一、选择题
1. 化学与生活密切相关。下列叙述正确的是
A. 漂白粉与盐酸可混合使用以提高消毒效果 B. 温室气体是形成酸雨的主要物质
C. 棉花、麻和蚕丝均为碳水化合物 D. 干冰可用在舞台上制造“云雾”
【答案】D
【解析】
【详解】A.漂白粉的有效成分次氯酸钙与盐酸混合,会发生氧化还原反应生成有毒的氯气,两者不能混合使用,A错误;
B.温室气体主要是指二氧化碳,二氧化碳不是形成酸雨的主要物质,形成酸雨的主要物质是硫氧化物、氮氧化物等,B错误;
C.棉花、麻来源于植物,主要成分均是纤维素,为碳水化合物,但蚕丝来源于动物,主要成分是蛋白质,蛋白质不是碳水化合物,C错误;
D.干冰是固态的二氧化碳,干冰升华时,吸收大量的热,使周围温度降低,大量的水蒸气凝结成了小液滴,形成 “云雾”效果,D正确;
答案选D。
2. 辅酶
具有预防动脉硬化的功效,其结构简式如下。下列有关辅酶
的说法正确的是

A. 分子式为
B. 分子中含有14个*
C. 分子中的四个氧原子不在同一平面 D. 可发生加成反应,不能发生取代反应
【答案】B
【解析】
【详解】A.由该物质的结构简式可知,其分子式为C59H90O4,A错误;
B.由该物质的结构简式可知,键线式端点代表*,10个重复基团的最后一个连接H原子的碳是*,故分子中含有1+1+1+10+1=14个*,B正确;
C.双键碳以及与其相连的四个原子共面,羰基碳采取sp2杂化,羰基碳原子和与其相连的氧原子及另外两个原子共面,因此分子中的四个氧原子在同一平面上,C错误;
D.分子中有碳碳双键,能发生加成反应,分子中含有*,能发生取代反应,D错误;
答案选B。
3. 能正确表示下列反应的离子方程式为
A. 硫化钠溶液和*混合:S2-+2H+=H2S↑
B. 明矾溶液与过量氨水湿合:Al3++4NH3+2H2O=AlO
+4NH
C. 硅酸钠溶液中通入二氧化碳:SiO
+CO2+H2O=HSiO
+HCO
D. 将等物质的量浓度的Ba(OH)2和NH4HSO4溶液以体积比1∶2混合:Ba2++2OH-+2H++SO
=BaSO4↓+2H2O
【答案】D
【解析】
【详解】A.*具有强氧化性,可以将S2-氧化为S单质,自身根据其浓度大小还原为NO或NO2,反应的离子方程式为4H++2NO
+S2-=S↓+2NO2↑+2H2O(浓)或8H++2NO
+3S2-=3S↓+2NO+4H2O(稀),A错误;
B.明矾在水中可以电离出Al3+,可以与氨水中电离出的OH-发生反应生成Al(OH)3,但由于氨水的碱性较弱,生成的Al(OH)3不能继续与弱碱发生反应,故反应的离子方程式为Al3++3NH3·H2O=Al(OH)3↓+3NH
,B错误;
C.硅酸的酸性小于碳酸,向硅酸钠溶液中通入二氧化碳时,生成硅酸沉淀,二氧化碳则根据其通入的量的多少反应为碳酸根或碳酸氢根,反应的离子方程式为SiO
+H2O+CO2=H2SiO3↓+CO
(CO2少量)或SiO
+2H2O+2CO2=H2SiO3↓+2HCO
(CO2过量),C错误;
D.将等物质的量浓度的Ba(OH)2与NH4HSO4溶液以体积比1:2混合,Ba(OH)2电离出的OH-与NH4HSO4电离出的H+反应生成水,Ba(OH)2电离出的Ba2+与NH4HSO4电离出的SO
反应生成BaSO4沉淀,反应的离子方程为为Ba2++2OH-+2H++SO
=BaSO4↓+2H2O,D正确;
故答案选D。
4. 一种水性电解液Zn-MnO2离子选泽双隔膜电池如图所示(KOH溶液中,Zn2+以Zn(OH)
存在)。电池放电时,下列叙述错误的是

A. Ⅱ区的K+通过隔膜向Ⅲ区迁移
B. Ⅰ区的SO
通过隔膜向Ⅱ区迁移
C. MnO2电极反应:MnO2+2e-+4H+=Mn2++2H2O
D. 电池总反应:Zn+4OH-+MnO2+4H+=Zn(OH)
+Mn2++2H2O
【答案】A
【解析】
【分析】根据图示的电池结构和题目所给信息可知,Ⅲ区Zn为电池的负极,电极反应为Zn-2e-+4OH-=Zn(OH)
,Ⅰ区MnO2为电池的正极,电极反应为MnO2+2e-+4H+=Mn2++2H2O;电池在工作过程中,由于两个离子选择隔膜没有指明的阳离子隔膜还是阴离子隔膜,故两个离子隔膜均可以通过阴、阳离子,因此可以得到Ⅰ区消耗H+,生成Mn2+,Ⅱ区的K+向Ⅰ区移动或Ⅰ区的SO
向Ⅱ区移动,Ⅲ区消耗OH-,生成Zn(OH)
,Ⅱ区的SO
向Ⅲ区移动或Ⅲ区的K+向Ⅱ区移动。据此分析答题。
【详解】A.根据分析,Ⅱ区的K+只能向Ⅰ区移动,A错误;
B.根据分析,Ⅰ区的SO
向Ⅱ区移动,B正确;
C.MnO2电极的电极反应式为MnO2+2e-+4H+=Mn2++2H2O,C正确;
D.电池的总反应为Zn+4OH-+MnO2+4H+=Zn(OH)
+Mn2++2H2O,D正确;
故答案选A。
5.
为阿伏加德罗常数的值,下列说法正确的是
A. 25℃,
下,
氢气中质子的数目为
B.
溶液中,
的数目为
C.
苯甲酸完全燃烧,生成
的数目为
D. 电解熔融
,阴极增重
,外电路中通过电子的数目为
【答案】C
【解析】
【详解】A.25℃、101kPa不是标准状况,不能用标况下的气体摩尔体积计算氢气的物质的量,故A错误;
B.Al3+在溶液中会发生水解生成Al(OH)3,因此2.0L 1.0 mol/L的AlCl3溶液中Al3+数目小于2.0NA,故B错误;
C.苯甲酸燃烧的化学方程式为
,1mol苯甲酸燃烧生成7molCO2,则0.2mol苯甲酸完全燃烧生成1.4molCO2,数目为1.4NA,故C正确;
D.电解熔融CuCl2时,阳极反应为
,阴极反应为
,阴极增加的重量为Cu的质量,6.4gCu的物质的量为0.1mol,根据阴极反应可知,外电路中通过电子的物质的量为0.2mol,数目为0.2NA,故D错误;
答案选C。
6. Q、X、Y、Z是原子序数依次增大的短周期主族元素,其最外层电子数之和为19。Q与X、Y、Z位于不同周期,X、Y相邻,Y原子最外层电子数是Q原子内层电子数的2倍。下列说法正确的是
A. 非金属性:
B. 单质的熔点:
C. 简单氢化物的佛点:
D. 最高价含氧酸的酸性:
【答案】D
【解析】
【分析】Q、X、Y、Z为原子序数依次增大的短周期主族元素,Q与X、Y、Z不在同一周期,Y原子最外层电子数为Q元原子内层电子数的2倍,则Q应为第二周期元素,X、Y、Z位于第三周期,Y的最外层电子数为4,则Y为Si元素,X、Y相邻,且X的原子序数小于Y,则X为Al元素,Q、X、Y、Z的最外层电子数之和为19,则Q、Z的最外层电子数之和为19-3-4=12,主族元素的最外层电子数最多为7,若Q的最外层电子数为7,为F元素,Z的最外层电子数为5,为P元素,若Q的最外层电子数为6,为O元素,则Z的最外层电子数为6,为S元素,若Q的最外层电子数为5,为N元素,Z的最外层电子数为7,为Cl元素;综上所述,Q为N或O或F,X为Al,Y为Si,Z为Cl或S或P,据此分析解题。
【详解】A.X为Al,Q为N或O或F,同一周期从左往右元素非金属性依次增强,同一主族从上往下依次减弱,故非金属性:Q>X,A错误;
B.由分析可知,X为Al属于金属晶体,Y为Si属于原子晶体或共价晶体,故单质熔点Si>Al,即Y>X,B
错误;
C.含有氢键的物质沸点升高,由分析可知Q为N或O或F,其简单氢化物为H2O或NH3或HF,Z为Cl或S或P,其简单氢化物为HCl或H2S或PH3,由于前者物质中存在分子间氢键,而后者物质中不存在,故沸点Q>Z,C错误;
D.元素的非金属性越强,其最高价含氧酸的酸性越强,P、S、Cl的非金属性均强于Si,因此最高价含氧酸酸性:Z>Y,D正确;
故答案为:D。
7. 根据实验目的,下列实验及现象、结论都正确的是
选项 | 实验目的 | 实验及现象 | 结论 |
A | 比较 | 分别测浓度均为 |
|
B | 检验铁锈中是否含有二价铁 | 将铁锈落于浓盐酸,滴入 | 铁绣中含有二价铁 |
C | 探究氢离子浓度对 | 向 | 增大氢离子浓度,转化平衡向生成 |
D | 检验乙醇中是否含有水 | 向乙醇中加入一小粒金属钠,产生无色气体 | 乙醇中含有水 |
A. A B. B C. C D. D
【答案】C
【解析】
【详解】A.CH3COONH4中
水解,
,会消耗CH3COO-水解生成的OH-,测定相同浓度的CH3COONH4和NaHCO3溶液的pH,后者大于前者,不能说明Kh(CH3COO-)<Kh(
),A错误;
B.铁锈中含有Fe单质,单质Fe与浓盐酸可反应生成Fe2+,滴入KMnO4溶液,紫色褪去,不能说明铁锈中一定含有二价铁,B错误;
C.K2CrO4中存在平衡2
(黄色)+2H+
(橙红色)+H2O,缓慢滴加硫酸,H+浓度增大,平衡正向移动,故溶液黄色变成橙红色,C正确;
D.乙醇和水均会与金属钠发生反应生成氢气,故不能说明乙醇中含有水,D错误;
答案选C。
二、非选择题
8. 硫酸锌(
)是制备各种含锌材料的原料,在防腐、电镀、医学上有诸多应用。硫酸锌可由菱锌矿制备。菱锌矿的主要成分为
,杂质为
以及Ca、Mg、Fe、Cu等的化合物。其制备流程如下:

本题中所涉及离子的氯氧化物溶度积常数如下表:
离子 |
|
|
|
|
|
|
|
|
|
|
|
回答下列问题:
(1)菱锌矿焙烧生成氧化锌的化学方程式为_______。
(2)为了提高锌的浸取效果,可采取的措施有_______、_______。
(3)加入物质X调溶液
,最适宜使用的X是_______(填标号)。
A.
B.
C.
滤渣①的主要成分是_______、_______、_______。
(4)向
的滤液①中分批加入适量
溶液充分反应后过滤,滤渣②中有
,该步反应的离子方程式为_______。
(5)滤液②中加入锌粉的目的是_______。
(6)滤渣④与浓
反应可以释放HF并循环利用,同时得到的副产物是_______、_______。
【答案】(1)ZnCO3
ZnO+CO2↑
(2) ①. 增大压强 ②. 将焙烧后的产物碾碎,增大接触面积、增大硫酸的浓度等
(3) ①. B ②. Fe(OH)3 ③. CaSO4 ④. SiO2
(4)3Fe2++
+7H2O=3Fe(OH)3↓+MnO2↓+5H+
(5)置换Cu2+为Cu从而除去
(6) ①. CaSO4 ②. MgSO4
【解析】
【分析】由题干信息,菱锌矿的主要成分为ZnCO3,杂质为SiO2以及Ca、Mg、Fe、Cu等的化合物,结合流程图分析,菱锌矿焙烧,主要发生反应ZnCO3
ZnO+CO2↑,再加入H2SO4酸浸,得到含Zn2+、Ca2+、Ma2+、Fe2+、Fe3+、Cu2+的溶液,加入物质X调节pH=5,结合表格数据,过滤得到Fe(OH)3、CaSO4、SiO2的滤渣①,滤液①中主要含有Zn2+、Cu2+、Mg2+、Ca2+、Fe2+,再向滤液①中加入KMnO4溶液氧化Fe2+,过滤得到Fe(OH)3和MnO2的滤渣②,滤液②中加入锌粉,发生反应Zn+Cu2+=Zn2+=Cu,过滤后得到滤渣③为Cu,再向滤液③中加入HF脱钙镁,过滤得到滤渣④为CaF2、MgF2,滤液④为ZnSO4溶液,经一系列处理得到ZnSO4·7H2O,据此分析解答。
【小问1详解】
由分析,焙烧时,生成ZnO的反应为:ZnCO3
ZnO+CO2↑;
【小问2详解】
可采用增大压强、将焙烧后的产物碾碎,增大接触面积、增大硫酸的浓度等方式提高锌的浸取率;
小问3详解】
A.NH3·H2O易分解产生NH3污染空气,且经济成本较高,故A不适宜;
B.Ca(OH)2不会引入新的杂质,且成本较低,故B适宜;
C.NaOH会引入杂质Na+,且成本较高,C不适宜;
故答案选B;
当沉淀完全时(离子浓度小于10-5mol/L),结合表格Ksp计算各离子完全沉淀时pH<5的只有Fe3+,故滤渣①中有Fe(OH)3,又CaSO4是微溶物,SiO2不溶于酸,故滤渣①的主要成分是Fe(OH)3、CaSO4、SiO2;
【小问4详解】
向80~90℃滤液①中加入KMnO4溶液,可氧化Fe2+,得到Fe(OH)3和MnO2的滤渣②,反应的离子方程式为3Fe2++
+7H2O=3Fe(OH)3↓+MnO2↓+5H+;
【小问5详解】
滤液②中加入锌粉,发生反应Zn+Cu2+=Zn2+=Cu,故加入锌粉的目的为置换Cu2+为Cu从而除去;
【小问6详解】
由分析,滤渣④为CaF2、MgF2,与浓硫酸反应可得到HF,同时得到的副产物为CaSO4、MgSO4。
9. 硫化钠可广泛用于染料、医药行业。工业生产的硫化钠粗品中常含有一定量的煤灰及重金属硫化物等杂质。硫化钠易溶于热乙醇,重金属硫化物难溶于乙醇。实验室中常用95%乙醇重结晶纯化硫化钠粗品。回答下列问题:
(1)工业上常用芒硝(
)和煤粉在高温下生产硫化钠,同时生成CO,该反应的化学方程式为_______。
(2)溶解回流装置如图所示,回流前无需加入沸石,其原因是_______。回流时,烧瓶内气雾上升高度不宜超过冷凝管高度的1/3.若气雾上升过高,可采取的措施是_______。

(3)回流时间不宜过长,原因是_______。回流结束后,需进行的操作有①停止加热 ②关闭冷凝水 ③移去水浴,正确的顺序为_______(填标号)。
A.①②③ B.③①② C.②①③ D.①③②
(4)该实验热过滤操作时,用锥形瓶而不能用烧杯接收滤液,其原因是_______。过滤除去的杂质为_______。若滤纸上析出大量晶体,则可能的原因是_______。
(5)滤液冷却、结晶、过滤,晶体用少量_______洗涤,干燥,得到
。
【答案】(1)Na2SO4·10H2O+4C
Na2S+4CO↑+10H2O
(2) ①. 硫化钠粗品中常含有一定量的煤灰及重金属硫化物等杂质,这些杂质可以直接作沸石 ②. 降低温度
(3) ①. 硫化钠易溶于热乙醇,若回流时间过长,Na2S会直接析出在冷凝管上,使提纯率较低,同时易造成冷凝管下端堵塞,圆底烧瓶内气压过大,发生爆炸 ②. D
(4) ①
防止滤液冷却 ②. 重金属硫化物 ③. 温度逐渐恢复至室温
(5)冷水
【解析】
【分析】本实验的实验目的为制备硫化钠并用95%乙醇重结晶纯化硫化钠粗品,工业上常用芒硝(
)和煤粉在高温下生产硫化钠,反应原理为:Na2SO4·10H2O+4C
Na2S+4CO↑+10H2O,结合硫化钠的性质解答问题。
【小问1详解】
工业上常用芒硝(
)和煤粉在高温下生产硫化钠,同时生产CO,根据得失电子守恒,反应的化学方程式为:Na2SO4·10H2O+4C
Na2S+4CO↑+10H2O;
【小问2详解】
由题干信息,生产的硫化钠粗品中常含有一定量的煤灰及重金属硫化物等杂质,这些杂质可以直接作沸石,因此回流前无需加入沸石,若气流上升过高,可直接降低降低温度,使气压降低;
小问3详解】
硫化钠易溶于热乙醇,若回流时间过长,Na2S会直接析出在冷凝管上,使提纯率较低,同时易造成冷凝管下端堵塞,圆底烧瓶内气压过大,发生爆炸;回流结束后,先停止加热,再移去水浴后再关闭冷凝水,故正确的顺序为①③②,答案选D。
【小问4详解】
硫化钠易溶于热乙醇,使用锥形瓶可有效防止滤液冷却,重金属硫化物难溶于乙醇,故过滤除去的杂质为重金属硫化物,由于硫化钠易溶于热乙醇,过滤后温度逐渐恢复至室温,滤纸上便会析出大量晶体;
【小问5详解】
乙醇与水互溶,硫化钠易溶于热乙醇,因此将滤液冷却、结晶、过滤后,晶体可用少量冷水洗涤,再干燥,即可得到

10. 金属钛(Ti)在航空航天、医疗器械等工业领域有着重要用途,目前生产钛的方法之一是将金红石
转化为
,再进一步还原得到钛。回答下列问题:
(1)
转化为
有直接氯化法和碳氯化法。在
时反应的热化学方程式及其平衡常数如下:
(ⅰ)直接氯化:
(ⅱ)碳氯化:
①反应

为_______
,
_______Pa。
②碳氯化的反应趋势远大于直接氯化,其原因是_______。
③对于碳氯化反应:增大压强,平衡_______移动(填“向左”“向右”或“不”);温度升高,平衡转化率_______(填“变大”“变小”或“不变”)。
(2)在
,将
、C、
以物质的量比1∶2.2∶2进行反应。体系中气体平衡组成比例(物质的量分数)随温度变化的理论计算结果如图所示。

①反应
的平衡常数
_______
。
②图中显示,在
平衡时
几乎完全转化为
,但实际生产中反应温度却远高于此温度,其原因是_______。
(3)
碳氯化是一个“气—固—固”反应,有利于
“固—固”接触的措施是_______。
【答案】(1) ①. -223 ②. 1.2×1014 ③. 碳氯化反应气体分子数增加,?H小于0,是熵增、放热过程,熵判据与焓判据均是自发过程,而直接氯化的体系气体分子数不变、且是吸热过程 ④. 向左 ⑤. 变小
(2) ①. 7.2×105 ②. 为了提高反应速率,在相同时间内得到更多的TiCl4产品,提高效益
(3)将两固体粉碎后混合,同时鼓入Cl2,使固体粉末“沸腾”
【解析】
【小问1详解】
①根据盖斯定律,将“反应ⅱ-反应ⅰ”得到反应2C(s)+O2(g)=2CO(g),则?H=-51kJ/mol-172kJ/mol=-223kJ/mol;则Kp=
=
=1.2×1014Pa;
②碳氯化的反应趋势远大于直接氯化,因为碳氯化反应气体分子数增加,?H小于0,是熵增、放热过程,熵判据与焓判据均是自发过程,而直接氯化的体系气体分子数不变、且是吸热过程;
③对应碳氯化反应,气体分子数增大,依据勒夏特列原理,增大压强,平衡往气体分子数减少的方向移动,即平衡向左移动;该反应是放热反应,温度升高,平衡往吸热方向移动,即向左移动,则平衡转化率变小。
【小问2详解】
①从图中可知,1400℃,体系中气体平衡组成比例CO2是0.05,TiCl4是0.35,CO是0.6,反应C(s)+CO2(g)=2CO(g)的平衡常数Kp(1400℃)=
=
Pa=7.2×105Pa;
②实际生产中需要综合考虑反应的速率、产率等,以达到最佳效益,实际反应温度远高于200℃,就是为了提高反应速率,在相同时间内得到更多的TiCl4产品。
【小问3详解】
固体颗粒越小,比表面积越大,反应接触面积越大。有利于TiO2 – C“固-固”接触,可将两者粉碎后混合,同时鼓入Cl2,使固体粉末“沸腾”,增大接触面积。
【化学—选修3:物质结构与性质】
11. 2008年北京奥运会的“水立方”,在2022年冬奥会上华丽转身为“冰立方”,实现了奥运场馆的再利用,其美丽的透光气囊材料由乙烯(CH2=CH2)与四氟乙烯(CF2=CF2)的共聚物(ETFE)制成。回答下列问题:
(1)基态F原子的价电子排布图(轨道表示式)为_______。
(2)图a、b、c分别表示C、N、O和F的逐级电离能Ⅰ变化趋势(纵坐标的标度不同)。第一电离能的变化图是_______(填标号),判断的根据是_______;第三电离能的变化图是_______(填标号)。
(3)固态氟化氢中存在(HF)n形式,画出(HF)3的链状结构_______。
(4) CF2=CF2和ETFE分子中C的杂化轨道类型分别为_______和_______;聚四氟乙烯的化学稳定性高于聚乙烯,从化学键的角度解释原因_______。
(5)萤石(CaF2)是自然界中常见的含氟矿物,其晶胞结构如图所示,X代表的离子是_______;若该立方晶胞参数为a pm,正负离子的核间距最小为_______pm。
【答案】(1)
(2) ①. 图a ②. 同一周期第一电离能的总体趋势是依次升高的,但由于N元素的2p能级为半充满状态,因此N元素的第一电离能较C、O两种元素高 ③. 图b
(3)
(4) ①. sp2 ②. sp3 ③. C-F键的键能大于聚乙烯中C-H的键能,键能越大,化学性质越稳定
(5) ①. Ca2+ ②.
a pm
【解析】
【分析】根据基态原子的电子表示式书写价电子排布式;根据电离能的排布规律分析电离能趋势和原因;根据氢键的表示方法书写(HF)3的结构;根据键能影响物质稳定性的规律分析两种物质的稳定性差异;根据均摊法计算晶胞中各粒子的个数,判断粒子种类。
【小问1详解】
F为第9号元素其电子排布为1s22s22p5,则其价电子排布图为
,故答案为
。
【小问2详解】
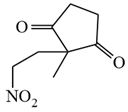
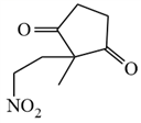
C、N、O、F四种元素在同一周期,同一周期第一电离能的总体趋势是依次升高的,但由于N元素的2p能级为半充满状态,因此N元素的第一电离能较C、O两种元素高,因此C、N、O、F四种元素的第一电离能从小到大的顺序为C 【小问3详解】 固体HF中存在氢键,则(HF)3的链状结构为 【小问4详解】 CF2=CF2中C原子存在3对共用电子对,其C原子的杂化方式为sp2杂化,但其共聚物ETFE中C原子存在4对共用电子对,其C原子为sp3杂化;由于F元素的电负性较大,因此在于C原子的结合过程中形成的C-F键的键能大于聚乙烯中C-H的键能,键能的强弱决定物质的化学性质,键能越大,化学性质越稳定,因此聚四氟乙烯的化学稳定性高于聚乙烯,故答案为:sp2、sp3、C-F键的键能大于聚乙烯中C-H的键能,键能越大,化学性质越稳定。 【小问5详解】 根据萤石晶胞结构,浅色X离子分布在晶胞的顶点和面心上,则1个晶胞中浅色X离子共有8× 【化学—选修5,有机化学基础】 12. 用N-杂环卡其碱(NHC base)作为催化剂,可合成多环化合物。下面是一种多环化合物H的合成路线(无需考虑部分中间体的立体化学)。 回答下列问题: (1)A的化学名称为_______。 (2)反应②涉及两步反应,已知第一步反应类型为加成反应,第二步的反应类型为_______。 (3)写出C与 (4)E的结构简式为_______。 (5)H中含氧官能团的名称是_______。 (6)化合物X是C的同分异构体,可发生银镜反应,与酸性高锰酸钾反应后可以得到对苯二甲酸,写出X的结构简式_______。 (7)如果要合成H的类似物H′( 【答案】(1)苯甲醇 (2)消去反应 (3) (6) 【解析】 【分析】由合成路线,A的分子式为C7H8O,在Cu作催化剂的条件下发生催化氧化生成B,B的结构简式为 【小问1详解】 由分析可知,A的结构简式为 【小问2详解】 由B、C的结构简式,结合反应条件,可知B( 【小问3详解】 根据分析可知,C与Br2/CCl4发生加成反应得到 【小问4详解】 由分析,E的结构简式为 【小问5详解】 H的结构简式为 【小问6详解】 C的结构简式为 【小问7详解】 G与D反应生成H的反应中,D中碳碳双键断裂与G中HC—NO2和C=O成环,且C=O与—CHO成环,从而得到H,可推知,若要合成H′(
,故答案为:
。
+6×
=4个,深色Y离子分布在晶胞内部,则1个晶胞中共有8个深色Y离子,因此该晶胞的化学式应为XY2,结合萤石的化学式可知,X为Ca2+;根据晶胞,将晶胞分成8个相等的小正方体,仔细观察CaF2的晶胞结构不难发现F-位于晶胞中8个小立方体中互不相邻的4个小立方体的体心,小立方体边长为
,体对角线为
,Ca2+与F-之间距离就是小晶胞体对角线的一半,因此晶体中正负的核间距的最小的距离为
a pm,故答案为:Ca2+、
a pm。
/
反应产物的结构简式_______。
),参照上述合成路线,写出相应的D′和G′的结构简式_______、_______。H′分子中有_______个手性碳(碳原子上连有4个不同的原子或基团时,该碳称为手性碳)。
(4)
(5)硝基、酯基和羰基
(7) ①.
②.
③. 5
,则A为
,B与CH3CHO发生加成反应生成
,
再发生消去反应反应生成C,C的结构简式为
,C与Br2/CCl4发生加成反应得到
,
再在碱性条件下发生消去反应生成D,D为
,B与E在强碱的环境下还原得到F,E的分子式为C5H6O2,F的结构简式为
,可推知E为
,F与
生成G,G与D反应生成H,据此分析解答。
,其化学名称为苯甲醇;
)先与CH3CHO发生碳氧双键的加成反应生成
,
再发生消去反应生成C(
),故第二步的反应类型为消去反应;
;
;
,可其分子中含有的含有官能团为硝基、酯基和羰基;
,分子式为C9H8O,其同分异构体X可发生银镜反应,说明含有醛基,又与酸性高锰酸钾反应后可得到对苯二甲酸,则X的取代基处于苯环的对位,满足条件的X的结构简式为:
;
),相应的D′为
,G′为
,手性碳原子为连有4各不同基团的饱和碳原子,则H′(
)的手性碳原子为
,共5个

和
的水解常数
的
和
溶液的
,后者大于前者
相互转化的影响
溶液中缓慢滴加硫酸,黄色变为橙红色









