2023年全国甲卷高考理科综合试题及答案
可能用到的相对原子质量:F 19 Al 27
一、选择题:本题共21小题,每小题6分,共126分。在每小题给出的四个选项中,只有一项是符合题目要求的。(化学部分为第7~13题)
1.物质输入和输出细胞都需要经过细胞膜。下列有关人体内物质跨膜运输的叙述,正确的是( )
A.乙醇是有机物,不能通过自由扩散方式跨膜进入细胞
B.血浆中的K+进入红细胞时需要载体蛋白并消耗ATP
C.抗体在浆细胞内合成时消耗能量,其分泌过程不耗能
D.葡萄糖可通过主动运输但不能通过协助扩散进入细胞
2.植物激素是一类由植物体产生的,对植物的生长发育有显著影响的微量有机物,下列关于植物激素的叙述,错误的是( )
A.在植物幼嫩的芽中色氨酸可以转变成生长素
B.生长素可以从产生部位运输到其他部位发挥作用
C.生长素和乙烯可通过相互作用共同调节植物的生长发育
D.植物体内生长素可以作为催化剂直接参与细胞代谢过程
3.中枢神经系统对维持人体内环境的稳态具有重要作用。下列关于人体中枢的叙述,错误的是( )
A.大脑皮层是调节机体活动的最高级中枢
B.中枢神经系统的脑和脊髓中含有大量的神经元
C.位于脊髓的低级中枢通常受脑中相应的高级中枢调控
D.人体脊髓完整而脑部受到损伤时,不能完成膝跳反射
4.探究植物细胞的吸水和失水实验是高中学生常做的实验。某同学用紫色洋葱鳞片叶外表皮为材料进行实验,探究蔗糖溶液,清水处理外表皮后,外表皮细胞原生质体和液泡的体积及细胞液浓度的变化。图中所提到的原生质体是指植物细胞不包括细胞壁的部分。下列示意图中能够正确表示实验结果的是( )
5.在生态系统中,生产者所固定的能量可以沿着食物链传递,食物链中的每个环节即为一个营养级。下列关于营养级的叙述,错误的是( )
A.同种动物在不同食物链中可能属于不同营养级
B.作为生产者的绿色植物所固定的能量来源于太阳
C.作为次级消费者的肉食性动物属于食物链的第二营养级
D.能量从食物链第一营养级向第二营养级只能单向流动
6.水稻的某病害是由某种真菌(有多个不同菌株)感染引起的。水稻中与该病害抗性有关的基因有3个(A1、A2、a);基因A1控制全抗性状(抗所有菌株),基因A2控制抗性性状(抗部分菌株),基因a控制易感性状(不抗任何菌株),且A1对A2为显性,A1对a为显性、A2对a为显性。现将不同表现型的水稻植株进行杂交,子代可能会出现不同的表现型及其分离比。下列叙述错误的是( )
A.全抗植株与抗性植株杂交,子代可能出现全抗:抗性=3:1
B.抗性植株与易感植株杂交,子代可能出现抗性:易感=1:1
C.全抗植株与易感植株杂交,子代可能出现全抗:抗性=1:1
D.全抗植株与抗性植株杂交,子代可能出现全抗:抗性:易感=2:1:1
7.化学与生活密切相关,下列说法正确的是( )
A.苯甲酸钠可作为食品防腐剂是由于其具有酸性
B.豆浆能产生丁达尔效应是由于胶体粒子对光线的散射
C.SO2可用于丝织品漂白是由于其能氧化丝织品中有色成分
D.维生素C可用作水果罐头的抗氧化剂是由于其难以被氧化
8.藿香蓟具有清热解毒功效,其有效成分结构如下。下列有关该物质的说法错误的是( )

A.可以发生水解反应 B.所有碳原子处于同一平面
C.含有2种含氧官能团 D.能与溴水发生加成反应
9.实验室将粗盐提纯并配制
的
溶液。下列仪器中,本实验必须用到的有( )
①天平 ②温度计 ③坩埚 ④分液漏斗 ⑤容量瓶 ⑥烧杯 ⑦滴定管 ⑧酒精灯
A.①②④⑥ B.①④⑤⑥ C.②③⑦⑧ D.①⑤⑥⑧
10.
为阿伏加德罗常数的值。下列叙述正确的是( )
A.
异丁烷分子中共价键的数目为![]()
B.标准状况下,
中电子的数目为![]()
C.
的
溶液中
的数目为![]()
D.
的
溶液中
的数目为![]()
11.
为短周期主族元素,原子序数依次增大,最外层电子数之和为19。
的最外层电子数与
其
层电子数相等,
是形成酸雨的物质之一。下列说法正确的是( )
A.原子半径:
B.简单氢化物的沸点:![]()
C.
与
可形成离子化合物 D.
的最高价含?酸是弱酸
12.用可再生能源电还原
时,采用高浓度的
抑制酸性电解液中的析氢反应来提高多碳产物(乙烯、乙醇等)的生成率,装置如下图所示。下列说法正确的是( )

A.析氢反应发生在
电极上
B.
从
电极迁移到
电极
C.阴极发生的反应有:![]()
D.每转移
电子,阳极生成
气体(标准状况)
13.下图为
和
在水中达沉淀溶解平衡时的
关系图(
;
可认为
离子沉淀完全)。下列叙述正确的是( )

A.由
点可求得![]()
B.
时
的溶解度为![]()
C.浓度均为
的
和
可通过分步沉淀进行分离
D.
混合溶液中
时二者不会同时沉淀
14.一同学将铅球水平推出,不计空气阻力和转动的影响,铅球在平抛运动过程中
A.机械能一直增加
B.加速度保持不变
C.速度大小保持不变
D.被推出后瞬间动能最大
15.在下列两个核反应方程中X和Y代表两种不同的原子核,以Z 和A分别表示X的电荷数和质量数,则

A.Z=1,A=1
B.Z=1,A=2
C.Z=2,A=3
D.Z=2,A=4
16.一小车沿直线运动,从t=0 开始由静止匀加速至t=t?,时刻,此后做匀减速运动,到t=t?时刻 速度降为零。在下列小车位移x与时间t 的关系曲线中,可能正确的是
A.
B.
C.
D.
17.一质点做匀速圆周运动,若其所受合力的大小与轨道半径的n 次方成正比,运动周期与轨道半径成反比,则n 等于
A.1
B.2
C.3
D.4
18.在一些电子显示设备中,让阴极发射的电子束通过适当的非匀强电场,可以使发散的电子束聚 集。下列4幅图中带箭头的实线表示电场线,如果用虚线表示电子可能的运动轨迹,其中正确的是
A.
B.
C.
D.
19.用水平拉力使质量分别为m甲、m乙 的甲、乙两物体在水平桌面上由静止开始 沿直线运动,两物体与桌面间的动摩擦因数分别为μ甲和 μ乙。甲、乙两物体 运动后,所受拉力F 与其加速度a 的关系图线如图所示。由图可知
A.m甲<m乙
B.m甲>m乙
C. μ甲<μ乙
D. μ甲>μ乙
20.光滑刚性绝缘圆筒内存在着平行于轴的匀强磁场,筒上P 点开有一个小孔,过P 的横截面是以O 为圆心的圆,如图所示。 一带电粒子从 P点沿PO射入,然后与简壁发生碰撞。假设粒子在每次碰撞前、后瞬间,速度沿圆上碰撞点的切线方向的分量大小不变,沿法线方向的分量大小不变、方向相反;电荷量不变。不计重力。下列说法正确的是
A.粒子的运动轨迹可能通过圆心0
B.最少经2次碰撞,粒子就可能从小孔射出
C.射入小孔时粒子的速度越大,在圆内运动时间越短
D.每次碰撞后瞬间,粒子速度方向一定平行于碰撞点与圆心 O 的连线
21.一有机玻璃管竖直放在水平地面上,管上有漆包线绕成的线圈,线圈的两端与电流传感器相 连,线圈在玻璃管上部的5匝均匀分布,下部的3匝也均匀分布,下部相邻两匝间的距离大于上 部相邻两匝间的距离。如图(a)所示。现让一个很小的强磁体在玻璃管内沿轴线从上端口由 静止下落,电流传感器测得线圈中电流I随时间t的变化如图(b)所示。则

A.小磁体在玻璃管内下降速度越来越快
B.下落过程中,小磁体的N 板、S授上下顺倒了8次
C.下落过程中,小磁体受到的电磁阻力始终保持不变
D.与上部相比,小磁体通过线圈下部的过程中,磁通量变化率的最大值更大
二、非选择题,共 174分。第22 -32 题为必考题每个试题考生都必须作答。第33 -38 题为选考题,考生根据要求作答。
(一)必考题:共 129 分。
22.某同学用伏安法测绘一额定电压为6 V、额定功率为3W 的小灯泡的伏安特性曲线,实验所用 电压表内阻约为6kΩ 电流表内阻约为1.5Ω,实验中有图(a)和(b)两个电路图供选择。

图 (a) 图 (b) 图(c)
(1)实验中得到的电流I和电压U 的关系曲线如图(c)所示,该同学选择的电路图是图( )(填"a"或"b。
(2)若选择另一个电路图进行实验,在答题卡所给图上用实线画出实验中应得到的关系曲线的 示意图。
23.某同学利用如图(a) 所示的实验装置探究物体做直线运动时平均速度与时间的关系。让小车左端和纸带相连。右端用细绳跨过定滑轮和钩码相连。钩码下落,带动小车运动,打点计时器打出纸带。某次实验得到的纸带和相关数据如图(b) 所示。


(1)已知打出图(b) 中相邻两个计数点的时间间隔均为0.1s 以 打 出A 点时小车位置为初始位置,将打出B、C、D、E、F各点时小车的位移Ax 填到表中,小车发生应位移所用时间和平均速度分别为At和V,表中Ax AD= cm,`V AD = cm/s。

(2)根据表中数据得到小车平均速度`V,随时间At的变化关系,如图(c) 所示。
题卡上的图中补全实验点。
(3)从实验结果可知,小车运动的`V- At图线可视为一条直线,此直线用方程-b 表示,其中k= cm/s2,b= cm/s。(结果均保留3位有效数字)
(4)根据(3)中的直线方程可以判定小车做匀加速直线运动,得到打出A 点 时小车速度大小VA = ,小车的加速度大小a= 。(结果用字母k、b表示)
24.如图,光滑水平桌面上有一轻质弹黄,其一端固定在墙上。用质量为m 的小球压弹簧的另一端,使弹黄的弹性势能为E 。 释放后,小球在弹簧作用下从静止开始在桌面上运动,与弹黄分离后,从桌面水平飞出。小球与水平地 面碰撞后瞬间,其平行于地面的速度分量与碰撞前瞬间相等;垂直于地面的速度分量大小变为 碰撞前瞬间的
。 小球与地而碰撞后,弹起的最大高度为h。重力加速度大小为g, 忽略空气阻力。求
(1)小球离开桌面时的速度大小;
(2)小球第一次落地点距桌面上其飞出点的水平距离。
25.如图,水平桌面上固定一光滑U型金属导轨,其平行部分的间距为l,导轨的最右端与桌于右边缘对齐,导轨的电阻忽略不计。导轨所在区城有方向竖直向上的匀强磁场,磁感应强 度大小为B。一质量为m、电阻为R、长度也为l的金属棒P 静止在导轨上。导轨上质量为3m的绝缘棒Q位于P 的左侧,以大小为V0的速度向P 运动并与P 发生弹性碰撞,碰撞时间很短。 碰撞一次后,P和Q先后从导轨的最右端滑出导轨,并落在地面上同一地点。P 在导轨上运动时,两端与导轨接触良好,P 与Q 始终平行。不计空气阻力。求

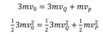
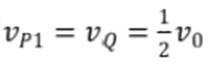
(1)全属棒P 滑出导轨时的速度大小;
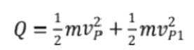
(2)全属体P 在导轨上运动过程中产生的热量;
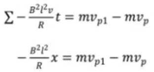
(3)与P 碰撞后,绝续棒Q在导轨上运动的时间。
26.(14分)
是一种压电材料。以
为原料,采用下列路线可制备粉状
。

回答下列问题:
(1)“焙烧”步骤中碳粉的主要作用是________。
(2)“焙烧”后固体产物有
、易溶于水的
和微溶于水的
。“浸取”时主要反应的离子方程式为________。
(3)“酸化”步骤应选用的酸是________(填标号)。
a.稀硫酸 b.浓硫酸 c.盐酸 d.磷酸
(4)如果焙烧后的产物直接用酸浸取,是否可行?其原因是________。
(5)“沉淀”步骤中生成
的化学方程式为________。
(6)“热分解”生成粉状钛酸钡,产生的
________。
27.(14分)
钴配合物
溶于热水,在冷水中微溶,可通过如下反应制备:
![]()
具体步骤如下:
Ⅰ.称取
,用
水溶解。
Ⅱ.分批加入
后,将溶液温度降至
以下,加入
活性炭、
浓氨水,搅拌下逐滴加入
的双氧水。
Ⅲ.加热至
反应
。冷却,过滤。
Ⅳ.将滤得的固体转入含有少量盐酸的
沸水中,趁热过滤。
Ⅴ.滤液转入烧杯,加入
浓盐酸,冷却、过滤、干燥,得到橙黄色晶体。
回答下列问题:
(1)步骤Ⅰ中使用的部分仪器如下。

仪器a的名称是________。加快NH4Cl溶解的操作有________。
(2)步骤Ⅱ中,将温度降至10℃以下以避免________、________;可选用________降低溶液温度。
(3)指出下列过滤操作中不规范之处:________。

(4)步骤Ⅵ中,趁热过滤,除掉的不溶物主要为________。
(5)步骤Ⅴ中加入浓盐酸的目的是________。
28.(15分)
甲烷选择性氧化制备甲醇是一种原子利用率高的方法。回答下列问题:
(1)已知下列反应的热化学方程式:
①
![]()
②
![]()
反应③
的
________
,平衡常数
________(用
表示)。
(2)电喷雾电离等方法得到的
(
等)与
反应可得
。
与
反应能高选择性地生成甲醇。分别在
和
下(其他反应条件相同)进行反应
,结果如下图所示。图中
的曲线是________(填“a”或“b”。
、
时
的转化率为________(列出算式)。

(3)
分别与
反应,体系的能量随反应进程的变化如下图所示(两者历程相似,图中以
示例)。

(ⅰ)步骤Ⅰ和Ⅱ中涉及氢原子成键变化的是________(填“Ⅰ”或“Ⅱ”)。
(ⅱ)直接参与化学键变化的元素被替换为更重的同位素时,反应速率会变慢,则
与
反应的能量变化应为图中曲线________(填“c”或“d”)。
(ⅲ)
与
反应,氘代甲醇的产量
________
(填“>”“>”或“<”)。若
与
反应,生成的氘代甲醇有________种。
29.(10分)某同学将从菠菜叶中分离到的叶绿体悬浮于缓冲液中,给该叶绿体悬浮液照光后糖产生。回答下列问题。
(1)叶片是分离制备叶绿体的常用材料,若要将叶肉细胞中的叶绿体与线粒体等其他细胞器分离,可以采用的方法是 (答出1种即可)。叶绿体中光合色素分布 上,其中类胡萝卜素主要吸收 (填“蓝紫光”“红光”或"绿光")。
(2)将叶绿体的内膜和外膜破坏后,加入缓冲液形成悬浮液,发现黑暗条件下悬浮液中不能产生糖,原因是 。
(3)叶片进行光合作用时,叶绿体中会产生淀粉。请设计实验证明叶绿体中有淀粉存在,简要写出实验思路和预期结果。
30.(9分)某研究小组以某种哺乳动物(动物甲)为对象研究水盐平衡调节,发现动物达到一定程度时,尿量明显减少并出现主动饮水行为;而大量饮用清水后,尿量增加。回答下列问题。
(1)哺乳动物水盐平衡的调节中枢位于 。
(2)动物甲大量失水后,其单位体积细胞外液中溶质微粒的数目会 ,信息被机体内的某种感受器感受后,动物甲便会产生一种感觉即 ,进而主动饮水。
(3)请从水盐平衡调节的角度分析,动物甲大量饮水后尿量增加的原因是
。
31.(10分)某旅游城市加强生态保护和环境治理后,城市环境发生了很大变化,水体鱼明显增多,甚至曾经消失的一些水鸟(如水鸟甲)又重新出现。回答下列问题。
(1)调查水鸟甲的种群密度通常使用标志重捕法,原因是
。
(2)从生态系统组成成分的角度来看,水体中的鱼,水鸟属于 。
(3)若要了解该城市某个季节水鸟甲种群的环境容纳量,请围绕除食物外的调查内容有(答出3点即可)。
32.(10分)乙烯是植物果实成熟所需的激素,阻断乙烯的合成可使果实不能正常成熟,这一特点可以用于解决果实不耐储存的问题,以达到增加经济效益的目的。现有某种植物的3个纯合子(甲、乙、丙),其中甲和乙表现为果实不能正常成熟(不成熟),丙表现为果实能正常成熟(成熟),用这3个纯合子进行杂交实验,F1自交得F2,结果见下表。
回答下列问题。
(1)利用物理、化学等因素处理生物,可以使生物发生基因突变,从而获得新的品种。通常,基因突变是指 。
(2)从实验①和②的结果可知,甲和乙的基因型不同,判断的依据是 。
(3)已知丙的基因型为aaBB,且B基因控制合成的酶能够催化乙烯的合成,则甲、乙的基因型分别是;
。实验③中,F2成熟个体的基因型是 ,F2不成熟个体中纯合子所占的比例为 。
33.(1)(5分)在一汽缸中用活塞封闭着一定量的理想气体,发生下列缓慢变化过程,气体一定与外界有热量交换的过程是 。(填入正确答案标号。选对1个得2分,选对2个得4
分,选对3个得5分。每选错1个扣3分,最低得分为0分)
A.气体的体积不变,温度升高
B.气体的体积减小,温度降低
C.气体的体积减小,温度升高
D.气体的体积增大,温度不变
E.气体的体积增大,温度降低
(2)(10分)一高压舱内气体的压强为1.2个大气压,温度为17℃,密度为1.46 kg/m3。
(i) 升高气体温度并释放出舱内部分气体以保持压强不变,求气体温度升至27 ℃时内气体的密度;
(ii) 保持温度27℃不变,再释放出舱内部分气体使舱内压强降至1.0个大气压,求舱内气体的密度。
34.(1)(5分)等腰三角形△abc 为一棱镜的横截面,ab=ac; 一平行于bc边的细光束从ab 边射入棱镜,在bc边反射后从ac边射出,出射光分成了不同颜色的两束,甲光的出射点在乙光的下 方,如图所示。不考虑多次反射。下列说法正确的是 。(填入正确答案标号。选对1个得2分,选对2个得4分,选对3个得5分。每选错1个扣3分,最低得分为0分)

35.[化学——选修3:物质结构与性质](15分)
将酞菁—钴钛—三氯化铝复合嵌接在碳纳米管上,制得一种高效催化还原二氧化碳的催化剂。回答下列问题:
(1)图1所示的几种碳单质,它们互为________,其中属于原子晶体的是________,
间的作用力是________。

(2)酞菁和钴酞菁的分子结构如图2所示。

酞菁分子中所有原子共平面,其中
轨道能提供一对电子的
原子是________(填图2酞菁中
原子的标号)。钴酞菁分子中,钴离子的化合价为________,氮原子提供孤对电子与钴离子形成________键。
(3)气态
通常以二聚体
的形式存在,其空间结构如图3a所示,二聚体中
的轨道杂化类型为________。
的熔点为
,远高于
的
,由此可以判断铝氟之间的化学键为________键。
结构属立方晶系,晶胞如图3b所示,
的配位数为________。若晶胞参数为
,晶体密度
________
(列出计算式,阿伏加德罗常数的值为
)。

36.[化学——选修5:有机化学基础](15分)
阿佐塞米(化合物L)是一种可用于治疗心脏、肝脏和肾脏病引起的水肿的药物。L的一种合成路线如下(部分试剂和条件略去)。

已知:![]()
回答下列问题:
(1)A的化学名称是________。
(2)由A生成B的化学方程式为________。
(3)反应条件D应选择________(填标号)。
a.
b.
c.
d.![]()
(4)F中含等官能团的名称是________。
(5)H生成I的反应类型为________。
(6)化合物J的结构简式为________。
(7)具有相同官能团的B的芳香同分异构体还有________种(不考虑立体异构,填标号)。
a.10 b.12 c.14 d.16
其中,核磁共振氢谱显示4组峰,且峰面积比为
的同分异构体结构简式为________。
37.[生物-选修1:生物技术实践](15分)
为了研究蛋白质的结构与功能,常需要从生物材料中分离纯化蛋白质。某同学用凝胶色谱法从某种生物材
料中分离纯化得到了甲、乙、丙3种蛋白质,并对纯化得到的3种蛋白质进行SDS-聚丙烯酰胺凝胶电泳,结果如图所示(“+”“-”分别代表电泳槽的阳极和阴极)。已知甲的相对分子质量是乙的2倍,且甲、乙均由一条肽链组成。回答下列问题。
(1)图中甲、乙、丙在进行SDS-聚丙烯酰胺凝胶电泳时,迁移的方向是
(填“从上向下”或“从下向上”)。
(2)图中丙在凝胶电泳时出现2个条带,其原因是
。
(3)凝胶色谱法可以根据蛋白质 的差异来分离蛋白质。据图判断,甲、乙、丙3种蛋白质中最先从凝胶色谱柱中洗脱出来的蛋白质是 ,最后从凝胶色谱柱中洗脱出来的蛋白质是 。
(4)假设甲、乙、丙为3种酶,为了减少保存过程中酶活性的损失,应在 (答出1点即可)条件下保存。
38.[生物-选修3:现代生物科技专题](15分)
接种疫苗是预防传染病的一项重要措施,乙肝疫苗的使用可有效阻止乙肝病毒的传播,降低乙型肝炎发病率。乙肝病毒是一种DNA病毒。重组乙肝疫苗的主要成分是利用基因工程技术获得的乙肝病毒表面抗原(一种病毒蛋白)。回答下列问题。
(1)接种上述重组乙肝疫苗不会在人体中产生乙肝病毒,原因是 。
(2)制备重组乙肝疫苗时,需要利用重组表达载体将乙肝病毒表面抗原基因(目的基因)导入酵母细胞中表达。重组表达载体中通常含有抗生素抗性基因,抗生素抗性基因的作用是 。能识别载体中的启动子并驱动目的基因转录的酶是 。
(3)目的基因导入酵母细胞后,若要检测目的基因是否插入染色体中,需要从酵母细胞中提取
进行DNA分子杂交,DNA分子杂交时应使用的探针是 。
(4)若要通过实验检测目的基因在酵母细胞中是否表达出目的蛋白,请简要写出实验思路。
参考答案
单选题
1、B
2、D
3、D
4、C
5、C
6、A
7、B
8、B
9、D
10、A
11、C
12、C
13、C
14、B
15、D
16、D
17、C
18、A
【多选题】
19、B,C
20、B,D
21、A,D
【填空题】
22、正确答案
(1)a (2) 如下图实线所示

23、正确答案
(1) 24.00 ; 80.0
(2)
(3) 70 ; 59.0
(4) b ; 2k
24、正确答案
(1) 小球与弹簧分离时,弹簧弹性势能全部转化为小球的动能,
,
(2)
25、正确答案
(1)Q 与 P 弹性碰撞:
得:
,
,
之后,金属棒P 做加速度减小的减速运动至导轨最右端,而后平抛;绝缘棒Q 匀速至最右端后平抛;由于P 和Q先后落在地面上同一地点,所以棒P 滑出导轨时的速度与棒Q滑出导轨时的速度大小相同
(2)由能量守恒, P 棒从
产生热量:
代入数据得:
(3)对金属棒P 由动量定理得:
其中
,
,
,联立(6) - (11)式得
得:
与P 碰撞后,绝缘棒Q 在导轨上匀速运动的时间为:
代入数据得:
26、正确答案
(1)做还原剂,将
还原 (2)
(3)C (4)不可行 ;
也会与盐酸反应生成可溶于水的
,导致
溶液中混有
杂质无法除去、最终所得产品的纯度降低
(5)![]()
(6)1:1
27、正确答案
(1)锥形瓶; 升温,搅拌等 (2)浓氨水分解和挥发;双氧水分解 ;冰水浴 (3)玻璃棒没有紧靠三层滤纸处,漏斗末端较长处(尖嘴部分)没有紧靠在“盛滤液”的烧杯内壁 (4)活性炭 (5)利用同离子效应,促进钴配合物
尽可能完全析出,提高产率
28、正确答案
(1)-307;
或
(2)b ;
(3) (i) I (ii)c (iii)< ;2
29、正确答案
(1)差速离心法 类囊体的薄膜上 蓝紫光
(2)悬液中具有类囊体膜以及叶绿体基质暗反应相关的酶,但黑暗条件下,光反应无法进行,暗反应没有光反应提供的原料ATP和NADPH,所以无法形成糖类。
(3)实验思路:思路:将生长状况良好且相同的植物叶片分为甲乙两组,甲组放置在有光条件下,乙组放置在其他环境相同的黑暗状态下,一段时间后,用差速离心法提取出甲乙两组的叶绿体,制作成匀浆,分别加入碘液后观察。结果:甲组匀浆出现蓝色,有淀粉产生;乙组无蓝色出现,无淀粉产生。
30、正确答案
(1)下丘脑 (2)增多 渴觉 (3)动物甲大量饮水后,细胞外液渗透压降低,下丘脑产生垂体释放的抗利尿激素减少,肾小管和集合管对水分的重吸收减少尿量增加。
31、正确答案
(1) 水鸟活动能力强、活动范围大 (2)消费者 (3)环境条件、天敌和竞争者
32、正确答案
(1)DNA分子中发生碱基对的增添、缺失和替换,引起的基因结构的改变。
(2)两组杂交的F1性状不同,F2表现型及分离比也不同
(3)AABB aabb;aaBB aaBb;3/13
简答题(综合题) 本大题共45分。简答应写出文字说明、证明过程或演算步骤。
33、
第(1)小题正确答案及相关解析
(1)ABD
(2)(i) 初状态:![]()
末状态:![]()
由盖吕萨克定律,得
气体的密度
(ii) 温度保持300K 不变,以现在高压仓中的气体作为研究对象:

由玻意耳定律得,![]()
舱内气体的密度
第(2)小题正确答案及相关解析
(1)ACE
(2)(i) 根据
, 所以P 波刚好传到10m 处, Q 波刚好 传到原点处,根据“上坡下振,下坡上振”法,可画出此时的波形图如图所示。

(ii)P 、Q 两列波的振动频率相同、振动方向相反,两列波叠加时,加强条件是:点到两
波源的距离差
,解得振幅最大的平衡位置有x=5m 和x=7m,
减弱条件为
, 解得振幅最小的平衡位置有x=1m、x=5m、x=9m
34、
第(1)小题正确答案及相关解析
(1)同素异形体;金刚石; 范德华力
(2)③ ; +2 ; 配位键
(3)
; 离子 ; 2 ;
第(2)小题正确答案及相关解析
(1)邻硝基甲苯(2-硝基甲苯)
(2)
(3)b
(4)羧基
(5)消去反应
(6)
(7)d 
35、
第(1)小题正确答案及相关解析
(1)从上向下 (2)丙有两条肽链 (3)相对分子质量 ;丙;乙 (4)低温
第(2)小题正确答案及相关解析
(1)重组乙肝疫苗成分为病毒蛋白,不含有病毒DNA,因此无法在宿主体内增殖
(2)筛选; RNA聚合酶
(3)核染色体DNA; 被标记的乙肝病毒表面抗原基因的单链DNA片段
(4)①通过使用基因探针,利用分子杂交技术,检测目的基因是否转插入酵母细胞染色体
②通过使用基因探针,利用核酸分子杂交技术,检测目的基因是否转录形成mRNA
③通过使用相应抗体,利用抗原抗体杂交技术,检测mRNA是否翻译形成蛋白质
