2024年四川德阳中考数学真题及答案
第Ⅰ卷(选择题,共36分)
一、选择题(本大题共12个小题,每小题3分,共36分,在每小题给出的四个选项中,有且仅有一项是符合题目要求的.)
1.下列四个数中,比
小的数是( )
A.0 B.
C.
D.![]()
2.下列计算正确的是( )
A.
B.![]()
C.
D.![]()
3.如图是某机械加工厂加工的一种零件的示意图,其中
,
,则
等于( )

A.
B.
C.
D.![]()
4.正比例函数
的图象如图所示,则
的值可能是( )

A.
B.
C.
D.![]()
5.分式方程
的解是( )
A.3 B.2 C.
D.![]()
6.为了推进“阳光体育”,学校积极开展球类运动,在一次定点投篮测试中,每人投篮5次,七年级某班统计全班50名学生投中的次数,并记录如下:
投中次数(个) | 0 | 1 | 2 | 3 | 4 | 5 |
人数(人) | 1 | ● | 10 | 17 | ● | 6 |
表格中有两处数据不小心被墨汁遮盖了,下列关于投中次数的统计量中可以确定的是( )
A.平均数 B.中位数 C.众数 D.方差
7.走马灯,又称仙音烛,据史料记载,走马灯的历史起源于隋唐时期,盛行于宋代,是中国特色工艺品,常见于除夕、元宵、中秋等节日,在一次综合实践活动中,一同学用如图所示的纸片,沿折痕折合成一个棱锥形的“走马灯”,正方形做底,侧面有一个三角形面上写了“祥”字,当灯旋转时,正好看到“吉祥如意”的字样.则在A、B、C处依次写上的字可以是( )

A.吉 如 意 B.意 吉 如 C.吉 意 如 D.意 如 吉
8.已知,正六边形
的面积为
,则正六边形的边长为( )
A.1 B.
C.2 D.4
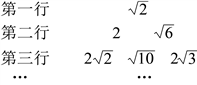
9.将一组数
,按以下方式进行排列:

则第八行左起第1个数是( )
A.
B.
C.
D.![]()
10.某校学生开展综合实践活动,测量一建筑物
的高度,在建筑物旁边有一高度为10米的小楼房
,小李同学在小楼房楼底
处测得
处的仰角为
,在小楼房楼顶
处测得
处的仰角为
.(
在同一平面内,
在同一水平面上),则建筑物
的高为( )米

A.20 B.15 C.12 D.![]()
11.宽与长的比是
的矩形叫黄金矩形,黄金矩形给我们以协调的美感,世界各国许多著名建筑为取得最佳的视觉效果,都采用了黄金矩形的设计.已知四边形
是黄金矩形.
,点
是边
上一点,则满足
的点
的个数为( )
A.3 B.2 C.1 D.0
12.一次折纸实践活动中,小王同学准备了一张边长为4(单位:
)的正方形纸片
,他在边
和
上分别取点
和点
,使
,又在线段
上任取一点
(点
可与端点重合),再将
沿
所在直线折叠得到
,随后连接
.小王同学通过多次实践得到以下结论:
①当点
在线段
上运动时,点
在以
为圆心的圆弧上运动;
②当
达到最大值时,
到直线
的距离达到最大;
③
的最小值为
;
④
达到最小值时,
.
你认为小王同学得到的结论正确的个数是( )

A.1 B.2 C.3 D.4
第Ⅱ卷(非选择题,共114分)
二、填空题(本大题共6个小题,每小题4分,共24分,将答案填在答题卡对应的题号后的横线上)
13.化简:
= .
14.若一个多项式加上
,结果是
,则这个多项式为 .
15.某校拟招聘一名优秀的数学教师,设置了笔试、面试、试讲三项水平测试,综合成绩按照笔试占
,面试占
,试讲占
进行计算,小徐的三项测试成绩如图所示,则她的综合成绩为 分.

16.如图,四边形
是矩形,
是正三角形,点
是
的中点,点
是矩形
内一点,且
是以
为底的等腰三角形,则
的面积与
的面积的比值是 .

17.数学活动课上,甲组同学给乙组同学出示了一个探究问题:把数字1至8分别填入如图的八个圆圈内,使得任意两个有线段相连的圆圈内的数字之差的绝对值不等于1.经过探究后,乙组的小高同学填出了图中两个中心圆圈的数字a、b,你认为a可以是 (填上一个数字即可)

18.如图,抛物线
的顶点
的坐标为
,与
轴的一个交点位于0和1之间,则以下结论:①
;②
;③若抛物线经过点
,则
;④若关于
的一元二次方程
无实数根,则
.其中正确结论是 (请填写序号).

三、解答题(本大题共7小题,共90分.解答应写出文字说明、证明过程或推演步骤)
19.(1)计算:
;
(2)解不等式组:
20.2024年中国龙舟公开赛(四川·德阳站),在德阳旌湖沱江桥水域举行,预计来自全国各地1000余名选手将参赛.旌湖两岸高颜值的绿色生态景观绿化带“德阳之窗”将迎接德阳市民以及来自全国各地的朋友近距离的观看比赛.比赛设置男子组、女子组、本地组三个组别,其中男子组将进行A:100米直道竞速赛,B:200米直道竟速赛,C:500米直道竞速赛,D:3000米绕标赛.为了了解德阳市民对于这四个比赛项目的关注程度,随机对部分市民进行了问卷调查(参与问卷调查的每位市民只能选择其中一个项目),将调查得到的数据绘制成数据统计表和扇形统计图(表、图都未完全制作完成):
市民最关注的比赛项目人数统计表 | ||||
比赛项目 | A | B | C | D |
关注人数 | 42 | 30 | a | b |

(1)直接写出a、b的值和D所在扇形圆心角的度数;
(2)若当天观看比赛的市民有10000人,试估计当天观看比赛的市民中关注哪个比赛项目的人数最多?大约有多少人?
(3)为了缓解比赛当天城市交通压力,维护交通秩序,德阳交警旌阳支队派出4名交警(2男2女)对该路段进行值守,若在4名交警中任意抽取2名交警安排在同一路口执勤,请用列举法(画树状图或列表)求出恰好抽到的两名交警性别相同的概率.
21.如图,一次函数
与反比例函数
的图象交于点
.

(1)求
的值和反比例函数
的解析式;
(2)将直线
向下平移
个单位长度
后得直线
,若直线
与反比例函数
的图象的交点为
,求
的值,并结合图象求不等式
的解集.
22.如图,在菱形
中,
,对角线
与
相交于点
,点
为
的中点,连接
与
相交于点
,连接
并延长交
于点
.

(1)证明:
;
(2)证明:
.
23.罗江糯米咸鹅蛋是德阳市非物质文化遗产之一,至今有200多年历史,采用罗江当地林下养殖的鹅产的散养鹅蛋,经过传统秘方加以糯米、青豆等食材以16道工序手工制作而成.为了迎接端午节,进一步提升糯米咸鹅蛋的销量,德阳某超市将购进的糯米咸鹅蛋和肉粽进行组合销售,有A、B两种组合方式,其中A组合有4枚糯米咸鹅蛋和6个肉粽,B组合有6枚糯米咸鹅蛋和10个肉粽.A、B两种组合的进价和售价如下表:
价格 | A | B |
进价(元/件) | 94 | 146 |
售价(元/件) | 120 | 188 |
(1)求每枚糯米咸鹅蛋和每个肉粽的进价分别为多少?
(2)根据市场需求,超市准备的B种组合数量是A种组合数量的3倍少5件,且两种组合的总件数不超过95件,假设准备的两种组合全部售出,为使利润最大,该超市应准备多少件A种组合?最大利润为多少?
24.如图,抛物线
与
轴交于点
和点
,与
轴交于点
.

(1)求抛物线的解析式;
(2)当
时,求
的函数值的取值范围;
(3)将拋物线的顶点向下平移
个单位长度得到点
,点
为抛物线的对称轴上一动点,求
的最小值.
25.已知
的半径为5,
是
上两定点,点
是
上一动点,且
的平分线交
于点
.

(1)证明:点
为
上一定点;
(2)过点
作
的平行线交
的延长线于点
.
①判断
与
的位置关系,并说明理由;
②若
为锐角三角形,求
的取值范围
参考答案
1.D
2.B
3.B
5.D
6.C
7.A
8.C
9.C
10.B
11.D
12.C
13.3
14.![]()
15.![]()
16.2
17.1##8
18.①②④
19.(1)
,(2)![]()
20.(1)
,
,![]()
(2)D,4000
(3)![]()
21.(1)
;反比例函数的解析式为![]()
(2)
;不等式
的解集为![]()
22.
【详解】(1)证明:∵四边形
是菱形,
∴
,
∵
,
∴
是等边三角形,
∵点
为
的中点,
∴
,
∴![]()
∵
,
∴
.
(2)证明:∵
是等边三角形,
,
,
∴
,
∴![]()
∵
是等边三角形,
∴
,
在
和
中,
,
∴
.
23.(1)16, 6
(2)25, 3590
24.(1)![]()
(2)![]()
(3)
的最小值为:![]()
25.(1)证明见解析
(2)①
与
相切,理由见解析;②
的取值范围为![]()
【详解】(1)证明:∵
的平分线交
于点
,
,
∴
,
∴
,
∵
是
上两定点,
∴点
为
的中点,是一定点;
