2023年1月浙江普通高校招生选考化学试题及答案
可能用到的相对原子质量:H 1 Li 7 C 12 N 14 O 16 Na 23 Mg 24 Al 27 Si 28 S 32 C1 35.5 K 39 Ca 40 Fe 56 Cu 64 Br 80 Ag 108 I 127 Ba 137
一、选择题(本大题共16小题,每小题3分,共48分.每小题列出的四个备选项中只有一个是符合题目要求的,不选、多选、错选均不得分)
1.下列物质中属于耐高温酸性氧化物的是( )
A.
B.
C.
D.![]()
2.硫酸铜应用广泛,下列说法不正确的是( )
A.
元素位于周期表p区 B.硫酸铜属于强电解质
C.硫酸铜溶液呈酸性 D.硫酸铜能使蛋白质变性
3.下列化学用语表示正确的是( )
A.中子数为18的氯原子:![]()
B.碳的基态原子轨道表示式:
C.
的空间结构:
(平面三角形)
D.
的形成过程:![]()
4.物质的性质决定用途,下列两者对应关系不正确的是( )
A.
能使某些色素褪色,可用作漂白剂 B.金属钠导热性好,可用作传热介质
C.
溶液呈碱性,可用作消毒剂 D.
呈红色,可用作颜料
5.下列关于元素及其化合物的性质说法不正确的是( )
A.
和乙醇反应可生成
B.工业上煅烧黄铁矿
生产![]()
C.工业上用氨的催化氧化制备
D.常温下铁与浓硝酸反应可制备![]()
6.关于反应
,下列说法正确的是( )
A.生成1mol N2O,转移
电子 B.
是还原产物
C.
既是氧化剂又是还原剂 D.若设计成原电池,
为负极产物
7.下列反应的离子方程式不正确的是( )
A.
通入氢氧化钠溶液:
B.氧化铝溶于氢氧化钠溶液:
C.过量
通入饱和碳酸钠溶液:
D.
溶液中滴入氯化钙溶液:
8.下列说法不正确的是( )
A.从分子结构上看糖类都是多羟基醛及其缩合产物
B.蛋白质溶液与浓硝酸作用产生白色沉淀,加热后沉淀变黄色
C.水果中因含有低级酯类物质而具有特殊香味
D.聚乙烯、聚氯乙烯是热塑性塑料
9.七叶亭是一种植物抗菌素,适用于细菌性痢疾,其结构如图,下列说法正确的是( )

A.分子中存在2种官能团 B.分子中所有碳原子共平面
C.
该物质与足量溴水反应,最多可消耗![]()
D.
该物质与足量
溶液反应,最多可消耗![]()
10.X、Y、Z、M、Q五种短周期元素,原子序数依次增大.X的
轨道全充满,Y的s能级电子数量是p能级的两倍,M是地壳中含量最多的元素,Q是纯碱中的一种元素.下列说法不正确的是( )
A.电负性:
B.最高正价:![]()
C.Q与M的化合物中可能含有非极性共价键
D.最高价氧化物对应水化物的酸性:![]()
11.在熔融盐体系中,通过电解
和
获得电池材料
,电解装置如图,下列说法正确的是( )

A.石墨电极为阴极,发生氧化反应
B.电极A的电极反应:
C.该体系中,石墨优先于
参与反应
D.电解时,阳离子向石墨电极移动
12.共价化合物
中所有原子均满足8电子稳定结构,一定条件下可发生反应:
,下列说法不正确的是( )
A.
的结构式为
B.
为非极性分子
C.该反应中
的配位能力大于氯 D.
比
更难与
发生反应
13.甲酸
是重要的化工原料.工业废水中的甲酸及其盐,通过离子交换树脂(含固体活性成分
,R为烷基)因静电作用被吸附回收,其回收率(被吸附在树脂上甲酸根的物质的量分数)与废水初始
关系如图(已知甲酸
),下列说法不正确的是( )

A.活性成分
在水中存在平衡:![]()
B.
的废水中![]()
C.废水初始
,随
下降,甲酸的电离被抑制,与
作用的
数目减少
D.废水初始
,离子交换树脂活性成分主要以
形态存在
14.标准状态下,气态反应物和生成物的相对能量与反应历程示意图如下[已知
和
的相对能量为0],下列说法不正确的是( )

A.![]()
B.可计算
键能为![]()
C.相同条件下,
的平衡转化率:历程Ⅱ>历程Ⅰ
D.历程工、历程Ⅱ中速率最快的一步反应的热化学方程式为:
15.碳酸钙是常见难溶物,将过量碳酸钙粉末置于水中达到溶解平衡:
[已知
,
,
的电离常数
],下列有关说法正确的是( )
A.上层清液中存在![]()
B.上层清液中含碳微粒最主要以
形式存在
C.向体系中通入
气体,溶液中
保持不变
D.通过加
溶液可实现
向
的有效转化
16.探究铁及其化合物的性质,下列方案设计、现象和结论都正确的是( )
| 实验方案 | 现象 | 结论 |
A | 往 | 短时间内无明显现象 |
|
B | 往 | 溶液先变成血红色后无明显变化 |
|
C | 将食品脱氧剂样品中的还原铁粉溶于盐酸,滴加 | 溶液呈浅绿色 | 食品脱氧剂样品中没有 |
D | 向沸水中逐滴加5~6滴饱和 | 溶液先变成红褐色再析出沉淀 |
|
A.A B.B C.C D.D
二、非选择题(本大题共5小题,共52分)
17.(10分)硅材料在生活中占有重要地位
请回答:
(1)
分子的空间结构(以
为中心)名称为________,分子中氮原子的杂化轨道类型是________.
受热分解生成
和
,其受热不稳定的原因是________.
(2)由硅原子核形成的三种微粒,电子排布式分别为:①
、②
、③
,有关这些微粒的叙述,正确的是________.
A.微粒半径:③>①>②
B.电子排布属于基态原子(或离子)的是:①②
C.电离一个电子所需最低能量:①>②>③
D.得电子能力:①>②
(3)
与P形成的某化合物晶体的晶胞如图.该晶体类型是________,该化合物的化学式为________.

18.(10分)化合物X由三种元素组成,某学习小组按如下流程进行实验:

已知:白色固体A用
溶解后,多余的酸用
恰好中和请回答:
(1)X的组成元素是________,X的化学式是________.
(2)写出
溶液呈棕黄色所发生的化学反应方程式________.
(3)写出生成白色固体H的离子方程式________.
(4)设计实验检验溶液Ⅰ中的阳离子________.
19.(10分)“碳达峰·碳中和”是我国社会发展重大战略之一,
还原
是实现“双碳”经济的有效途径之一,相关的主要反应有:
Ⅰ:![]()
Ⅱ:![]()
请回答:
(1)有利于提高
平衡转化率的条件是________.
A.低温低压 B.低温高压 C.高温低压 D.高温高压
(2)反应
的
________
,
________(用
表示).
(3)恒压、
时,
和
按物质的量之比
投料,反应经如下流程(主要产物已标出)可实现
高效转化.

①下列说法正确的是________.
A.
可循环利用,
不可循环利用
B.过程ⅱ,
吸收
可促使
氧化
的平衡正移
C.过程ⅱ产生的
最终未被
吸收,在过程ⅲ被排出
D.相比于反应Ⅰ,该流程的总反应还原
需吸收的能量更多
②过程ⅱ平衡后通入
,测得一段时间内
物质的量上升,根据过程ⅲ,结合平衡移动原理,解释
物质的量上升的原因________.
(4)
还原能力
可衡量
转化效率,
(同一时段内
与
的物质的量变化量之比).
①常压下
和
按物质的量之比
投料,某一时段内
和
的转化率随温度变化如图1,请在图2中画出
间R的变化趋势,并标明
时R值.

②催化剂X可提高R值,另一时段内
转化率、R值随温度变化如下表:
温度/℃ | 480 | 500 | 520 | 550 |
| 7.9 | 11.5 | 20.2 | 34.8 |
R | 2.6 | 2.4 | 2.1 | 1.8 |
下列说法不正确的是________
A.R值提高是由于催化剂X选择性地提高反应Ⅱ的速率
B.温度越低,含氢产物中
占比越高
C.温度升高,
转化率增加,
转化率降低,R值减小
D.改变催化剂提高
转化率,R值不一定增大
20.(10分)某研究小组制备纳米
,再与金属有机框架
)材料复合制备荧光材料
,流程如下:
![]()
已知:①含锌组分间的转化关系:![]()
②
是
的一种晶型,
以下稳定.
请回答:
(1)步骤Ⅰ,初始滴入
溶液时,体系中主要含锌组分的化学式是________.
(2)下列有关说法不正确的是________.
A.步骤Ⅰ,搅拌的作用是避免反应物浓度局部过高,使反应充分
B.步骤Ⅰ,若将过量
溶液滴入
溶液制备
,可提高
的利用率
C.步骤Ⅱ,为了更好地除去杂质,可用
的热水洗涤
D.步骤Ⅲ,控温煅烧的目的是为了控制
的颗粒大小
(3)步骤Ⅲ,盛放样品的容器名称是________.
(4)用
和过量
反应,得到的沉淀可直接控温煅烧得纳米
,沉淀无需洗涤的原因是________.
(5)为测定纳米
产品的纯度,可用已知浓度的
标准溶液滴定
.从下列选项中选择合理的仪器和操作,补全如下步骤[“_____________”上填写一件最关键仪器,“( )”内填写一种操作,均用字母表示].
用________(称量
样品
)→用烧杯(________)→用________(________)→用移液管(________)→用滴定管(盛装
标准溶液,滴定
)
仪器:a.烧杯;b.托盘天平;c.容量瓶;d.分析天平;e.试剂瓶
操作:f.配制一定体积的Zn+溶液;g.酸溶样品;h.量取一定体积的
溶液;i.装瓶贴标签
(6)制备的
荧光材料可测
浓度.已知
的荧光强度比值与
在一定浓度范围内的关系如图.
某研究小组取
人血浆铜蓝蛋白(相对分子质量
),经预处理,将其中
元素全部转化为
并定容至
.取样测得荧光强度比值为10.2,则1个血浆铜蓝蛋白分子中含________个铜原子

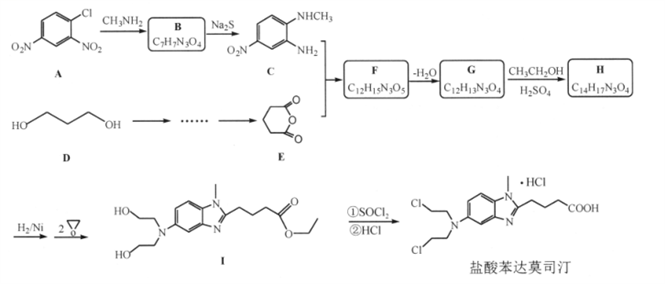
21.(12分)某研究小组按下列路线合成抗癌药物盐酸苯达莫司汀.

已知:①
②
请回答:
(1)化合物A的官能团名称是________.
(2)化合物B的结构简式是___________.
(3)下列说法正确的是________.
A.
的反应类型为取代反应
B.化合物D与乙醇互为同系物
C.化合物I的分子式是![]()
D.将苯达莫司汀制成盐酸盐有助于增加其水溶性
(4)写出
的化学方程式________.
(5)设计以D为原料合成E的路线(用流程图表示,无机试剂任选)________.
(6)写出3种同时符合下列条件的化合物C的同分异构体的结构简式________.
①分子中只含一个环,且为六元环;②
谱和
谱检测表明:分子中共有2种不同化学环境的氢原子,无氮氮键,有乙酰基
.
化学参考答案
一、选择题(本大题共16小题,每小题3分,共48分)
1 | 2 | 3 | 4 | 5 | 6 | 7 | 8 | 9 | 10 | 11 | 12 | 13 | 14 | 15 | 16 |
B | A | C | C | D | A | D | A | B | B | C | D | D | C | B | D |
二、非选择题(本大题共5小题,共52分)
17.(1)四面体 ![]()
周围的
基团体积较大,受热时斥力较强
中
键能相对较小];产物中气态分子数显著增多(熵增).
(2)AB
(3)共价晶体 ![]()
18.(1)
![]()
(2)
或
(3)
(4)用玻璃棒蘸取溶液Ⅰ,点在蓝色石蕊试纸上,呈红色说明溶液中有
;取溶液于试管中,加入
至碱性,加热,将湿润的红色石蕊试纸置于试管口,若试纸变蓝说明有
.
19.(1)C
(2)
,![]()
(3)①BC
②通入
分解平衡正移,导致
增大,促进
还原
平衡正移.
(4)①

②C
20.(1)
(2)BC (3)坩埚
(4)杂质中含有
,在控温煅烧过程中分解或被氧化为气体而除去.
(5)![]()
(6)8
21.(1)硝基,碳氯键 (2)
(3)D
(4)
(5)![]()
(6)
