考研
985考试网
>
考研
>
频道地图
>
考试试题
> 正文
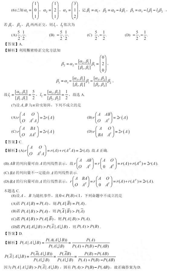
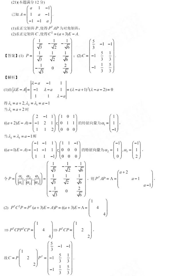
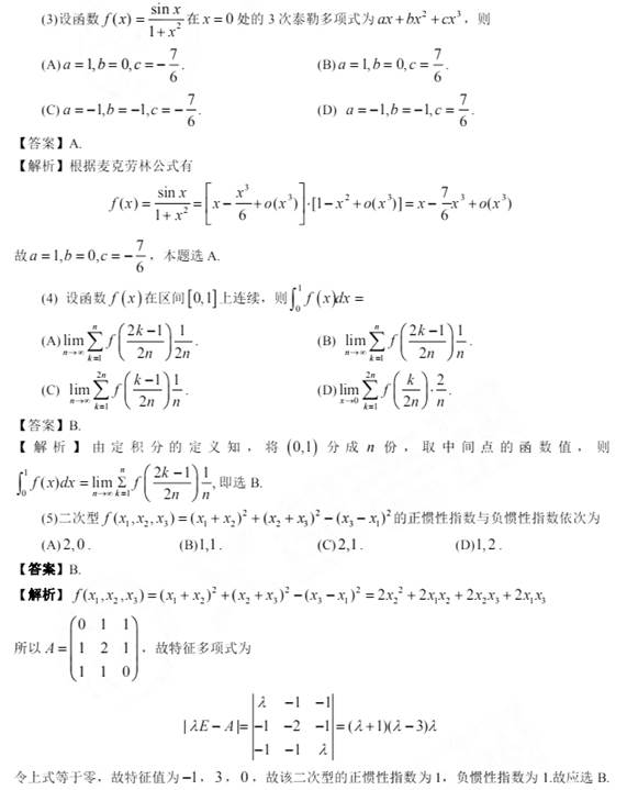
2021年考研数学一试题及答案
时间:2022-11-19 13:42:05
来源:985考试网
2021
年考研数学一试题及答案
【考研】相关文章:
2023年考研数学一试题及答案
2023年考研数学二试题及答案
2023年考研数学三试题及答案
2023年考研管理类专业试题及答案
2021年考研英语二试题及答案
2021年考研英语一试题及答案
2021年考研心理学基础综合试题及答案
2021年考研西医综合试题及答案
2021年考研数学一试题及答案
2021年考研数学三试题及答案
热门文章
2022年考研政治试题及答案
2023年考研数学二试题及答案
2023年考研数学一试题及答案
2017年考研《历史学》试题及答案
2022年考研数学三试题及答案
2021年考研英语二试题及答案
2023年考研管理类专业试题及答案
2022年考研数学二试题及答案