2022年河北中考数学试题及答案
一、选择题(本大题共16个小题.1~10小题每题3分,11~16小题每题2分,共42分.在每小题给出的四个选项中,只有一项是符合题目要求的)
1. 计算
得
,则“?”是()
A. 0 B. 1 C. 2 D. 3
【答案】C
【详解】
,则“?”是2,
故选:C.
2. 如图,将△ABC折叠,使AC边落在AB边上,展开后得到折痕l,则l是△ABC的()

A. 中线 B. 中位线 C. 高线 D. 角平分线
【答案】D
【详解】解:如图,

∵由折叠的性质可知
,
∴AD是
的角平分线,
故选:D.
3. 与
相等的是()
A.
B.
C.
D. ![]()
【答案】A
【详解】A、
,故此选项符合题意;
B、
,故此选项不符合题意;
C、
,故此选项不符合题意;
D、
,故此选项不符合题意;
故选:A.
4. 下列正确的是()
A.
B.
C.
D. ![]()
【答案】B
【详解】解:A.
,故错误;
B.
,故正确;
C.
,故错误;
D.
,故错误;
故选:B.
5. 如图,将三角形纸片剪掉一角得四边形,设△ABC与四边形BCDE的外角和的度数分别为
,
,则正确的是()

A.
B. ![]()
C.
D. 无法比较
与
的大小
【答案】A
【详解】解:∵多边形的外角和为
,
∴△ABC与四边形BCDE的外角和
与
均为
,
∴
,
故选:A.
6. 某正方形广场的边长为
,其面积用科学记数法表示为()
A.
B.
C.
D. ![]()
【答案】C
【详解】解:面积为:
,
故选:C.
7. ①~④是由相同的小正方体粘在一起的几何体,若组合其中的两个,恰是由6个小正方体构成的长方体,则应选择()

A. ①③ B. ②③ C. ③④ D. ①④
【答案】D
【详解】解:观察图形可知,①~④的小正方体的个数分别为4,3,3,2,其中②③组合不能构成长方体,①④组合符合题意
故选D
8. 依据所标数据,下列一定为平行四边形的是()
A.
B.
C.
D. 
【答案】D
【详解】解:平行四边形对角相等,故A错误;
一组对边平行不能判断四边形是平行四边形,故B错误;
三边相等不能判断四边形是平行四边形,故C错误;
一组对边平行且相等的四边形是平行四边形,故D正确;
故选:D.
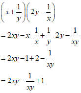
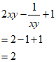
9. 若x和y互为倒数,则![]()
值是()
A. 1 B. 2 C. 3 D. 4
【答案】B
【详解】
∵x和y互为倒数
∴![]()

故选:B
10. 某款“不倒翁”(图1)的主视图是图2,PA,PB分别与
所在圆相切于点A,B.若该圆半径是9cm,∠P=40°,则
的长是()

A.
cm B.
cm C.
cm D.
cm
【答案】A
【详解】解:如图,

PA,PB分别与
所在圆相切于点A,B.
,
∠P=40°,
,
该圆半径是9cm,
cm,
故选:A.
11. 要得知作业纸上两相交直线AB,CD所夹锐角的大小,发现其交点不在作业纸内,无法直接测量.两同学提供了如下间接测量方案(如图1和图2):对于方案Ⅰ、Ⅱ,说法正确的是()


A. Ⅰ可行、Ⅱ不可行 B. Ⅰ不可行、Ⅱ可行 C. Ⅰ、Ⅱ都可行 D. Ⅰ、Ⅱ都不可行
【答案】C
【详解】方案Ⅰ:如下图,
即为所要测量的角

∵![]()
∴![]()
∴![]()
故方案Ⅰ可行
方案Ⅱ:如下图,
即为所要测量的角

在
中:![]()
则:![]()
故方案Ⅱ可行
故选:C
12. 某项工作,已知每人每天完成的工作量相同,且一个人完成需12天.若m个人共同完成需n天,选取6组数对
,在坐标系中进行描点,则正确的是()
A.
B. 
C.
D. 
【答案】C
【详解】解:依题意,![]()
,
,
且为整数.
故选C.
13. 平面内,将长分别为1,5,1,1,d的线段,顺次首尾相接组成凸五边形(如图),则d可能是()

A. 1 B. 2 C. 7 D. 8
【答案】C
【详解】解:如图,设这个凸五边形![]()
,连接
,并设
,

在
中,
,即
,
在
中,
,即
,
所以
,
,
在
中,
,
所以
,
观察四个选项可知,只有选项C符合,
故选:C.
14. 五名同学捐款数分别是5,3,6,5,10(单位:元),捐10元的同学后来又追加了10元.追加后的5个数据与之前的5个数据相比,集中趋势相同的是()
A. 只有平均数 B. 只有中位数 C. 只有众数 D. 中位数和众数
【答案】D
【详解】解:追加前的平均数为:
(5+3+6+5+10)=5.8;
从小到大排列为3,5,5,6,10,则中位数为5;
5出现次数最多,众数为5;
追加后的平均数为:
(5+3+6+5+20)=7.8;
从小到大排列为3,5,5,6,20,则中位数为5;
5出现次数最多,众数为5;
综上,中位数和众数都没有改变,
故选:D.
15. “曹冲称象”是流传很广的故事,如图.按照他的方法:先将象牵到大船上,并在船侧面标记水位,再将象牵出.然后往船上抬入20块等重的条形石,并在船上留3个搬运工,这时水位恰好到达标记位置.如果再抬入1块同样的条形石,船上只留1个搬运工,水位也恰好到达标记位置.已知搬运工体重均为120斤,设每块条形石的重量是x斤,则正确的是()

A. 依题意
B. 依题意![]()
C. 该象的重量是5040斤 D. 每块条形石的重量是260斤
【答案】B
【详解】解:根据题意可得方程;![]()
故选:B.
16. 题目:“如图,∠B=45°,BC=2,在射线BM上取一点A,设AC=d,若对于d的一个数值,只能作出唯一一个△ABC,求d的取值范围.”对于其答案,甲答:
,乙答:d=1.6,丙答:
,则正确的是()

A. 只有甲答的对 B. 甲、丙答案合在一起才完整
C. 甲、乙答案合在一起才完整 D. 三人答案合在一起才完整
【答案】B
【详解】过点C作
于
,在
上取![]()

∵∠B=45°,BC=2,![]()
∴
是等腰直角三角形
∴![]()
∵![]()
∴![]()
若对于d的一个数值,只能作出唯一一个△ABC
通过观察得知:
点A在
点时,只能作出唯一一个△ABC(点A在对称轴上),此时
,即丙的答案;
点A在
射线上时,只能作出唯一一个△ABC(关于
对称的AC不存在),此时
,即甲的答案,
点A在
线段(不包括
点和
点)上时,有两个△ABC(二者的AC边关于
对称);
故选:B
二、填空题(本大题共3个小题,每小题3分,共9分.其中18小题第一空2分,第二空1分;19小题每空1分)
17. 如图,某校运会百米预赛用抽签方式确定赛道.若琪琪第一个抽签,她从1~8号中随机抽取一签,则抽到6号赛道的概率是______.

【答案】![]()
【详解】解:根据题意得:抽到6号赛道的概率是
.
故答案为:![]()
18. 如图是钉板示意图,每相邻4个钉点是边长为1个单位长的小正方形顶点,钉点A,B的连线与钉点C,D的连线交于点E,则
(1)AB与CD是否垂直?______(填“是”或“否”);
(2)AE=______.

【答案】 ①. 是 ②.
##![]()
【详解】解:(1)如图:AC=CF=2,CG=DF=1,∠ACG=∠CFD=90°,
∴△ACG≌△CFD,
∴∠CAG=∠FCD,
∵∠ACE+∠FCD=90°,
∴∠ACE+∠CAG=90°,
∴∠CEA=90°,
∴AB与CD是垂直的,
故答案为:是;
(2)AB=
2
,
∵AC∥BD,
∴△AEC∽△BED,
∴
,即
,
∴
,
∴AE=
BE=
.
故答案为:
.

19. 如图,棋盘旁有甲、乙两个围棋盒.
(1)甲盒中都是黑子,共10个,乙盒中都是白子,共8个,嘉嘉从甲盒拿出a个黑子放入乙盒,使乙盒棋子总数是甲盒所剩棋子数的2倍,则a=______;
(2)设甲盒中都是黑子,共
个,乙盒中都是白子,共2m个,嘉嘉从甲盒拿出
个黑子放入乙盒中,此时乙盒棋子总数比甲盒所剩棋子数多______个;接下来,嘉嘉又从乙盒拿回a个棋子放到甲盒,其中含有
个白子,此时乙盒中有y个黑子,则
的值为______.

【答案】 ①. 4 ②.
③. 1
【详解】答题空1:
原甲:10 | 原乙:8 |
现甲:10-a | 现乙:8+a |
依题意:![]()
解得:![]()
故答案为:4
答题空2:
原甲:m | 原乙:2m |
现甲1:m-a | 现乙1:2m+a |
第一次变化后,乙比甲多:![]()
故答案为:![]()
答题空3:
原甲:m黑 | 原乙:2m白 |
现甲1:m黑-a黑 | 现乙1:2m白+a黑 |
现甲2:m黑-a黑+a混合 | 现乙2:2m白+a黑-a混合 |
第二次变化,变化的a个棋子中有x个白子,
个黑子
则:![]()
![]()
故答案为:1
三、解答题(本大题共7个小题,共69分.解答应写出文字说明、证明过程或演算步骤)
20. 整式
的值为P.

(1)当m=2时,求P的值;
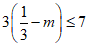
(2)若P的取值范围如图所示,求m的负整数值.
【答案】(1)![]()
(2)![]()
【小问1详解】
解:∵![]()
当
时,![]()
![]()
;
【小问2详解】
![]()
,由数轴可知
,
即
,
,
解得
,
![]()
的负整数值为
.
21. 某公司要在甲、乙两人中招聘一名职员,对两人的学历、能力、经验这三项进行了测试,各项满分均为10分,成绩高者被录用.图1是甲、乙测试成绩的条形统计图.

(1)分别求出甲、乙三项成绩之和,并指出会录用谁;
(2)若将甲、乙的三项测试成绩,按照扇形统计图(图2)各项所占之比,分别计算两人各自的综合成绩,并判断是否会改变(1)的录用结果.
【答案】(1)甲(2)乙
【小问1详解】
解:甲三项成绩之和为:9+5+9=23;
乙三项成绩之和为:8+9+5=22;
录取规则是分高者录取,所以会录用甲.
【小问2详解】
“能力”所占比例为:
;
“学历”所占比例为:
;
“经验”所占比例为:
;
∴“能力”、“学历”、“经验”的比为3:2:1;
甲三项成绩加权平均为:
;
乙三项成绩加权平均为:
;
所以会录用乙.
22. 发现两个已知正整数之和与这两个正整数之差的平方和一定是偶数,且该偶数的一半也可以表示为两个正整数的平方和.验证:如,
为偶数,请把10的一半表示为两个正整数的平方和.探究:设“发现”中的两个已知正整数为m,n,请论证“发现”中的结论正确.
【答案】验证:
;论证见解析
【详解】证明:验证:10的一半为5,
;
设“发现”中的两个已知正整数为m,n,
∴
,其中
为偶数,
且其一半
正好是两个正整数m和n的平方和,
∴“发现”中的结论正确.
【点睛】本题考查列代数式,根据题目要求列出代数式是解答本题的关键.
23. 如图,点
在抛物线C:
上,且在C的对称轴右侧.

(1)写出C的对称轴和y的最大值,并求a的值;
(2)坐标平面上放置一透明胶片,并在胶片上描画出点P及C的一段,分别记为
,
.平移该胶片,使
所在抛物线对应的函数恰为
.求点
移动的最短路程.
【答案】(1)对称轴为直线
,
的最大值为4,![]()
(2)5
【小问1详解】
,
∴对称轴为直线
,
∵
,
∴抛物线开口向下,有最大值,即
的最大值为4,
把
代入
中得:
,
解得:
或
,
∵点
在C的对称轴右侧,
∴
;
【小问2详解】
∵
,
∴
是由
向左平移3个单位,再向下平移4个单位得到,
平移距离为
,
∴
移动的最短路程为5.
24. 如图,某水渠的横断面是以AB为直径的半圆O,其中水面截线
.嘉琪在A处测得垂直站立于B处的爸爸头顶C的仰角为14°,点M的俯角为7°.已知爸爸的身高为1.7m.

(1)求∠C的大小及AB的长;
(2)请在图中画出线段DH,用其长度表示最大水深(不说理由),并求最大水深约为多少米(结果保留小数点后一位).(参考数据:
取4,
取4.1)
【答案】(1)
,![]()
(2)见详解,约
米
【小问1详解】
解:∵水面截线![]()
,
,
,
在
中,
,
,
,
解得
.
【小问2详解】
过点
作
,交MN于D点,交半圆于H点,连接OM,过点M作MG⊥OB于G,如图所示:

水面截线
,
,
,
,
为最大水深,
,
,
,且
,
,
,即
,即
,
在
中,
,
,
,即
,
解得
,
,
最大水深约为
米.
25. 如图,平面直角坐标系中,线段AB的端点为
,
.

(1)求AB所在直线的解析式;
(2)某同学设计了一个动画:在函数
中,分别输入m和n的值,使得到射线CD,其中
.当c=2时,会从C处弹出一个光点P,并沿CD飞行;当
时,只发出射线而无光点弹出.
①若有光点P弹出,试推算m,n应满足的数量关系;
②当有光点P弹出,并击中线段AB上的整点(横、纵坐标都是整数)时,线段AB就会发光,求此时整数m的个数.
【答案】(1)![]()
(2)①
,理由见解析②5
【小问1详解】
解:设直线AB的解析式为
,
把点
,
代入得:
,解得:
,
∴AB所在直线的解析式为
;
【小问2详解】
解:
,理由如下:
若有光点P弹出,则c=2,
∴点C(2,0),
把点C(2,0)代入
得:
;
∴若有光点P弹出,m,n满足的数量关系为
;
②由①得:
,
∴
,
∵点
,
,AB所在直线的解析式为
,
∴线段AB上的其它整点为
,
∵有光点P弹出,并击中线段AB上的整点,
∴直线CD过整数点,
∴当击中线段AB上的整点(-8,19)时,
,即
(不合题意,舍去),
当击中线段AB上的整点(-7,18)时,
,即
,
当击中线段AB上的整点(-6,17)时,17=(-6-2)m,即
(不合题意,舍去),
当击中线段AB上的整点(-5,16)时,16=(-5-2)m,即
(不合题意,舍去),
当击中线段AB上的整点(-4,15)时,15=(-4-2)m,即
(不合题意,舍去),
当击中线段AB上的整点(-3,14)时,14=(-3-2)m,即
(不合题意,舍去),
当击中线段AB上的整点(-2,13)时,13=(-2-2)m,即
(不合题意,舍去),
当击中线段AB上的整点(-1,12)时,12=(-1-2)m,即m=-4,
当击中线段AB上的整点(0,11)时,11=(0-2)m,即
(不合题意,舍去),
当击中线段AB上的整点(1,10)时,10=(1-2)m,即m=-10,
当击中线段AB上的整点(2,9)时,9=(2-2)m,不存在,
当击中线段AB上的整点(3,8)时,8=(3-2)m,即m=8,
当击中线段AB上的整点(4,7)时,7=(4-2)m,即
(不合题意,舍去),
当击中线段AB上的整点(5,6)时,6=(5-2)m,即m=2,
当击中线段AB上的整点(6,5)时,5=(6-2)m,即
(不合题意,舍去),
综上所述,此时整数m的个数为5个.
26. 如图,四边形ABCD中,
,∠ABC=90°,∠C=30°,AD=3,
,DH⊥BC于点H.将△PQM与该四边形按如图方式放在同一平面内,使点P与A重合,点B在PM上,其中∠Q=90°,∠QPM=30°,
.

(1)求证:△PQM≌△CHD;
(2)△PQM从图1的位置出发,先沿着BC方向向右平移(图2),当点P到达点D后立刻绕点D逆时针旋转(图3),当边PM旋转50°时停止.
①边PQ从平移开始,到绕点D旋转结束,求边PQ扫过的面积;
②如图2,点K在BH上,且
.若△PQM右移的速度为每秒1个单位长,绕点D旋转的速度为每秒5°,求点K在△PQM区域(含边界)内的时长;
③如图3.在△PQM旋转过程中,设PQ,PM分别交BC于点E,F,若BE=d,直接写出CF的长(用含d的式子表示).
【答案】(1)见详解(2)①
;
②
;
③![]()
【小问1详解】
∵
,![]()
∴![]()
则在四边形
中
![]()
故四边形
为矩形
,![]()
在
中,![]()
∴
,![]()
∵
∴
;
【小问2详解】
①过点Q作
于S

由(1)得:![]()
在
中,![]()
∴![]()
平移扫过面积:![]()
旋转扫过面积:![]()
故边PQ扫过
面积:![]()
②运动分两个阶段:平移和旋转
平移阶段:
![]()
![]()
旋转阶段:
由线段长度得:![]()
取刚开始旋转状态,以PM为直径作圆,则H为圆心,延长DK与圆相交于点G,连接GH,GM,
过点G作
于T

设
,则![]()
在
中:
![]()
![]()
设
,则
,
,![]()
,
,![]()
∵DM为直径
∴![]()
在
中:![]()
在
中:![]()
![]()
中:![]()
∴
,![]()
PQ转过的角度:![]()
s
总时间:![]()
③旋转
:
设
,![]()
和
中,
由:![]()
得:![]()
由:![]()
![]()
即:![]()
解得:![]()
又∵
,![]()
解得:![]()
旋转
:

设
,在
和
中,
由:![]()
得:![]()
由:![]()
![]()
即:![]()
解得:![]()
又∵
,![]()
解得:
,
综上所述:
.
