2024年广西中考化学试题及答案
可能用到的相对原子质量:H-1 Li-7 C-12 N-14 O-16
一、单项选择题(本大题共20小题,每小题2分,共40分。在每小题列出的四个备选项中,只有一项符合题目要求,错选、多选或未选均不得分。)
1. 地球是我们共同的家园,保护环境是每一位公民的责任。下列行为不符合该要求的是
A. 随手关闭电灯 B. 直接焚烧垃圾
C. 减少使用塑料袋 D. 使用清洁能源
2. 蔗糖产业被称为“甜蜜的事业”。2023年12月,习近平总书记视察广西时指出,要“把这个特色优势产业做强做大”。吃甘蔗时感觉到甜,这是因为甘蔗中富含
A. 糖类 B. 油脂 C. 蛋白质 D. 无机盐
3. 下列图标中表示“禁止吸烟”的是
A.
B.
C.
D. 
4. 广西铝土矿资源丰富.铝土矿的主要成分是
A. 二氧化硅 B. 氧化铝 C. 四氧化三铁 D. 碳酸钙
5. 潜水员水下作业时需要携带氧气瓶,这是因为氧气
A. 无色无味 B. 密度比空气大 C. 能支持燃烧 D. 能供给呼吸
6. 化学实验操作应严谨、规范。下列实验操作正确的是
A. 量取液体
B. 加热液体
C. 取用药品
D. 过滤
7. 绣球是深受人们喜爱的民族工艺品,制作时用到了棉线。棉线属于
A. 塑料 B. 金属材料 C. 合成橡胶 D. 天然纤维
8. 下列行为不符合实验室安全常识的是
A. 在实验室嬉戏打闹,吃零食
B. 远离火源存放易燃易爆药品
C. 酒精灯不慎被碰倒着火,立即用湿抹布盖灭
D. 眼里溅入药品,立即用水冲洗,必要时送医治疗
9. 野外烧烤结束后,以下做法不合理的是
A. 撤走剩余木炭 B. 用水浇灭火堆
C. 对火堆置之不理 D. 用沙土盖灭火堆
10. 家用净水器经常用活性炭除去水中的色素和异味,其净水方法是
A. 过滤 B. 蒸馏 C. 沉降 D. 吸附
11. 下列物质能在氧气中剧烈燃烧,产生火星四射现象的是
A. 蜡烛 B. 红磷 C. 木炭 D. 铁丝
12. 我国著名化工专家侯德榜发明了联合制碱法,为纯碱工业的发展做出了杰出的贡献。纯碱是指
A. NaOH B. Ca(OH)2 C. Na2CO3 D. CaCO3
13. 实验室要配制50g质量分数为16%的氯化钠溶液,下列做法错误的是
A. 计算:配制该溶液所需氯化钠固体的质量为8.0g
B. 称量:用托盘天平称量所需的氯化钠固体
C. 溶解:将称量好的氯化钠固体倒入量筒中溶解
D. 装瓶:将配制好的溶液装入贴好标签的试剂瓶并盖好瓶塞
14. 碳元素的开发与利用贯穿人类发展史下列含碳物质最早被人类利用的是
A. 煤炭 B. C60 C. 石墨烯 D. 碳纳米管
15. 中国人民革命军事博物馆中珍藏着一枚长满红锈的鱼钩,它承载了红军长征路上的艰辛和战友情。鱼钩生锈涉及反应4Fe(OH)2+O2+2H2O=4Fe(OH)3,该反应属于
A. 分解反应 B. 化合反应 C. 置换反应 D. 复分解反应
16. 氯原子的结构示意图如图所示。氯原子的核电荷数为

A. 2 B. 7 C. 8 D. 17
17. 酚酞(C20H14O4)是常见的酸碱指示剂。酚酞属于
A. 无机化合物 B. 有机化合物 C. 氧化物 D. 单质
18. 下列家务劳动中,涉及乳化作用的是
A. 用洗涤剂清洗衣物的油污 B. 用自来水冲洗地上的灰尘
C. 用食醋清除水壶内的水垢 D. 用洁厕灵除去厕所的污垢
19. 下列实验方案能达到目的的是
选项 | 实验目的 | 实验方案 |
A | 鉴别CO和CO2 | 观察颜色 |
B | 除去CaO中的CaCO3 | 向混合物中加入足量的稀盐酸 |
C | 区别硬水和软水 | 取样,加入肥皂水,振荡,观察现象 |
D | 分离氧化铜和铁粉 | 加入足量水,溶解,过滤 |
A. A B. B C. C D. D
20. 已知1g氮元素大致相当于6.25g蛋白质。通过测定样品中氮元素的含量可以计算出蛋白质的含量部分测定过程如下:①样品+H2SO4→(NH4)2SO4+CO2↑+SO2↑+H2O;②(NH4)2SO4+2NaOH=Na2SO4+2NH3↑+2H2O。
某品牌奶粉部分营养成分表如表:
营养成分 | 蛋白质 | 碳水化合物 | 脂肪 | Ca |
每100g奶粉含量 | 17.5g | 61.2g | 16.2g | 0.55g |
取100g该奶粉样品,测得CO2、NH3的质量分别为a、b。下列说法正确的是
A. 蛋白质在人体内会转化为氨基酸,最终被人体全部吸收
B. 该奶粉样品中碳、氮元素的质量比为17a:44b
C. 若a=8.8g,则该奶粉样品中蛋白质的含碳量为8.8%
D. 若b=3.4g,则该奶粉样品中蛋白质的含量与营养成分表中的基本一致
二、填空题(本大题共5小题,每个化学方程式2分,其余每空1分,共26分。)
21. 用化学用语填空。
(1)钾离子______。
(2)镁元素______。
(3)五氧化二磷分子______。
(4)3个碳原子______。
(5)甲烷______。
22. 请用下列物质对应的序号填空。
①石墨 ②氧化钙 ③酒精 ④小苏打 ⑤钛合金
(1)可用作航空、航天材料的是______。
(2)可用作燃料的是______。
(3)可用作食品干燥剂的是______。
(4)可用于制作铅笔芯的是______。
(5)可用于制作面包发酵剂的是______。
23. 《梦溪笔谈》中“古人以剂钢为刃,柔铁为茎干”“熬胆矾铁釜,久之亦化为铜”记录了古代铁器生产、使用的情形。回答问题:
(1)炼铁的原理是利用CO与Fe2O3的反应。Fe2O3中Fe的化合价为______。
(2)“剂钢”指的是合金钢,钢的硬度比纯铁的______(填“大”或“小”)。每年有大量的钢铁被锈蚀,请提出一条钢铁防锈的措施______。
(3)人类对铁的利用比铜晚了1500多年,这是因为铁的金属活动性比铜的_____(填“强”或“弱”)。已知胆矾溶于水得到硫酸铜溶液,请用化学方程式解释“熬胆矾铁釜,久之亦化为铜”的原因:_____。
24. 某研学小组进入柑橘园劳动。农技人员介绍,柑橘的产量和品质受到肥效和土壤酸碱性等因素的影响。回答问题:
(1)柑橘富含维生素C(C6H8O6),维生素C分子中C、H、O原子个数比为______。人体缺少维生素C会引起______(填“佝偻病”或“坏血病”)。
(2)研学小组给柑橘树苗施肥时,对碳铵(NH4HCO3)、尿素[CO(NH2)2]的肥效进行比较,相同质量的两种氮肥中,含氮量较高的是_______。
(3)研学小组测得某处土壤pH=4,说明该土壤呈_______性,不利于果树的生长。某钾肥既可以解决此问题,又可以增强果树的抗病虫害能力,该钾肥是______(填字母序号)。
A.碳酸钠 B.氢氧化钙 C.碳酸钾
25. 《天工开物》记载“凡引水种盐,……南风大起,则一宵结成,名曰颗盐”,表明古人已经掌握了制盐工艺。回答问题:
(1)古人的制盐工艺属于_______(填“物理”或“化学”)变化。该工艺获得的“颗盐”属于______(填“混合物”或“纯净物”)。
(2)用化学知识能很好地解释古人的制盐工艺。图为氯化钠的溶解度曲线,20℃时氯化钠的溶解度为______g。此温度下,将9g氯化钠溶解到25g水中,可配得氯化钠的_______(填“饱和”或“不饱和”)溶液;保持温度不变,蒸发部分溶剂,该溶液溶质的质量分数_______(填“变大”“不变”或“变小”)。
三、简答题(本大题共2小题,每个化学方程式2分,其余每空1分,共12分。)
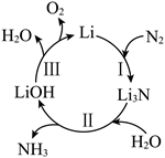
26. 空气中含有大量的氮气,如何将氮气在常温下转化为氨气成为近年研究的热点。一种将氮气转化为氨气的循环过程如图所示。回答问题:

(1)该过程中的LiOH属于______(填“酸”“碱”或“盐”)。
(2)将液态空气升温,N2先变成气态,这说明N2的沸点比O2的_______(填“高”或“低”)。
(3)过程I中发生化合反应的化学方程式为_______。
(4)该过程中能循环使用的物质有_______。
(5)该过程每生成17kg氨气,至少需要补充______kg水。
27. 硫酸锰广泛用于医药、电子工业等领域.以软锰矿(主要成分是MnO2,含少量Fe2O3、SiO2等杂质)为原料生产硫酸锰的工艺流程如图所示。回答问题:
资料1:2MnO2+C
2MnO+CO2↑、2Fe2O3+3C
4Fe+3CO2↑。
资料2:SiO2不溶于水,也不溶于稀硫酸。
(1)焙烧前将软锰矿和煤炭粉碎的目的是______。
(2)加入过量的煤炭可保证软锰矿中的MnO2充分转化为MnO,生成的气体a中除了CO2外,还可能含有______。
(3)用稀硫酸浸取MnO时发生反应的化学方程式是______。
(4)固体a中的某物质可与稀硫酸反应生成气体b,该物质是______。
(5)为了提高原料的利用率,浓缩结晶后剩下的母液应该_______(填“回收利用”或“直接排放”)。
四、实验探究题(本大题共2小题,每个化学方程式2分,其余每空1分,共16分。)
28. 实验是学习化学的重要途径。回答问题:

(1)仪器①的名称是______。
(2)检查装置气密性是在添加药品______(填“前”或“后”)。
(3)实验室用大理石和稀盐酸制取二氧化碳,其反应的化学方程式是______,可选用的发生装置是______(填装置序号)。若用D装置收集CO2,验满的方法是______。
(4)用A、C装置制取并收集氧气,得到的气体中除氧气外,还含有______;实验完毕后,先将导管移出水槽,再熄灭酒精灯,目的是______。
29. 氢气是一种对环境友好的清洁能源。以水为原料制备氢气在新能源领域备受关注。某兴趣小组为此开展了电解水的实验探究。
任务一 探究电解水产生的气体
(1)兴趣小组向图装置中加入蒸馏水,接通电源后,没有观察到明显现象。查阅课本后,兴趣小组向水中添加少量氢氧化钠溶液,a、b管很快出现了气泡。b管内的气体是______。

任务二 探究物质对电解水产生氢气的速率的影响
资料:加入碳酸钠、硫酸钠、氢氧化钠都可以提高水的电解效率。
(2)甲同学分别取等质量的碳酸钠、硫酸钠、氢氧化钠溶液,溶质的质量分数均为12%,在相同条件下进行实验,产生氢气的速率如图所示。由此可知,在相同条件下,加入______,产生氢气的速率最大。

(3)乙同学取不同质量分数的氢氧化钠溶液,在相同条件下进行实验,其结果如图所示。产生氢气速率的变化趋势为_______。

(4)丙同学从实验室取用了一瓶久置的氢氧化钠固体,在相同条件下进行实验,发现产生氢气的速率比乙同学的小。丙同学猜想速率变小的原因可能是______(用化学方程式解释)。
(5)为了验证猜想,丙同学设计了如图的实验装置。当他滴加稀硫酸时,观察到饱和澄清石灰水变浑浊,他认为猜想正确。同学们讨论后发现,该设计方案不够严谨,其原因是______。请你在该装置的基础上提出改进方法以达到验证目的,该方法是______。

(6)基于安全考虑,老师建议电解水时最好选用碳酸钠溶液,因为NaOH具有______。
五、计算题
30. 物质甲发生某反应的微观示意图如图所示。

(1)该反应的化学方程式是______。加入二氧化锰______(填“能”或“不能”)增加生成丙的质量。
(2)含物质甲3.4g的溶液完全反应可生成物质丙的质量是多少?(写出计算过程)
参考答案
一、单项选择题(本大题共20小题,每小题2分,共40分。在每小题列出的四个备选项中,只有一项符合题目要求,错选、多选或未选均不得分。)
【1题答案】
【答案】B
【2题答案】
【答案】A
【3题答案】
【答案】C
【4题答案】
【答案】B
【5题答案】
【答案】D
【6题答案】
【答案】B
【7题答案】
【答案】D
【8题答案】
【答案】A
【9题答案】
【答案】C
【10题答案】
【答案】D
【11题答案】
【答案】D
【12题答案】
【答案】C
【13题答案】
【答案】C
【14题答案】
【答案】A
【15题答案】
【答案】B
【16题答案】
【答案】D
【17题答案】
【答案】B
【18题答案】
【答案】A
【19题答案】
【答案】C
【20题答案】
【答案】D
二、填空题(本大题共5小题,每个化学方程式2分,其余每空1分,共26分。)
【21题答案】
【答案】(1)K+ (2)Mg
(3)P2O5 (4)3C
(5)CH4
【22题答案】
【答案】(1)⑤ (2)③
(3)② (4)①
(5)④
【23题答案】
【答案】(1)+3 (2) ①. 大 ②. 在铁制品表面刷漆、涂油;保持铁制品表面干燥
(3) ①. 强 ②. ![]()
【24题答案】
【答案】(1) ①. 3:4:3 ②. 坏血病
(2)尿素 (3) ①. 酸 ②. C
【25题答案】
【答案】(1) ①. 物理 ②. 混合物
(2) ①. 36.0 ②. 饱和 ③. 不变
三、简答题(本大题共2小题,每个化学方程式2分,其余每空1分,共12分。)
【26题答案】
【答案】(1)碱 (2)低
(3)6Li+N2=2Li3N
(4)水、锂(或H2O、Li)
(5)27
【27题答案】
【答案】(1)增大接触面积,使其充分反应 (2)CO
(3)
(4)氢气
(5)回收利用
四、实验探究题(本大题共2小题,每个化学方程式2分,其余每空1分,共16分。)
【28题答案】
【答案】(1)锥形瓶 (2)前
(3) ①.
②. B ③. 将燃着的木条伸到集气瓶口,若木条熄灭,证明已满
(4) ①. 水蒸气 ②. 防止水倒吸入试管,使试管炸裂
【29题答案】
【答案】(1)氧气##O2
(2)氢氧化钠##NaOH (3)先增大后减小
(4)CO2 + 2NaOH = Na2CO3 + H2O
(5) ①. 饱和澄清石灰水变浑浊可能是由于反应放热,饱和澄清石灰水温度升高,导致氢氧化钙析出而变浑浊,不一定是由碳酸钠与稀硫酸反应生成的二氧化碳与澄清石灰水反应产生的,不能确定样品中一定存在碳酸钠 ②. 将具支试管向提,脱离与饱和澄清石灰水接触,再滴入稀硫酸,观察澄清石灰水是否变浑浊 (6)强烈的腐蚀性
五、计算题
【30题答案】
【答案】(1) ①.
②. 不能
(2)解:设生成的氧气的质量为x

![]()
x=1.6g
答:生成的氧气的质量为1.6g。
