR产物经电泳后出现特定条带,则证明血液样品中含有HIV
(4)在不使机体患病的条件下使机体产生免疫力;产生的免疫力针对特定病原体;产生的免疫力可保持一定时间
33.【答案】(1)N元素是植物生长的必须元素,含量过多会使藻类等水生生物的生长过快,导致水体富营养化,从而引发水华等环境问题
(2)通过根系吸收土壤中的碳酸盐,在体内转变成有机碳;通过食物链和食物网的形式, 将制造的有机碳传入其他生物
(3)加快生态系统中的能量流动和物质循环;帮助植物传粉和传播种子
(4)生物多样性具有直接价值、间接价值和潜在价值。①直接价值是指对人类有食用、药用和工业原料等实用意义的,以及旅游观赏、科学研究和文艺价值;②间接价值是调节生态系统的功能,增加生态系统的稳定性等;③潜在价值,现在未被利用的一些生物,在将来可能会有一些未知的价值。
34.【答案】(1) ①. 黑刺:白刺=1:1 ②. 从亲本或F1中选取表型相同的个体进行自交,若后代发生性状分离,则该个体性状为显性,不发生性状分离,则该性状为隐性
(2)F2中的表型及比例为黑刺雌性株:黑刺普通株:白刺雌性株:白刺普通株=9:3:3:1。
(3)选择F2中白刺雌性株分别与白刺普通株测交,若后代都为白刺雌性株,则该白刺雌性株为纯合体;若后代白刺雌性株:白刺普通株=1:1,则为白刺雌性株杂合体
35.【答案】(1) ①. 磷酸二酯键 ②. 不破坏N基因,且能保证N基因正常表达
(2)C-G、A-T、U-A
(3) ①. N基因的两条链 ②. 不能扩增出目的基因
(4)不污染环境、增加土壤养分
