2024年河北高考化学试题及答案
可能用到的相对原子质量:![]()
一、选择题:本题共14小题,每小题3分,共42分。在每)小题给出的四个选项中,只有一项是符合题目要求的。
1. 燕赵大地历史悠久,文化灿烂。对下列河北博物院馆藏文物的说法错误的是

A. 青铜铺首主要成分是铜锡合金 B. 透雕白玉璧主要成分是硅酸盐
C. 石质浮雕主要成分是碳酸钙 D. 青花釉里红瓷盖罐主要成分是硫酸钙
2. 关于实验室安全,下列表述错误的是
A.
等钡的化合物均有毒,相关废弃物应进行无害化处理
B. 观察烧杯中钠与水反应的实验现象时,不能近距离俯视
C. 具有
标识的化学品为易燃类物质,应注意防火
D. 硝酸具有腐蚀性和挥发性,使用时应注意防护和通风
3. 高分子材料在生产、生活中得到广泛应用。下列说法错误的是
A. 线型聚乙烯塑料为长链高分子,受热易软化
B. 聚四氟乙烯由四氟乙烯加聚合成,受热易分解
C. 尼龙66由己二酸和己二胺缩聚合成,强度高、韧性好
D. 聚甲基丙烯酸酯(有机玻璃)由甲基丙烯酸酯加聚合成,透明度高
4. 超氧化钾
可用作潜水或宇航装置的
吸收剂和供氧剂,反应为
,
为阿伏加德罗常数的值。下列说法正确的是
A.
中
键的数目为![]()
B.
晶体中离子的数目为![]()
C.
溶液中
的数目为![]()
D. 该反应中每转移
电子生成
的数目为![]()
5. 化合物X是由细菌与真菌共培养得到的一种天然产物,结构简式如图。下列相关表述错误的是

A. 可与
发生加成反应和取代反应 B. 可与
溶液发生显色反应
C. 含有4种含氧官能团 D. 存在顺反异构
6. 下列实验操作及现象能得出相应结论的是
选项 | 实验操作及现象 | 结论 |
A | 还原铁粉与水蒸气反应生成的气体点燃后有爆鸣声 |
|
B | 待测液中滴加 | 待测液含有 |
C |
|
|
D |
| 增大生成物的浓度,平衡向逆反应方向移动 |
A. A B. B C. C D. D
7. 侯氏制碱法工艺流程中的主反应为
,其中W、X、Y、Z、Q、R分别代表相关化学元素。下列说法正确的是
A. 原子半径:
B. 第一电离能:![]()
C. 单质沸点:
D. 电负性:![]()
8. 从微观视角探析物质结构及性质是学习化学的有效方法。下列实例与解释不符的是
选项 | 实例 | 解释 |
A | 原子光谱是不连续的线状谱线 | 原子的能级是量子化的 |
B |
| 孤电子对与成键电子对的斥力大于成键电子对之间的斥力 |
C |
|
|
D | 逐个断开 | 各步中的 |
A. A B. B C. C D. D
9.
是火箭固体燃料重要的氧载体,与某些易燃物作用可全部生成气态产物,如:
。下列有关化学用语或表述正确的是
A.
的形成过程可表示为
B.
中的阴、阳离子有相同的VSEPR模型和空间结构
C. 在
、石墨、金刚石中,碳原子有
和
三种杂化方式
D.
和
都能作制冷剂是因为它们有相同类型的分子间作用力
10. 图示装置不能完成相应气体的发生和收集实验的是(加热、除杂和尾气处理装置任选)

选项 | 气体 | 试剂 |
A |
| 饱和 |
B |
|
|
C |
| 固体 |
D |
| 石灰石+稀盐酸 |
A. A B. B C. C D. D
11. 在水溶液中,
可与多种金属离子形成配离子。X、Y、Z三种金属离子分别与
形成配离子达平衡时,
与
的关系如图。

下列说法正确的是
A.
的X、Y转化为配离子时,两溶液中
的平衡浓度:![]()
B. 向Q点X、Z的混合液中加少量可溶性Y盐,达平衡时![]()
C. 由Y和Z分别制备等物质的量的配离子时,消耗
的物质的量:![]()
D. 若相关离子的浓度关系如P点所示,Y配离子的解离速率小于生成速率
12. 金属铋及其化合物广泛应用于电子设备、医药等领域。如图是铋的一种氟化物的立方晶胞及晶胞中MNPQ点的截面图,晶胞的边长为
为阿伏加德罗常数的值。下列说法错误的是

A. 该铋氟化物的化学式为![]()
B. 粒子S、T之间的距离为![]()
C. 该晶体的密度为![]()
D. 晶体中与铋离子最近且等距的氟离子有6个
我国科技工作者设计了如图所示的可充电
电池,以
为电解质,电解液中加入1,3-丙二胺(
)以捕获
,使放电时
还原产物为
。该设计克服了
导电性差和释放
能力差的障碍,同时改善了
的溶剂化环境,提高了电池充放电循环性能。

回答下列问题。
13. 下列说法错误的是
A. 放电时,电池总反应为![]()
B. 充电时,多孔碳纳米管电极与电源正极连接
C. 充电时,电子由
电极流向阳极,
向阴极迁移
D. 放电时,每转移
电子,理论上可转化![]()
14. 对上述电池放电时
的捕获和转化过程开展了进一步研究,电极上
转化的三种可能反应路径及相对能量变化如图(*表示吸附态)。

下列说法错误的是
A.
捕获
的反应为
B. 路径2是优先路径,速控步骤反应式为
C. 路径1、3经历不同的反应步骤但产物相同;路径2、3起始物相同但产物不同
D. 三个路径速控步骤均涉及
转化,路径2、3的速控步骤均伴有
再生
二、非选择题:共58分。
15. 市售的溴(纯度
)中含有少量的
和
,某化学兴趣小组利用氧化还原反应原理,设计实验制备高纯度的溴。回答下列问题:
(1)装置如图(夹持装置等略),将市售的溴滴入盛有浓
溶液的B中,水浴加热至不再有红棕色液体馏出。仪器C的名称为_______;
溶液的作用为_______;D中发生的主要反应的化学方程式为_______。

(2)将D中溶液转移至_______(填仪器名称)中,边加热边向其中滴加酸化的
溶液至出现红棕色气体,继续加热将溶液蒸干得固体R。该过程中生成
的离子方程式为_______。
(3)利用图示相同装置,将R和
固体混合均匀放入B中,D中加入冷的蒸馏水。由A向B中滴加适量浓
,水浴加热蒸馏。然后将D中的液体分液、干燥、蒸馏,得到高纯度的溴。D中蒸馏水的作用为_______和_______。
(4)为保证溴的纯度,步骤(3)中
固体的用量按理论所需量的
计算,若固体R质量为m克(以
计),则需称取_______
(用含m的代数式表示)。
(5)本实验所用钾盐试剂均经重结晶的方法纯化。其中趁热过滤的具体操作为漏斗下端管口紧靠烧杯内壁,转移溶液时用_______,滤液沿烧杯壁流下。
16.
是制造钒铁合金、金属钒的原料,也是重要的催化剂。以苛化泥为焙烧添加剂从石煤中提取
的工艺,具有钒回收率高、副产物可回收和不产生气体污染物等优点。工艺流程如下。

已知:i石煤是一种含
的矿物,杂质为大量
和少量
等;苛化泥的主要成分为
等。
ⅱ高温下,苛化泥的主要成分可与
反应生成偏铝酸盐;室温下,偏钒酸钙
和偏铝酸钙均难溶于水。回答下列问题:
(1)钒原子的价层电子排布式为_______;焙烧生成的偏钒酸盐中钒的化合价为_______,产生的气体①为_______(填化学式)。
(2)水浸工序得到滤渣①和滤液,滤渣①中含钒成分为偏钒酸钙,滤液中杂质的主要成分为_______(填化学式)。
(3)在弱碱性环境下,偏钒酸钙经盐浸生成碳酸钙发生反应的离子方程式为_______;
加压导入盐浸工序可提高浸出率的原因为_______;浸取后低浓度的滤液①进入_______(填工序名称),可实现钒元素的充分利用。
(4)洗脱工序中洗脱液的主要成分为_______(填化学式)。
(5)下列不利于沉钒过程的两种操作为_______(填序号)。
a.延长沉钒时间 b.将溶液调至碱性 c.搅拌 d.降低
溶液的浓度
17. 氯气是一种重要的基础化工原料,广泛应用于含氯化工产品的生产。硫酰氯及1,4-二(氯甲基)苯等可通过氯化反应制备。
(1)硫酰氯常用作氯化剂和氯磺化剂,工业上制备原理如下:
。
①若正反应的活化能为
,则逆反应的活化能
_______
(用含
正的代数式表示)。
②恒容密闭容器中按不同进料比充入
和其
,测定
温度下体系达平衡时的
(
为体系初始压强,
,P为体系平衡压强),结果如图。

上图中温度由高到低的顺序为_______,判断依据为_______。M点
的转化率为_______,
温度下用分压表示的平衡常数
_______
。
③下图曲线中能准确表示
温度下
随进料比变化的是_______(填序号)。

(2)1,4-二(氯甲基)苯(D)是有机合成中的重要中间体,可由对二甲苯(X)的氯化反应合成。对二甲苯浅度氯化时反应过程为

以上各反应的速率方程均可表示为
,其中
分别为各反应中对应反应物的浓度,k为速率常数(
分别对应反应①~⑤)。某温度下,反应器中加入一定量的X,保持体系中氯气浓度恒定(反应体系体积变化忽略不计),测定不同时刻相关物质的浓度。已知该温度下,
。
①
时,
,且
内
,反应进行到
时,
_______
。
②
时,
,若
产物T的含量可忽略不计,则此时
_______
后,随T的含量增加,
_______(填“增大”“减小”或“不变”)。
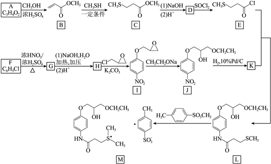
18. 甲磺司特(M)是一种在临床上治疗支气管哮喘、特应性皮炎和过敏性鼻炎等疾病的药物。M的一种合成路线如下(部分试剂和条件省略)。

回答下列问题:
(1)A的化学名称为_______。
(2)
的反应类型为_______。
(3)D的结构简式为_______。
(4)由F生成G的化学方程式为_______。
(5)G和H相比,H的熔、沸点更高,原因为_______。
(6)K与E反应生成L,新构筑官能团的名称为_______。
(7)同时满足下列条件的I的同分异构体共有_______种。
(a)核磁共振氢谱显示为4组峰,且峰面积比为
;
(b)红外光谱中存在
和硝基苯基(
)吸收峰。
其中,可以通过水解反应得到化合物H的同分异构体的结构简式为_______。
参考答案
一、选择题:本题共14小题,每小题3分,共42分。在每)小题给出的四个选项中,只有一项是符合题目要求的。
【1题答案】
【答案】D
【2题答案】
【答案】A
【3题答案】
【答案】B
【4题答案】
【答案】A
【5题答案】
【答案】D
【6题答案】
【答案】C
【7题答案】
【答案】C
【8题答案】
【答案】B
【9题答案】
【答案】B
【10题答案】
【答案】C
【11题答案】
【答案】B
【12题答案】
【答案】D
【13~14题答案】
【答案】13. C 14. D
二、非选择题:共58分。
【15题答案】
【答案】(1) ①. 直形冷凝管 ②. 除去市售的溴中少量的
③.
(2) ①. 蒸发皿 ②.
(3) ①. 液封 ②. 降低温度
(4)
(5)玻璃棒引流,玻璃棒下端靠在三层滤纸处
【16题答案】
【答案】(1) ①.
②.
③.
(2)
(3) ①.
②. 提高溶液中
浓度,促使偏钒酸钙转化为碳酸钙,释放
③. 离子交换
(4)
(5)bd
【17题答案】
【答案】(1) ①.
②.
③. 该反应正反应放热,且气体分子数减小,反应正向进行时,容器内压强减小,从
到
平衡时
增大,说明反应正向进行程度逐渐增大,对应温度逐渐降低 ④.
⑤. 0.03 ⑥. D
(2) ①. 5.54 ②. 0.033 ③. 增大
【18题答案】
【答案】(1)丙烯酸 (2)加成反应
(3)
(4)
+HO-NO2![]()
+H2O
(5)H分子中存在羟基,能形成分子间氢键
(6)酰胺基 (7) ①. 6 ②. 
