2023年河北中考化学试题及答案
可能用到的相对原子质量:![]()
一、选择题
1.如图所示为量取一定体积的液体并加热至沸腾的部分操作,其中正确的是
A.
倾倒液体
B.
滴加液体
C.
加热液体
D.
熄灭酒精灯
2.材料的应用与发展丰富了人们的生活。下列物品主要用有机合成材料制成的是
A.塑料水盆 B.纯棉毛巾 C.陶瓷餐具 D.黄金饰品
3.水是生命之源,人类的生产生活都离不开水。下列有关水的认识错误的是
A.地球上可利用的淡水资源有限 B.过滤可以除去水中的所有杂质
C.水是由氢元素和氧元素组成的 D.用淘米的水浇花可以节约用水
4.荧光灯内的白色粉末涂层是一种叫钨酸钙(
)的化合物,如图所示为钨元素在元素周期表中的部分信息。下列分析正确的是
A.钨原子中的质子数为74 B.一个钨原子的质量为![]()
C.
中非金属元素有两种 D.
中钨元素的化合价为0
5.《天工开物》中记载了用黏土烧制砖的过程,如图所示为该过程中某反应的示意图(其中“
”“
”和“
”分别代表不同元素的原子)。则微粒X中
![]()
A.只含有
B.一定含有
和![]()
C.一定含有
和
D.一定含有
、
和![]()
6.
和
时
的溶解度分别为
和
,下图所示为对
进行的溶解实验。下列分析错误的是
A.①中溶液为
的饱和溶液
B.②中溶液的质量为![]()
C.溶液中溶质的质量:①<②=③
D.溶液中溶质的质量分数:①<②=③
7.向盛有
铜锌混合物的烧杯中加入稀硫酸,该过程中剩余固体与加入稀硫酸的质量关系如图所示。下列说法错误的是
A.M点时,溶液中的溶质只有![]()
B.N点时,生成气体的总质量达到最大
C.
过程中,溶液的
逐渐增大
D.该铜锌混合物中锌的质量为![]()
8.党的二十大报告中提出“持续深入打好蓝天、碧水、净土保卫战”。下列做法不符合这一要求的是
A.坚持绿色出行,践行低碳生活
B.秸秆粉碎还田,增加农田肥料
C.垃圾分类回收,减少资源浪费
D.废弃电池深埋,防止土壤污染
9.河北历史悠久,文化源远流长。下列工艺中一定包含化学变化的是
A.剪窗花 B.酿白酒 C.刻石雕 D.晒海盐
10.在塑料袋中滴入几滴酒精,挤瘪后把口扎紧,放入热水中。塑料袋鼓起来,如图所示。鼓起的过程中,塑料袋中酒精分子的
A.间隔增大 B.质量增大 C.种类增多 D.数目增多
11.分类是认识和研究问题的重要方法之一、下列分类正确的是
A.萘和石蜡都是非晶体 B.银和铜都是导体
C.
和
都是盐 D.
和
都是铵态氮肥
12.下列对生产生活中做法的解释正确的是
A.用冰块给饮料降温——升华吸热
B.食品包装中充氮气——氮气化学性质活泼
C.汽车轮胎上做成凹凸不平的花纹——减小摩擦
D.稀有气体用于制作霓虹灯——通电时发出不同颜色的光
13.下列推理正确的是
A.碱溶液一定呈碱性,则呈碱性的溶液一定是碱溶液
B.石墨和金刚石组成元素相同,则二者性质完全相同
C.声能传递信息,超声波是声,则超声波也能传递信息
D.简单机械可以省力,定滑轮是简单机械,则定滑轮也可以省力
14.对如图所示实验的分析错误的是

A.甲:铅合金先变成液态,说明铅合金比铅的熔点更低
B.乙:液体从敞口容器侧壁的孔中喷出,说明液体对侧面有压强
C.丙:澄清石灰水变浑浊,带火星小木条复燃,说明气体中含有二氧化碳和氧气
D.丁:改变磁场方向,电流表指针反向偏转,说明感应电流的方向仅由磁场方向决定
二、非选择题
15.小明按如图所示进行趣味实验,将U形管开口端放入烧杯内,观察到溶液进入U形管并流入另一端。
(1)烧杯内的溶液呈_____色。
(2)二氧化碳与氢氧化钠溶液反应的化学方程式为_____。
(3)U型管开口端放入烧杯后,管内气体压强_____(选填“增大”“不变”或“减小”),溶液在管内上升并流入另一端。
16.厨房中蕴含着丰富的化学知识。周末,小明为家人制作了一道味道鲜美的菜肴——西红柿炒鸡蛋。
(1)所用食材西红柿、鸡蛋和植物油中,富含蛋白质的是_____;所用调味品加碘食盐中的“碘”可预防_____(选填序号)。
①甲状腺肿大②贫血③骨质疏松
(2)炒制过程中,若锅内油温过高着火,可采用的一种灭火方法是_____。
(3)餐后用洗洁精清洗铁锅,利用了洗洁精的_____作用;铁锅洗净后擦干,目的是_____。
17.根据图所示实验回答问题。
(1)甲是稀释浓硫酸的实验。试剂X是_____;为使溶解时热量及时散失,防止液滴飞溅,应沿烧杯内壁慢慢倒入并_____。
(2)乙是铁丝燃烧的改进实验。①将加热至红热的铁丝伸入盛有过氧化氢溶液的集气瓶中(如左图),铁丝不燃烧。②向集气瓶中加入少量二氧化锰,过氧化氢溶液中产生大量气泡,该反应中二氧化锰起_____作用;将铁丝再次加热至红热伸入集气瓶中(如右图),观察到铁丝剧烈燃烧、_____、放出大量热、有黑色固体生成。对比①②,说明影响铁丝燃烧剧烈程度的因素是_____。
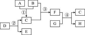
18.某小组同学对炼铁高炉中发生的主要反应进行了知识网络建构,各物质之间的转化关系如图所示(反应条件已略去)。A~H是初中化学常见物质,其中B、D、G为高炉炼铁原料的主要成分,且G为红棕色氧化物。
请回答下列问题:
(1)G的化学式为_____。
(2)反应②的基本反应类型为_____。
(3)反应③的化学方程式为_____。
(4)反应①在高炉炼铁中的作用是_____(写一条即可)。
19.登山运动员登山时常用氢化钙作为供氢剂,用来提供能源。某兴趣小组同学对放置了一段时间的氢化钙取样进行探究。
【查阅资料】氢化钙(
)是一种固态储氢物质,它遇水剧烈反应释放出氢气,反应的化学方程式为
。
【提出问题】该氢化钙样品与水反应是否还能生成氢气?
【实验1】小组同学用适量氢化钙样品和水进行实验。
(1)如图所示是小组同学设计的两个实验装置,为便于控制反应速率,最好选用装置_____(选填“A”或“B”)。
(2)连接好装置后,加入药品前,应进行的操作是_____。
(3)向装置中加入药品并开始实验。锥形瓶中快速产生气泡;将导管插入肥皂水中,吹出肥皂泡,用燃着的木条靠近上升到空中的肥皂泡,肥皂泡被点燃。“肥皂泡被点燃”是因为氢气具有_____性。
【得出结论】该氢化钙样品与水反应还能生成氢气。
【提出新问题】实验1中不再产生气泡后,锥形瓶中有较多白色浑浊物。白色浑浊物是什么?
【分析讨论】氢化钙与水反应生成了氢氧化钙,氢氧化钙微溶于水,白色浑浊物中一定含有氢氧化钙:氢化钙在保存过程中可能变质生成碳酸钙,故白色浑浊物中还可能含有碳酸钙。
【实验2】按图1所示,将白色浑浊物装入锥形瓶中,用注射器注入适量稀盐酸,并利用二氧化碳传感器测得锥形瓶中二氧化碳的体积分数随时间的变化如图2所示。
(4)实验2中锥形瓶内发生反应的化学方程式为_____(写一个即可)。
(5)图2中说明有二氧化碳生成的依据是_____。
【得出结论】白色浑浊物中含有氢氧化钙和碳酸钙,同时说明氢化钙样品有少量变质。
【反思拓展】
(6)保存氢化钙的一条建议是_____。
(7)氢能有很多优点,如_____(写一条即可)。我们共同努力,助力我国早日进入“氢能经济”时代。
20.某兴趣小组用如图所示装置制取
,加热混合物至不再产生气体后,称量试管中剩余固体的质量为
。请计算:
(1)生成
的质量为_____g。
(2)剩余固体中
的质量分数。
参考答案
1.D
2.A
3.B
4.A
5.B
6.D
7.C
8.D
9.B
10.A
11.B
12.D
13.C
14.D
15.(1)红
(2)![]()
(3)减小
16.(1) 鸡蛋 ①
(2)锅盖盖灭
(3) 乳化 防止铁生锈
17.(1) 浓硫酸 用玻璃棒搅拌
(2) 催化 火星四射 氧气的浓度
18.(1)Fe2O3
(2)分解反应
(3)![]()
(4)提供热量##提供还原剂
19.(1)A
(2)检验装置气密性
(3)可燃
(4)![]()
(5)随反应时间增加,二氧化碳体积分数增加
(6)应该密封保存
(7)清洁无污染
20.(1)9.6
(2)解:设剩余固体中氯化钾的质量为![]()

剩余固体中
的质量分数= ![]()
答:剩余固体中氯化钾的质量分数为74.5%。
