2022年湖南普通高中学业水平选择性考试化学试题及答案
可能用到的相对原子质量:H 1 C 12 N 14 O 16 S 32 Cl 35.5 K 39 Fe 56 Se 79 Ba 137
一、选择题:本题共10小题,每小题3分,共30分。在每小题给出的四个选项中,只有一项是符合题目要求的。
1. 化学促进了科技进步和社会发展,下列叙述中没有涉及化学变化的是
A. 《神农本草经》中记载的“石胆能化铁为铜”
B. 利用“侯氏联合制碱法”制备纯碱
C. 科学家成功将
转化为淀粉或葡萄糖
D. 北京冬奥会场馆使用
跨临界直冷制冰
【参考答案】D
【详解】A.“石胆能化铁为铜”指的是铁可以与硫酸铜发生置换反应生成铜,发生了化学变化,A不符合题意;
B.工业上利用“侯氏联合制碱法”制备纯碱,二氧化碳、氨气、氯化钠和水发生反应生成的碳酸氢钠晶体经加热后分解生成碳酸钠即纯碱,发生了化学变化,B不符合题意;
C. CO2转化
淀粉或葡萄糖,有新物质生成,发生了化学变化,C不符合题意;
D.使用CO2跨临界直冷制冰,将水直接转化为冰,没有新物质生成,只发生了物理变化,没有涉及化学变化,D符合题意;
综上所述,本题选D。
2. 下列说法错误的是
A. 氢键,离子键和共价键都属于化学键
B. 化学家门捷列夫编制了第一张元素周期表
C. 药剂师和营养师必须具备化学相关专业知识
D. 石灰石是制造玻璃和水泥的主要原料之一
【参考答案】A
【详解】A.离子键和共价键都属于化学键,氢键属于分子间作用力,A说法错误;
B.第一张元素周期表是俄国化学家门捷列夫编制的,B说法正确;
C.药剂师和营养师的工作分别与药剂和营养物质有关,因此必须具备相关的化学专业知识才能胜任相关工作,C说法正确;
D.制造玻璃的主要原料是石灰石、石英和纯碱,制造水泥的主要原料是石灰石和黏土,D说法正确;
综上所述,本题选A。
3. 聚乳酸是一种新型的生物可降解高分子材料,其合成路线如下:
图片优化老师请注意一下:中括号内的右侧O去掉(优化后把这些文字删除)
下列说法错误的是
A. ![]()
B. 聚乳酸分子中含有两种官能团
C.
乳酸与足量的
反应生成![]()
D. 两分子乳酸反应能够生成含六元环的分子
【参考答案】B
【详解】A.根据氧原子数目守恒可得:3n=2n+1+m,则m=n-1,A正确;
B.聚乳酸分子中含有三种官能团,分别是羟基、羧基、酯基,B错误;
C.1个乳酸分子中含有1个羟基和1个羧基,则1mol乳酸和足量的Na反应生成1mol H2,C正确;
D.1个乳酸分子中含有1个羟基和1个羧基,则两分子乳酸可以缩合产生含六元环的分子(
),D正确;
故选B。
4. 化学实验操作是进行科学实验的基础。下列操作符合规范的是
|
|
|
|
A.碱式滴定管排气泡 | B.溶液加热 | C.试剂存放 | D.溶液滴加 |
A. A B. B C. C D. D
【参考答案】A
【详解】A.碱式滴定管排气泡时,把橡皮管向上弯曲,出口上斜,轻轻挤压玻璃珠附近的橡皮管可以使溶液从尖嘴涌出,气泡即可随之排出,A符合规范;
B.用试管加热溶液时,试管夹应夹在距离管口的
处,B不符合规范;
C.实验室中,盐酸和NaOH要分开存放,有机物和无机物要分开存放,C不符合规范;
D.用滴管滴加溶液时,滴管不能伸入试管内部,应悬空滴加,D不符合规范;
故选A。
5. 科学家合成了一种新的共价化合物(结构如图所示),X、Y、Z、W为原子序数依次增大的短周期元素,W的原子序数等于X与Y的原子序数之和。下列说法错误的是

A. 原子半径:
B. 非金属性:![]()
C. Z的单质具有较强的还原性 D. 原子序数为82的元素与W位于同一主族
【参考答案】C
【分析】由共价化合物的结构可知,X、W形成4个共价键,Y形成2个共价键,Z形成1个共价键,X、Y、Z、W是原子序数依次增大的短周期元素,W的原子序数等于X与Y的原子序数之和,则X为C元素、Y为O元素、Z为F元素、W为Si元素。
【详解】A.同周期元素,从左到右原子半径依次减小,则C、O、F的原子半径大小顺序为C>O>F,故A正确;
B.同周期元素,从左到右元素的非金属性依次增强,同主族元素,从上到下元素的非金属性依次减弱,则C、O、Si的非金属性强弱顺序为O>C>Si,故B正确;
C.位于元素周期表右上角的氟元素的非金属性最强,单质具有很强的氧化性,故C错误;
D.原子序数为82的元素为铅元素,与硅元素都位于元素周期表ⅣA族,故D正确;
故选C。
6. 甲基丙烯酸甲酯是合成有机玻璃的单体。
旧法合成的反应:
![]()
![]()
新法合成的反应:
![]()
下列说法错误的是(阿伏加德罗常数的值为
)
A.
的电子式为![]()
B. 新法没有副产物产生,原子利用率高
C.
的
溶液中
的微粒数小于![]()
D.
的作用是降低反应的活化能,使活化分子数目增多,百分数不变
【参考答案】D
【详解】A.氢氰酸为共价化合物,结构式为H—C≡N,电子式为
,故A正确;
B.由方程式可知,新法合成甲基丙烯酸甲酯的反应为没有副产物生成,原子利用率为100的化合反应,故B正确;
C.硫酸氢铵是强酸弱碱的酸式盐,铵根离子在溶液中会发生水解反应,所以1L0.05mol/L的硫酸氢铵溶液中铵根离子的数目小于0.05mol/L×1L×NAmol—1=0.05NA,故C正确;
D.由方程式可知,钯为新法合成甲基丙烯酸甲酯的催化剂,能降低反应的活化能,使活化分子的数目和百分数都增大,故D错误;
故选D。
7. 铝电解厂烟气净化的一种简单流程如下:

下列说法错误的是
A. 不宜用陶瓷作吸收塔内衬材料
B. 采用溶液喷淋法可提高吸收塔内烟气吸收效率
C. 合成槽中产物主要有
和![]()
D
滤液可回收进入吸收塔循环利用
【参考答案】C
【分析】烟气(含HF)通入吸收塔,加入过量的碳酸钠,发生反应
,向合成槽中通入NaAlO2,发生反应
,过滤得到
和含有
的滤液。
【详解】A.陶瓷的成分中含有SiO2,SiO2在高温下与
发生反应
,因此不宜用陶瓷作吸收塔内衬材料,故A正确;
B.采用溶液喷淋法可增大反应物的接触面积,提高吸收塔内烟气吸收效率,故B正确;
C.由上述分析可知,合成槽内发生反应
,产物是
和
,故C错误;
D.由上述分析可知,滤液的主要成分为
,可进入吸收塔循环利用,故D正确;
答案选C。
8. 海水电池在海洋能源领域备受关注,一种锂-海水电池构造示意图如下。下列说法错误的是

A. 海水起电解质溶液作用
B. N极仅发生的电极反应:![]()
C. 玻璃陶瓷具有传导离子和防水的功能
D. 该锂-海水电池属于一次电池
【参考答案】C
【分析】锂海水电池的总反应为2Li+2H2O═2LiOH+H2↑, M极上Li失去电子发生氧化反应,则M电极为负极,电极反应为Li-e-=Li+,N极为正极,电极反应为2H2O+2e-=2OH-+H2↑。
【详解】A.海水中含有丰富的电解质,如氯化钠、氯化镁等,可作为电解质溶液,故A正确;
B.由上述分析可知,N为正极,电极反应为2H2O+2e-=2OH-+H2↑,故B正确;
C.Li为活泼金属,易与水反应,玻璃陶瓷的作用是防止水和Li反应,但不能传导离子,故C错误;
D.该电池不可充电,属于一次电池,故D正确;
答案选C。
9. 科学家发现某些生物酶体系可以促进
和
的转移(如a、b和c),能将海洋中的
转化为
进入大气层,反应过程如图所示。

下列说法正确的是
A. 过程Ⅰ中
发生氧化反应
B. a和b中转移的
数目相等
C. 过程Ⅱ中参与反应的![]()
D. 过程Ⅰ→Ⅲ的总反应为![]()
【参考答案】C
【详解】A.由图示可知,过程I中NO
转化为NO,氮元素化合价由+3价降低到+2价,NO
作氧化剂,被还原,发生还原反应,A错误;
B.由图示可知,过程I为NO
在酶1的作用下转化为NO和H2O,依据得失电子守恒、电荷守恒和原子守恒可知,反应的离子方程式为:NO
+2H++e-
NO+H2O,生成1molNO,a过程转移1mole-,过程II为NO和NH
在酶2的作用下发生氧化还原反应生成H2O和N2H4,依据得失电子守恒、电荷守恒和原子守恒可知,反应的离子方程式为:2NO+8NH![]()
2H2O+5N2H4+8H+,消耗1molNO,b过程转移4mol e-,转移电子数目不相等,B错误;
C.由图示可知,过程II发生反应的参与反应的离子方程式为:2NO+8NH![]()
2H2O+5N2H4+8H+,n(NO):n(NH
)=1:4,C正确;
D.由图示可知,过程III为N2H4转化为N2和4H+、4e-,反应的离子方程式为:N2H4= N2+4H++4e-,过程I-III的总反应为:2NO
+8NH
=5N2↑+4H2O+24H++18e-,D错误;
答案选C。
10. 室温时,用
的标准
溶液滴定
浓度相等的
、
和
混合溶液,通过电位滴定法获得
与
的关系曲线如图所示(忽略沉淀对离子的吸附作用。若溶液中离子浓度小于
时,认为该离子沉淀完全。
,
,
)。下列说法正确的是

A. a点:有白色沉淀生成
B. 原溶液中
的浓度为![]()
C. 当
沉淀完全时,已经有部分
沉淀
D. b点:![]()
【参考答案】C
【分析】向含浓度相等的 Cl-、 Br-和 I-混合溶液中滴加硝酸银溶液,根据三种沉淀的溶度积常数,三种离子沉淀的先后顺序为I-、Br-、Cl-,根据滴定图示,当滴入4.50mL硝酸银溶液时,Cl-恰好沉淀完全,此时共消耗硝酸银的物质的量为4.50mL×10-3L/mL×0.1000mol/L=4.5×10-4mol,所以Cl-、 Br-和 I-均为1.5×10-4mol。
【详解】A.I-先沉淀,AgI是黄色的,所以a点有黄色沉淀AgI生成,故A错误;
B.原溶液中I-的物质的量为1.5×10-4mol,则I-的浓度为
=0.0100mol?L-1,故B错误;
C.当Br-沉淀完全时(Br-浓度为1.0×10-5mol/L),溶液中的c(Ag+)=
=5.4×10-8mol/L,若Cl-已经开始沉淀,则此时溶液中的c(Cl-)=
=3.3×10-3mol/L,原溶液中的c(Cl-)= c(I-)=0.0100mol?L-1,则已经有部分Cl-沉淀,故C正确;
D.b点加入了过量的硝酸银溶液,Ag+浓度最大,则b点各离子浓度为:
,故D错误;
故选C。
二、选择题,本题共4小题,每小题4分,共16分。在每小题给出的四个选项中,有一个或两个选项符合题目要求。全部选对的得4分,选对但不全的得2分,有选错的得0分。
11. 下列离子方程式正确的是
A.
通入冷的
溶液:![]()
B. 用醋酸和淀粉
溶液检验加碘盐中的
:![]()
C.
溶液中加入
产生沉淀:![]()
D.
溶液与少量的
溶液混合:![]()
【参考答案】AC
【详解】A.Cl2通入冷的 NaOH溶液中发生反应生成氯化钠和次氯酸钠,该反应的离子方程式为Cl2+2OH-=Cl-+ClO-+H2O,A正确;
B.用醋酸和淀粉-KI溶液检验加碘盐中的
的原理是
在酸性条件下与I-发生归中反应生成I2而遇淀粉变蓝,由于醋酸是弱酸,在离子方程式中不能用H+表示,因此B不正确;
C.H2O2具有较强的氧化性,FeSO4溶液中加入H2O2产生的沉淀是氢氧化铁,该反应的离子方程式为2Fe2++ H2O2+4H2O=2Fe(OH)3↓+4H+,C正确;
D.NaHCO3溶液与少量的Ba(OH)2溶液混合后发生反应生成碳酸钡沉淀、碳酸钠和水,NaHCO3过量,Ba(OH)2全部参加反应,因此该反应的离子方程式为2
+Ba2++2OH-=BaCO3↓+
+2H2O,D不正确;
综上所述,本题选AC。
12. 反应物(S)转化为产物(P或P·Z)的能量与反应进程的关系如下图所示:

下列有关四种不同反应进程的说法正确的是
A. 进程Ⅰ是放热反应 B. 平衡时P的产率:Ⅱ>Ⅰ
C. 生成P的速率:Ⅲ>Ⅱ D. 进程Ⅳ中,Z没有催化作用
【参考答案】AD
【详解】A.由图中信息可知,进程Ⅰ中S的总能量大于产物P的总能量,因此进程I是放热反应,A说法正确;
B.进程Ⅱ中使用了催化剂X,但是催化剂不能改变平衡产率,因此在两个进程中平衡时P的
产率相同,B说法不正确;
C.进程Ⅲ中由S?Y转化为P?Y的活化能高于进程Ⅱ中由S?X转化为P?X的活化能,由于这两步反应分别是两个进程的决速步骤,因此生成P的速率为Ⅲ<Ⅱ,C说法不正确;
D.由图中信息可知,进程Ⅳ中S吸附到Z表面生成S?Z,然后S?Z转化为产物P?Z,由于P?Z没有转化为P+Z,因此,Z没有表现出催化作用,D说法正确;
综上所述,本题选AD。
13. 为探究
的性质,进行了如下实验(
和
溶液浓度均为
)。
实验 | 操作与现象 |
① | 在 |
② | 在 再滴加 |
③ | 在 将上述混合液分成两份,一份滴加 另一份煮沸,产生红褐色沉淀。 |
依据上述实验现象,结论不合理的是
A. 实验①说明加热促进
水解反应
B. 实验②说明
既发生了水解反应,又发生了还原反应
C. 实验③说明
发生了水解反应,但没有发生还原反应
D. 整个实验说明
对
的水解反应无影响,但对还原反应有影响
【参考答案】D
【分析】铁离子水解显酸性,亚硫酸根离子水解显碱性,两者之间存在相互促进的水解反应,同时铁离子具有氧化性,亚硫酸根离子具有还原性,两者还会发生氧化还原反应,在同一反应体系中,铁离子的水解反应与还原反应共存并相互竞争,结合实验分析如下:实验①为对照实验,说明铁离子在水溶液中显棕黄色,存在水解反应Fe3++3H2O
Fe(OH)3+3H+,煮沸,促进水解平衡正向移动,得到红褐色的氢氧化铁胶体;实验②说明少量亚硫酸根离子加入铁离子后,两者发生水解反应得到红褐色的氢氧化铁胶体;根据铁氰化钾检测结果可知,同时发生氧化还原反应,使铁离子被还原为亚铁离子,而出现特征蓝色沉淀;实验③通过反滴操作,根据现象描述可知,溶液仍存在铁离子的水解反应,但由于铁离子少量,没检测出亚铁离子的存在,说明铁离子的水解反应速率快,铁离子的还原反应未来得及发生。
【详解】A.铁离子的水解反应为吸热反应,加热煮沸可促进水解平衡正向移动,使水解程度加深,生成较多的氢氧化铁,从而使溶液显红褐色,故A正确;
B.在5mLFeCl3溶液中滴加2滴同浓度的Na2SO3溶液,根据现象和分析可知,Fe3+既发生了水解反应,生成红褐色的氢氧化铁,又被亚硫酸根离子还原,得到亚铁离子,加入铁氰化钾溶液后,出现特征蓝色沉淀,故B正确;
C.实验③中在5mL Na2SO3溶液中滴加2滴同浓度少量FeCl3溶液,根据现象和分析可知,仍发生铁离子的水解反应,但未来得及发生铁离子的还原反应,即水解反应比氧化还原反应速率快,故C正确;
D.结合三组实验,说明铁离子与亚硫酸根离子混合时,铁离子的水解反应占主导作用,比氧化还原反应的速率快,因证据不足,不能说明亚硫酸离子对铁离子的水解作用无影响,事实上,亚硫酸根离子水解显碱性,可促进铁离子的水解反应,故D错误。
综上所述,答案为D。
14. 向体积均为1L的两恒容容器中分别充入
和
发生反应:
,其中甲为绝热过程,乙为恒温过程,两反应体系的压强随时间的变化曲线如图所示。下列说法正确的是

A.
B. 气体的总物质的量:![]()
C. a点平衡常数:
D. 反应速率:![]()
【参考答案】B
【详解】A.甲容器在绝热条件下,随着反应的进行,压强先增大后减小,根据理想气体状态方程PV=nRT可知,刚开始压强增大的原因是因为容器温度升高,则说明上述反应过程放热,即
<0,故A错误;
B.根据A项分析可知,上述密闭溶液中的反应为放热反应,图中a点和c点的压强相等,因甲容器为绝热过程,乙容器为恒温过程,若两者气体物质的量相等,则甲容器压强大于乙容器压强,则说明甲容器中气体的总物质的量此时相比乙容器在减小即气体总物质的量:na<nc,故B正确;
C.a点为平衡点,此时容器的总压为p,假设在恒温恒容条件下进行,则气体的压强之比等于气体的物质的量(物质的量浓度)之比,所以可设Y转化的物质的量浓度为xmol?L?1,则列出三段式如下:
,则有
,计算得到x=0.75,那么化学平衡常数K=
,又甲容器为绝热条件,等效为恒温条件下升温,平衡逆向移动,则平衡常数减小即平衡常数K<12,故C错误;
D.根据图像可知,甲容器达到平衡的时间短,温度高,所以达到平衡的速率相对乙容器的快,即Va正>Vb正,故D错误。
综上所述,答案为B。
三、非选择题:包括必考题和选考题两部分。第15~17题为必考题,每个试题考生都必须作答。第18、19题为选考题,考生根据要求作答。
(一)必考题:此题包括3小题,共39分。
15. 某实验小组以
溶液为原料制备
,并用重量法测定产品中
的含量。设计了如下实验方案:
可选用试剂:
晶体、
溶液、浓
、稀
、
溶液、蒸馏水
步骤1.
的制备
按如图所示装置进行实验,得到
溶液,经一系列步骤获得
产品。

步骤2,产品中
的含量测定
①称取产品
,用
水溶解,酸化,加热至近沸;
②在不断搅拌下,向①所得溶液逐滴加入热的
溶液,
③沉淀完全后,
水浴40分钟,经过滤、洗涤、烘干等步骤,称量白色固体,质量为
。
回答下列问题:
(1)Ⅰ是制取_______气体的装置,在试剂a过量并微热时,发生主要反应的化学方程式为_______;
(2)Ⅰ中b仪器的作用是_______;Ⅲ中的试剂应选用_______;
(3)在沉淀过程中,某同学在加入一定量热的
溶液后,认为沉淀已经完全,判断沉淀已完全的方法是_______;
(4)沉淀过程中需加入过量的
溶液,原因是_______;
(5)在过滤操作中,下列仪器不需要用到的是_______(填名称);

(6)产品中
的质量分数为_______(保留三位有效数字)。
【参考答案】(1) ①. HCl ②. H2SO4(浓)+NaCl
NaHSO4+HCl↑
(2) ①. 防止倒吸 ②. CuSO4溶液
(3)静置,取上层清液于一洁净试管中,继续滴加硫酸溶液,无白色沉淀生成,则已沉淀完全
(4)使钡离子沉淀完全
(5)锥形瓶(6)97.6%
【分析】装置I中浓硫酸和氯化钠共热制备HCl,装置II中氯化氢与BaS溶液反应制备BaCl2·2H2O,装置III中硫酸铜溶液用于吸收生成的H2S,防止污染空气。
【小问1详解】
由分析可知,装置I为浓硫酸和氯化钠共热制取HCl气体的装置,在浓硫酸过量并微热时,浓硫酸与氯化钠反应生成硫酸氢钠和氯化氢,发生主要反应的化学方程式为:H2SO4(浓)+NaCl
NaHSO4+HCl↑。
【小问2详解】
氯化氢极易溶于水,装置II中b仪器的作用是:防止倒吸;装置II中氯化氢与BaS溶液反应生成H2S,H2S有毒,对环境有污染,装置III中盛放CuSO4溶液,用于吸收H2S。
【小问3详解】
硫酸与氯化钡反应生成硫酸钡沉淀,因此判断沉淀已完全的方法是静置,取上层清液于一洁净试管中,继续滴加硫酸溶液,无白色沉淀生成,则已沉淀完全。
【小问4详解】
为了使钡离子沉淀完全,沉淀过程中需加入过量的硫酸溶液。
【小问5详解】
过滤用到的仪器有:铁架台、烧杯、漏斗、玻璃棒,用不到锥形瓶。
【小问6详解】
由题意可知,硫酸钡的物质的量为:
=0.002mol,依据钡原子守恒,产品中BaCl2·2H2O的物质的量为0.002mol,质量为0.002mol
244g/mol=0.488g,质量分数为:
100%=97.6%。
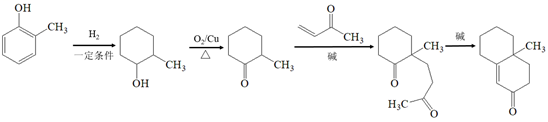
16. 2021年我国制氢量位居世界第一,煤的气化是一种重要的制氢途径。回答下列问题:
(1)在一定温度下,向体积固定的密闭容器中加入足量的
和
,起始压强为
时,发生下列反应生成水煤气:
Ⅰ.![]()
Ⅱ.![]()
①下列说法正确的是_______;
A.平衡时向容器中充入惰性气体,反应Ⅰ的平衡逆向移动
B.混合气体的密度保持不变时,说明反应体系已达到平衡
C.平衡时
的体积分数可能大于![]()
D.将炭块粉碎,可加快反应速率
②反应平衡时,
的转化率为
,CO的物质的量为
。此时,整个体系_______(填“吸收”或“放出”)热量_______kJ,反应Ⅰ的平衡常数
_______(以分压表示,分压=总压×物质的量分数)。
(2)一种脱除和利用水煤气中
方法的示意图如下:

①某温度下,吸收塔中
溶液吸收一定量的
后,
,则该溶液的
_______(该温度下
的
);
②再生塔中产生
的离子方程式为_______;
③利用电化学原理,将
电催化还原为
,阴极反应式为_______。
【参考答案】(1) ①. BD ②. 吸收 ③. 13.14 ④. ![]()
(2) ①. 10 ②. 2![]()
CO2↑+
+H2O ③. 2CO2+12e-+12H+=C2H4+4H2O
【小问1详解】
①A.在恒温恒容条件下,平衡时向容器中充入情性气体不能改变反应混合物的浓度,因此反应Ⅰ的平衡不移动,A说法不正确;
B.在反应中有固体C转化为气体,气体的质量增加,而容器的体积不变,因此气体的密度在反应过程中不断增大,当混合气体的密度保持不变时,说明反应体系已达到平衡,B说法正确;
C.若C(s)和H2O(g)完全反应全部转化为CO2(g)和H2(g),由C(s)+ 2H2O(g) = CO2(g)+ 2H2(g)可知,H2的体积分数的极值为
,由于可逆反应只有一定的限度,反应物不可能全部转化为生成物,因此,平衡时H2的体积分数不可能大于
,C说法不正确;
D.将炭块粉碎可以增大其与H2O(g)的接触面积,因此可加快反应速率,D说法正确;
综上所述,相关说法正确的是BD。
②反应平衡时,H2O(g)的转化率为50%,则水的变化量为0.5mol,水的平衡量也是0.5mol,由于CO的物质的量为0.1mol,则根据O原子守恒可知CO2的物质的量为0.2mol,根据相关反应的热化学方程式可知,生成0.1mol CO要吸收热量13.14kJ ,生成0.2mol CO2要放出热量8.22kJ此时,因此整个体系吸收热量13.14kJ-8.22kJ=4.92kJ;由H原子守恒可知,平衡时H2的物质的量为0.5mol,CO的物质的量为0.1mol,CO2的物质的量为0.2mol,水的物质的量为0.5mol,则平衡时气体的总物质的量为0.5mol+0.1mol+0.2mol+0.5mol=1.3mol,在同温同体积条件下,气体的总压之比等于气体的总物质的量之比,则平衡体系的总压为0.2MPa
1.3=0.26MPa,反应I(C(s)+H2O(g)
CO(g)+H2(g))的平衡常数Kp=
。
【小问2详解】
①某温度下,吸收塔中K2CO3溶液吸收一定量的CO2后,c(
):c(
)=1:2,由
可知,
=
,则该溶液的pH=10;
②再生塔中KHCO3受热分解生成K2CO3、H2O和CO2,该反应的离子方程式为2![]()
CO2↑+
+H2O;
③利用电化学原理,将CO2电催化还原为C2H4,阴极上发生还原反应,阳极上水放电生成氧气和H+,H+通过质子交换膜迁移到阴极区参与反应,则阴极的电极反应式为2CO2+12e-+12H+=C2H4+4H2O。
17. 钛(Ti)及其合金是理想的高强度、低密度结构材料。以钛渣(主要成分为
,含少量V、Si和Al的氧化物杂质)为原料,制备金属钛的工艺流程如下:

已知“降温收尘”后,粗
中含有的几种物质的沸点:
物质 |
|
|
|
|
沸点/ | 136 | 127 | 57 | 180 |
回答下列问题:
(1)已知
,
的值只决定于反应体系的始态和终态,忽略
、
随温度的变化。若
,则该反应可以自发进行。根据下图判断:
时,下列反应不能自发进行的是_______。

A.
B. ![]()
C.
D. ![]()
(2)
与C、
,在
的沸腾炉中充分反应后,混合气体中各组分的分压如下表:
物质 |
|
|
|
|
分压 |
|
|
|
|
①该温度下,
与C、
反应的总化学方程式为_______;
②随着温度升高,尾气中
的含量升高,原因是_______。
(3)“除钒”过程中的化学方程式为_______;“除硅、铝”过程中,分离
中含
、
杂质的方法是_______。
(4)“除钒”和“除硅、铝”的顺序_______(填“能”或“不能”)交换,理由是_______。
(5)下列金属冶炼方法与本工艺流程中加入
冶炼
的方法相似的是_______。
A. 高炉炼铁 B. 电解熔融氯化钠制钠 C. 铝热反应制锰 D. 氧化汞分解制汞
【参考答案】(1)C(2) ①. 5TiO2+6C+10Cl2
5TiCl4+2CO+4CO2 ②. 随着温度升高,CO2与C发生反应
(3) ①. 3VOCl3+Al=3VOCl2+AlCl3 ②. 蒸馏
(4) ①. 不能 ②. 若先“除硅、铝”再“除钒”,“除钒”时需要加入Al,又引入Al杂质;(5)AC
【分析】钛渣中加入C、Cl2进行沸腾氯化,转化为相应的氯化物,降温收尘后得到粗TiCl4,加入单质Al除钒,再除硅、铝得到纯TiCl4,加入Mg还原得到Ti。
【小问1详解】
记①
,②
,③
,④
;
A.由图可知,600℃时
的
,反应自发进行,故A不符合题意;
B.由图可知,600℃时
的
,反应自发进行,故B不符合题意;
C.由图可知,600℃时
的
,反应不能自发进行,故C符合题意;
D.根据盖斯定律,
可由①+③得到,则600℃时其
,反应自发进行,故D不符合题意;
故选C;
【小问2详解】
①根据表中数据可知,该温度下C主要生成CO和CO2,根据相同条件下气体的压强之比是物质的量之比可知TiCl4、CO和CO2的物质的量之比约是5:2:4,所以TiO2与C、Cl2反应的总化学方程式为5TiO2+6C+10Cl2
5TiCl4+2CO+4CO2,故答案为:5TiO2+6C+10Cl2
5TiCl4+2CO+4CO2;
②随着温度升高,CO2与C发生反应
,导致CO含量升高,故答案为:随着温度升高,CO2与C发生反应
;
【小问3详解】
“降温收尘”后钒元素主要以VOCl3形式存在,加入Al得到VOCl2渣,根据得失电子守恒和
元素守恒配平方程式为3VOCl3+Al=3VOCl2+AlCl3;AlCl3、SiCl4与TiCl4沸点差异较大,“除硅、铝"过程中可采用蒸馏的方法分离AlCl3、SiCl4,故答案为:3VOCl3+Al=3VOCl2+AlCl3;蒸馏;
【小问4详解】
若先“除硅、铝”再“除钒”,“除钒”时需要加入Al,又引入Al杂质,因此“除钒”和“除硅、铝”的顺序不能交换,故答案为:不能;若先“除硅、铝”再“除钒”,“除钒”时需要加入Al,又引入Al杂质;
【小问5详解】
本工艺中加入Mg冶炼Ti的方法为热还原法;
A.高炉炼铁的原理是用还原剂将铁矿石中铁的氧化物还原成金属铁,属于热还原法,故A符合题意;
B.电解熔融氯化钠制取金属钠的原理是电解法,故B不符合题意;
C.铝热反应制锰是利用Al作还原剂,将锰从其化合物中还原出来,为热还原法,故C符合题意;
D.Hg为不活泼金属,可以直接用加热分解氧化汞的方法制备汞,故D不符合题意;
故答案选AC,故答案为:AC。
(二)选考题:共15分。请考生从给出的两道题中任选一题作答。如果多做,则按所做的第一题计分。
[选修3:物质结构与性质]
18. 铁和硒(
)都是人体所必需的微量元素,且在医药、催化、材料等领域有广泛应用,回答下列问题:
(1)乙烷硒啉(Ethaselen)是一种抗癌新药,其结构式如下:

①基态
原子的核外电子排布式为
_______;
②该新药分子中有_______种不同化学环境的C原子;
③比较键角大小:气态
分子_______
离子(填“>”“<”或“=”),原因是_______。
(2)富马酸亚铁
是一种补铁剂。富马酸分子的结构模型如图所示:

①富马酸分子中
键与
键的数目比为_______;
②富马酸亚铁中各元素的电负性由大到小的顺序为_______。
(3)科学家近期合成了一种固氮酶模型配合物,该物质可以在温和条件下直接活化
,将
转化为
,反应过程如图所示:

①产物中N原子的杂化轨道类型为_______;
②与
互为等电子体的一种分子为_______(填化学式)。
(4)钾、铁、硒可以形成一种超导材料,其晶胞在xz、yz和xy平面投影分别如图所示:

①该超导材料的最简化学式为_______;
②Fe原子的配位数为_______;
③该晶胞参数
、
。阿伏加德罗常数的值为
,则该晶体的密度为_______
(列出计算式)。
【参考答案】(1) ①. [Ar] 3d104s24p4 ②. 6 ③. > ④. SeO3的空间构型为平面三角形,SeO
的空间构型为三角锥形
(2) ①. 11:3 ②. O>C>H>Fe
(3) ①. sp3杂化 ②. H2O
(4) ①. KFe2Se2 ②. 4 ③. ![]()
【小问1详解】
①硒元素的原子序数为34,基态原子的电子排布式为[Ar] 3d104s24p4,故答案为:[Ar] 3d104s24p4;
②由结构简式可知,乙烷硒啉的分子结构对称,分子中含有6种化学环境不同的碳原子,故答案为:6;
③三氧化硒分子中硒原子的价层电子对数为3,孤对电子对数为0,分子的空间构型为平面三角形,键角为120°,亚硒酸根离子中硒原子的价层电子对数为4,孤对电子对数为1,离子的空间构型为三角锥形,键角小于120°,故答案为:>;SeO3的空间构型为平面三角形,SeO
的空间构型为三角锥形;
【小问2详解】
①由球棍模型可知,富马酸的结构式为HOOCCH=CHCOOH,分子中的单键为σ键,双键中含有1个σ键和1个π键,则分子中σ键和π键的数目比为11:3,故答案为:11:3;
②金属元素的电负性小于非金属元素,则铁元素的电负性最小,非金属元素的非金属性越强,电负性越大,氢碳氧的非金属性依次增强,则电负性依次增大,所以富马酸亚铁中四种元素的电负性由大到小的顺序为O>C>H>Fe,故答案为:O>C>H>Fe;
【小问3详解】
①由结构简式可知,产物中氮原子的价层电子对数为4,原子的杂化方式为sp3杂化,故答案为:sp3杂化;
②水分子和氨基阴离子的原子个数都为3、价电子数都为8,互为等电子体,故答案为:H2O;
【小问4详解】
①由平面投影图可知,晶胞中位于顶点和体心的钾原子个数为8×
+1=2,均位于棱上和面上的铁原子和硒原子的个数为12×
+2×
=4,则超导材料最简化学式为KFe2Se2,故答案为:KFe2Se2;
②由平面投影图可知,位于棱上的铁原子与位于面上的硒原子的距离最近,所以铁原子的配位数为4,故答案为:4;
③设晶体的密度为dg/cm3,由晶胞的质量公式可得:
=abc×10—21×d,解得d=
,故答案为:
。
[选修5:有机化学基础]
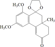
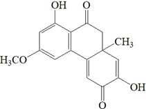
19. 物质J是一种具有生物活性的化合物。该化合物的合成路线如下:

已知:①
+[Ph3
CH2R']Br-![]()
;
②![]()
![]()

回答下列问题:
(1)A中官能团的名称为_______、_______;
(2)F→G、G→H的反应类型分别是_______、_______;
(3)B的结构简式为_______;
(4)C→D反应方程式为_______;
(5)
是一种重要的化工原料,其同分异构体中能够发生银镜反应的有_______种(考虑立体异构),其中核磁共振氢谱有3组峰,且峰面积之比为
的结构简式为_______;
(6)Ⅰ中的手性碳原子个数为_______(连四个不同的原子或原子团的碳原子称为手性碳原子);
(7)参照上述合成路线,以
和
为原料,设计合成
的路线_______(无机试剂任选)。
【参考答案】(1) ①. 醚键 ②. 醛基
(2) ①. 取代反应 ②. 加成反应
(3)
(4)
(5) ①. 4 ②. ![]()
(6)1(7)
【分析】A(
)和
反应生成B(C12H14O4),根据“已知①”可以推出B的结构简式为
;B和HCOONH4发生反应得到C(C12H16O4),C又转化为D(C12O14O3),根据“已知②”可推出C的结构简式为
,D的结构简式为
;D和HOCH2CH2OH反应生成E(
);E在一定条件下转化为F(
);F和CH3I在碱的作用下反应得到G(C15H18O5),G和
反应得到H(
),对比F和H的结构简式可得知G的结构简式为
;H再转化为I(
);I最终转化为J(
)。
【小问1详解】
A的结构简式为
,其官能团为醚键和醛基。
【小问2详解】
由分析可知,G的结构简式为
,对比F和G的结构简式可知F→G的反应为取代反应;G→H反应中,
的碳碳双键变为碳碳单键,则该反应为加成反应。
【小问3详解】
由分析可知,B的结构简式为
。
【小问4详解】
由分析可知,C、D的结构简式分别为C的结构简式为
、
,则C→D的化学方程式为
。
【小问5详解】
的同分异构体能发生银镜反应,说明该物质含有醛基,根据分子式C4H6O可得
知,该物质还含有碳碳双键或者三元环,则符合条件的同分异构体有4种,它们分别是CH2=CHCH2CHO、
、
和
,其中核磁共振氢谱有3组峰,且峰面积之比为4:1:1的结构简式是
。
【小问6详解】
连四个不同的原子或原子团的碳原子成为手性碳原子,则I中手性碳原子的个数为1,是连有甲基的碳原子。
【小问7详解】
结合G→I的转化过程可知,可先将
转化为
,再使
和
反应生成
,并最终转化为
;综上所述,合成路线为:



