2024年四川高考化学试题及答案解析
可能用到的相对原子质量:![]()
一、选择题:本题共13小题,每小题6分,共78分。在每小题给出的四个选项中,只有一项是符合题目要求的。
1. 人类对能源的利用经历了柴薪、煤炭和石油时期,现正向新能源方向高质量发展。下列有关能源的叙述错误的是
A. 木材与煤均含有碳元素 B. 石油裂化可生产汽油
C. 燃料电池将热能转化为电能 D. 太阳能光解水可制氢
【答案】C
【解析】
【详解】A.木材的主要成分为纤维素,纤维素中含碳、氢、氧三种元素,煤是古代植物埋藏在地下经历了复杂的变化逐渐形成的固体,是有机物和无机物组成的复杂混合物,主要含碳元素,A正确;
B.石油裂化是将相对分子质量较大、沸点较高的烃断裂为相对分子质量较小、沸点较低的烃的过程,汽油的相对分子质量较小,可以通过石油裂化的方式得到,B正确;
C.燃料电池是将燃料的化学能变成电能的装置,不是将热能转化为电能,C错误;
D.在催化剂作用下,利用太阳能光解水可以生成氢气和氧气,D正确;
故答案选C。
2. 下列过程对应的离子方程式正确的是
A. 用氢氟酸刻蚀玻璃:![]()
B. 用三氯化铁溶液刻制覆铜电路板:![]()
C. 用硫代硫酸钠溶液脱氯:![]()
D. 用碳酸钠溶液浸泡锅炉水垢中的硫酸钙:![]()
【答案】D
【解析】
【详解】A.玻璃的主要成分为SiO2,用氢氟酸刻蚀玻璃时,SiO2和氢氟酸反应生成SiF4气体和水,反应的方程式为SiO2+4HF=SiF4↑+2H2O,A错误;
B.Fe3+可以将Cu氧化成Cu2+,三氯化铁刻蚀铜电路板时反应的离子方程式为2Fe3++Cu=2Fe2++Cu2+,B错误;
C.氯气具有强氧化性,可以氧化硫代硫酸根成硫酸根,氯气被还原为氯离子,反应的离子方程式为S2O
+4Cl2+5H2O=2SO
+8Cl-+10H+,C错误;
D.碳酸钙的溶解度小于硫酸钙,可以用碳酸钠溶液浸泡水垢使硫酸钙转化为疏松、易溶于酸的碳酸钙,反应的离子方程式为
,D正确;
故答案选D。
3. 我国化学工作者开发了一种回收利用聚乳酸(PLA)高分子材料的方法,其转化路线如下所示。

下列叙述错误的是
A. PLA在碱性条件下可发生降解反应
B. MP的化学名称是丙酸甲酯
C. MP的同分异构体中含羧基的有3种
D. MMA可加聚生成高分子
【答案】C
【解析】
【详解】A.根据PLA的结构简式,聚乳酸是其分子中的羧基与另一分子中的羟基发生反应聚合得到的,含有酯基结构,可以在碱性条件下发生降解反应,A正确;
B.根据MP的结果,MP可视为丙酸和甲醇发生酯化反应得到的,因此其化学名称为丙酸甲酯,B正确;
C.MP的同分异构体中,含有羧基的有2种,分别为正丁酸和异丁酸,C错误;
D.MMA中含有双键结构,可以发生加聚反应生成高分子
,D正确;
故答案选C。
4. 四瓶无色溶液
,它们之间的反应关系如图所示。其中a、b、c、d代表四种溶液,e和g为无色气体,f为白色沉淀。下列叙述正确的是

A. a呈弱碱性
B. f可溶于过量的b中
C. c中通入过量的e可得到无色溶液
D. b和d反应生成的沉淀不溶于稀硝酸
【答案】B
【解析】
【分析】由题意及关系图可知,a与b反应需要加热,且产生的e为无色气体,则a和b分别为
和
的一种,产生的气体e为
;又由于b和c反应生成白色沉淀f,
不会与其他三种溶液产生沉淀,故b为
,a为
;又由于c既能与b产生沉淀f,又能与d反应产生沉淀f,故c为
,d为
,生成的白色沉淀为
,无色气体g为
。综上所述,a为
溶液,b为
溶液,c为
溶液,d为
溶液,e为
,f为
,g为
。
【详解】A.由分析可知,a为
溶液,为强酸弱碱盐的溶液,
水解显酸性,故a显弱酸性,A项错误
B.由分析可知,f为
,b为
溶液,
为两性氢氧化物,可溶液强碱,故f可溶于过量的b中,B项正确;
C.由分析可知,c为
溶液,e为
,
溶液通入
会生成
沉淀,
不溶于弱碱,继续通入
不能得到无色溶液,C项错误;
D.由分析可知,b为
,d为
,二者反应生成
沉淀,可溶与稀硝酸,D项错误;
故选B。
5. W、X、Y、Z为原子序数依次增大的短周期元素。W和X原子序数之和等于
的核外电子数,化合物
可用作化学电源的电解质。下列叙述正确的是
A. X和Z属于同一主族
B. 非属性:![]()
C. 气态氢化物的稳定性:![]()
D. 原子半径:![]()
【答案】A
【解析】
【分析】W、X、Y、Z为原子序数依次增大的短周期元素,且能形成离子化合物
,则W为Li或Na;又由于W和X原子序数之和等于
的核外电子数,若W为Na,X原子序数大于Na,则W和X原子序数之和大于18,不符合题意,因此W只能为Li元素;由于Y可形成
,故Y为第Ⅶ主族元素,且原子序数Z大于Y,故Y不可能为Cl元素,因此Y为F元素,X的原子序数为10-3=7,X为N元素;根据W、Y、Z形成离子化合物
,可知Z为P元素;综上所述,W为Li元素,X为N元素,Y为F元素,Z为P元素。
【详解】A.由分析可知,X为N元素,Z为P元素,X和Z属于同一主族,A项正确;
B.由分析可知,X为N元素,Y为F元素,Z为P元素,非金属性:F>N>P,B项错误;
C.由分析可知,Y为F元素,Z为P元素,非金属性越强,其简单气态氢化物的稳定性越强,即气态氢化物的稳定性:HF>PH3,C项错误;
D.由分析可知,W为Li元素,X为N元素,Y为F元素,同周期主族元素原子半径随着原子序数的增大而减小,故原子半径:Li>N>F,D项错误;
故选A。
6. 科学家使用
研制了一种
可充电电池(如图所示)。电池工作一段时间后,
电极上检测到
和少量
。下列叙述正确的是

A. 充电时,
向阳极方向迁移
B. 充电时,会发生反应![]()
C. 放电时,正极反应有![]()
D. 放电时,
电极质量减少
,
电极生成了![]()
【答案】C
【解析】
【分析】Zn具有比较强的还原性,
具有比较强的氧化性,自发的氧化还原反应发生在Zn与MnO2之间,所以
电极为正极,Zn电极为负极,则充电时
电极为阳极、Zn电极为阴极。
【详解】A.充电时该装置为电解池,电解池中阳离子向阴极迁移,即
向阴极方向迁移,A不正确;
B.放电时,负极的电极反应为
,则充电时阴极反应为Zn2++2e-=Zn,即充电时Zn元素化合价应降低,而选项中Zn元素化合价升高,B不正确;
C.放电时
电极为正极,正极上检测到
和少量
,则正极上主要发生的电极反应是
,C正确;
D.放电时,Zn电极质量减少0.65g(物质的量为0.010mol),电路中转移0.020mol电子,由正极的主要反应
可知,若正极上只有
生成,则生成
的物质的量为0.020mol,但是正极上还有
生成,因此,
的物质的量小于0.020mol,D不正确;
综上所述,本题选C。
7. 将
配制成
悬浊液,向其中滴加
的
溶液。
(M代表
、
或
)随加入
溶液体积(V)的变化关系如图所示。

下列叙述正确的是
A. 交点a处:![]()
B. ![]()
C.
时,
不变
D. ![]()
【答案】D
【解析】
【分析】向
含
的悬浊液中滴加
的
溶液,发生反应:
,两者恰好完全反应时,
溶液的体积为v(NaCl)=
,2mL之后再加
溶液,c(Cl-)增大,据
,Ksp(AgCl)=c(Ag+)c(Cl-)可知,c(Ag+)会随着c(Cl-)增大而减小,所以2mL后降低的曲线,即最下方的虚线代表Ag+,升高的曲线,即中间虚线代表Cl-,则剩余最上方的实线为
曲线。由此分析解题:
【详解】A.2mL时
与
溶液恰好完全反应,则a点时溶质为NaCl和Na2CrO4,电荷守恒:c(Na+)+c(Ag+)+c(H+)=2c(
)+c(Cl-)+c(OH-),此时c(H+)、c(OH-)、c(Ag+)可忽略不计,a点为Cl-和
曲线的交点,即c(
)=c(Cl-),则溶液中c(Na+)≈3c(Cl-),A错误;
B.当V(NaCl)=1.0mL时,有一半的Ag2CrO4转化为AgCl,Ag2CrO4与AgCl共存,均达到沉淀溶解平衡,取图中横坐标为1.0mL的点,得Ksp(AgCl)= c(Ag+)c(Cl-)=10-5.18×10-4.57=10-9.75,Ksp(Ag2CrO4)= c2(Ag+)c(
)=(10-5.18)2×10-1.60=10-11.96,则
=
=102.21,B错误;
C.V<2.0mL时,Ag+未沉淀完全,体系中Ag2CrO4和AgCl共存,则
=
为定值,即
为定值,由图可知,在V≤2.0mL时c(Ag+)并不是定值,则
的值也不是定值,即在变化,C错误;
D.V>2.0mL时AgCl处于饱和状态,V(NaCl)=2.4mL时,图像显示c(Cl-)=10-1.93mol/L,则c(Ag+)=
=
=10-7.82mol/L,故y1=-7.82,此时Ag2CrO4全部转化为AgCl,n(
)守恒,等于起始时n(Ag2CrO4),则c(CrO
)=
=
=
mol/L,则y2=lg c(CrO
)=lg
=-lg34,D正确;
故答案选D。
8. 钴在新能源、新材料领域具有重要用途。某炼锌废渣含有锌、铅、铜、铁、钴、锰的
价氧化物及锌和铜的单质。从该废渣中提取钴的一种流程如下。

注:加沉淀剂使一种金属离子浓度小于等于
,其他金属离子不沉淀,即认为完全分离。
已知:①
。
②以氢氧化物形式沉淀时,
和溶液
的关系如图所示。

回答下列问题:
(1)“酸浸”前,需将废渣磨碎,其目的是_____。
(2)“酸浸”步骤中,
发生反应的化学方程式是_____。
(3)假设“沉铜”后得到的滤液中
和
均为
,向其中加入
至
沉淀完全,此时溶液中
_____
,据此判断能否实现
和
的完全分离_____(填“能”或“不能”)。
(4)“沉锰”步骤中,生成
,产生
的物质的量为_____。
(5)“沉淀”步骤中,用
调
,分离出的滤渣是_____。
(6)“沉钴”步骤中,控制溶液
,加入适量的
氧化
,其反应的离子方程式为_____。
(7)根据题中给出的信息,从“沉钴”后的滤液中回收氢氧化锌的方法是_____。
【答案】(1)增大固体与酸反应的接触面积,提高钴元素的浸出效率
(2)
(3) ①.
②. 不能
(4)
(5)
(6)
(7)向滤液中滴加
溶液,边加边搅拌,控制溶液的pH接近12但不大于12,静置后过滤、洗涤、干燥
【解析】
【分析】炼锌废渣含有锌、铅、铜、铁、钴、锰的
价氧化物及锌和铜的单质,经稀硫酸酸浸时,铜不溶解,Zn及其他
价氧化物除铅元素转化为硫酸铅沉淀外,其他均转化为相应的+2价阳离子进入溶液;然后通入硫化氢沉铜生成CuS沉淀;过滤后,滤液中加入Na2S2O8将锰离子氧化为二氧化锰除去,同时亚铁离子也被氧化为铁离子;再次过滤后,用氢氧化钠调节pH=4,铁离子完全转化为氢氧化铁沉淀除去;第三次过滤后的滤液中加入次氯酸钠沉钴,得到Co(OH)3。
【小问1详解】
“酸浸”前,需将废渣磨碎,其目的是增大固体与酸反应的接触面积,提高钴元素的浸出效率。
【小问2详解】
“酸浸”步骤中,Cu不溶解,Zn单质及其他
价氧化物除铅元素转化为硫酸铅沉淀外,其他均转化为相应的+2价阳离子进入溶液,即
为转化为CoSO4,反应的化学方程式为
。
【小问3详解】
假设“沉铜”后得到的滤液中
和
均为
,向其中加入
至
沉淀完全,此时溶液中
,则
,
小于
,说明大部分
也转化为硫化物沉淀,据此判断不能实现Zn2+和Co2+的完全分离。
【小问4详解】
“沉锰”步骤中,Na2S2O8将Mn2+氧化为二氧化锰除去,发生的反应为
,因此,生成![]()
,产生
的物质的量为
。
【小问5详解】
“沉锰”步骤中,
同时将
氧化为
,“沉淀”步骤中用
调pH=4,
可以完全沉淀为
,因此,分离出的滤渣是
。
【小问6详解】
“沉钴”步骤中,控制溶液pH=5.0~5.5,加入适量的NaClO氧化
,为了保证
被完全氧化,NaClO要适当过量,其反应的离子方程式为
。
【小问7详解】
根据题中给出的信息,“沉钴”后的滤液的pH=5.0~5.5,溶液中有
元素以
形式存在,当pH>12后氢氧化锌会溶解转化为
,因此,从“沉钴”后的滤液中回收氢氧化锌的方法是:向滤液中滴加
溶液,边加边搅拌,控制溶液的pH接近12但不大于12,静置后过滤、洗涤、干燥。
9.
(俗称过氧化脲)是一种消毒剂,实验室中可用尿素与过氧化氢制取,反应方程式如下:
![]()
(一)过氧化脲的合成
烧杯中分别加入
、
蒸馏水和
尿素,搅拌溶解。
下反应
,冷却结晶、过滤、干燥,得白色针状晶体
。
(二)过氧化脲性质检测
I.过氧化脲溶液用稀
酸化后,滴加
溶液,紫红色消失。
Ⅱ.过氧化脲溶液用稀
酸化后,加入
溶液和四氯化碳,振荡,静置。
(三)产品纯度测定
溶液配制:称取一定量产品,用蒸馏水溶解后配制成
溶液。
滴定分析:量取
过氧化脲溶液至锥形瓶中,加入一定量稀
,用准确浓度的
溶液滴定至微红色,记录滴定体积,计算纯度。
回答下列问题:
(1)过滤中使用到的玻璃仪器有_____(写出两种即可)。
(2)过氧化脲的产率为_____。
(3)性质检测Ⅱ中的现象为_____。性质检则I和Ⅱ分别说明过氧化脲具有的性质是_____。
(4)下图为“溶液配制”的部分过程,操作a应重复3次,目的是_____,定容后还需要的操作为_____。

(5)“滴定分析”步骤中,下列操作错误的是_____(填标号)。
A.
溶液置于酸式滴定管中
B. 用量筒量取
过氧化脲溶液
C. 滴定近终点时,用洗瓶冲洗锥形瓶内壁
D. 锥形瓶内溶液变色后,立即记录滴定管液面刻度
(6)以下操作导致氧化脲纯度测定结果偏低的是_____(填标号)。
A. 容量瓶中液面超过刻度线
B. 滴定管水洗后未用
溶液润洗
C. 摇动锥形瓶时
溶液滴到锥形瓶外
D. 滴定前滴定管尖嘴处有气泡,滴定后气泡消失
【答案】(1)烧杯、漏斗、玻璃棒,可任选两种作答
(2)50% (3) ①. 液体分层,上层为无色,下层为紫红色 ②. 还原性、氧化性
(4) ①. 避免溶质损失 ②. 盖好瓶塞,反复上下颠倒、摇匀 (5)BD (6)A
【解析】
【小问1详解】
过滤操作需要的玻璃仪器有烧杯、漏斗、玻璃棒,可任选两种作答。
【小问2详解】
实验中加入尿素的质量为12.0g,物质的量为0.2mol,过氧化氢的质量为
,物质的量约为0.245mol,过氧化氢过量,产率应按照尿素的质量计算,理论上可得到过氧化脲0.2mol,质量为0.2mol×94g/mol=18.8g,实验中实际得到过氧化脲9.4g,故过氧化脲的产率为
。
【小问3详解】
在过氧化脲的性质检测中,检测Ⅰ用稀硫酸酸化,加入高锰酸钾溶液,紫红色消失,说明过氧化脲被酸性高锰酸钾氧化,体现了过氧化脲的还原性;检测Ⅱ用稀硫酸酸化,加入KI溶液和四氯化碳溶液,过氧化脲会将KI氧化为I2单质,体现了过氧化脲的氧化性,生成的I2在四氯化碳中溶解度大,会溶于四氯化碳溶液,且四氯化碳密度大于水,振荡,静置后出现的现象为:液体分层,上层为无色,下层为紫红色。
【小问4详解】
操作a为洗涤烧杯和玻璃棒,并将洗涤液转移到容量瓶中,目的是避免溶质损失;定容后应盖好瓶塞,反复上下颠倒、摇匀。
【小问5详解】
A.KMnO4溶液是强氧化性溶液,应置于酸式滴定管中,A项正确;
B.量筒的精确度不能达到0.01mL,量取25.00mL的溶液应选用滴定管,B项错误;
C.滴定过程中,待测液有可能会溅到锥形瓶内壁,滴定近终点时,为了使结果更精确,可用洗瓶冲洗锥形瓶内壁,C项正确;
D.锥形瓶内溶液变色后,应等待30s,观察溶液不再恢复原来的颜色后,才能记录滴定管液面刻度,D项错误;
故选BD。
【小问6详解】
A.在配制过氧化脲溶液时,容量瓶中页面超过刻度线,会使溶液体积偏大,配制溶液的浓度偏低,会使滴定过程中消耗的KMnO4溶液体积偏低,导致测定结果偏低,A项符合题意;
B.滴定管水洗后未用KMnO4溶液润洗,会导致KMnO4溶液浓度偏低,会使滴定过程中消耗的KMnO4溶液体积偏高,导致测定结果偏高,B项不符合题意;
C.摇动锥形瓶时KMnO4溶液滴到锥形瓶外,会使滴定过程中消耗的KMnO4溶液体积偏高,导致测定结果偏高,C项不符合题意;
D.滴定前滴定管尖嘴处有气泡,滴定后气泡消失,会使滴定过程中消耗的KMnO4溶液体积偏高,导致测定结果偏高,D项不符合题意;
故选A。
10. 甲烷转化为多碳化合物具有重要意义。一种将甲烷溴化再偶联为丙烯(
)的研究所获得的部分数据如下。回答下列问题:
(1)已知如下热化学方程式:
![]()
![]()
计算反应
的
_____
。
(2)
与
反应生成
,部分
会进一步溴化。将
和
。通入密闭容器,平衡时,
、
与温度的关系见下图(假设反应后的含碳物质只有
、
和
)。

(i)图中
的曲线是_____(填“a”或“b”)。
(ii)
时,
的转化
_____,
_____
。
(iii)
时,反应
的平衡常数
_____。
(3)少量
可提高生成
的选择性。
时,分别在有
和无
的条件下,将
和
,通入密闭容器,溴代甲烷的物质的量(n)随时间(t)的变化关系见下图。

(i)在
之间,有
和无
时
的生成速率之比
_____。
(ii)从图中找出
提高了
选择性的证据:_____。
(ⅲ)研究表明,
参与反应的可能机理如下:
①![]()
②![]()
③![]()
④![]()
⑤![]()
⑥![]()
根据上述机理,分析
提高
选择性的原因:_____。
【答案】(1)-67 (2) ①. a ②. 80% ③. 7.8 ④. 10.92
(3) ①.
(或3:2) ②. 5s以后有I2催化的CH2Br2的含量逐渐降低,有I2催化的CH3Br的含量陡然上升 ③. I2的投入消耗了部分CH2Br2,使得消耗的CH2Br2发生反应生成了CH3Br
【解析】
【分析】根据盖斯定律计算化学反应热;根据影响化学反应速率的因素判断还行反应进行的方向从而判断曲线归属;根据反应前后的变化量计算转化率;根据平衡时各物质的物质的量计算平衡常数;根据一段时间内物质的含量变化计算速率并计算速率比;根据图示信息和反应机理判断合适的原因。
【小问1详解】
将第一个热化学方程式命名为①,将第二个热化学方程式命名为②。根据盖斯定律,将方程式①乘以3再加上方程式②,即①×3+②,故热化学方程式3CH4(g)+3Br2(g)=C3H6(g)+6HBr(g)的?H=-29×3+20=-67kJ·mol-1。
【小问2详解】
(i)根据方程式①,升高温度,反应向吸热反应方向移动,升高温度,平衡逆向移动,CH4(g)的含量增多,CH3Br(g)的含量减少,故CH3Br的曲线为a;
(ii)560℃时反应达平衡,剩余的CH4(g)的物质的量为1.6mmol,其转化率α=
×100%=80%;若只发生一步反应,则生成6.4mmol CH3Br,但此时剩余CH3Br的物质的量为5.0mmol,说明还有1.4mmol CH3Br发生反应生成CH2Br2,则此时生成的HBr的物质的量n=6.4+1.4=7.8mmol;
(iii)平衡时,反应中各组分的物质的量分别为n(CH3Br)=5.0mmol、n(Br2)=0.2mmol、n(CH2Br2)=1.4mmol、n(HBr)=7.8mmol,故该反应的平衡常数K=
=
=10.92。
【小问3详解】
(i)11~19s时,有I2的生成速率v=
=
mmol·(L·s)-1,无I2的生成速率v=
=
mmol·(L·s)-1。生成速率比
=
=
;
(ii)从图中可以看出,大约4.5s以后有I2催化的CH2Br2的含量逐渐降低,有I2催化的CH3Br的含量陡然上升,因此,可以利用此变化判断I2提高了CH3Br的选择性;
(iii)根据反应机理,I2的投入消耗了部分CH2Br2,同时也消耗了部分HBr,使得消耗的CH2Br2发生反应生成了CH3Br,提高了CH3Br的选择性。
[化学—选修3:物质结构与性质]
11. ⅣA族元素具有丰富的化学性质,其化合物有着广泛的应用。回答下列问题:
(1)该族元素基态原子核外未成对电子数为_____,在与其他元素形成化合物时,呈现的最高化合价为_____。
(2)
俗称电石,该化合物中不存在的化学键类型为_____(填标号)。
a.离子键 b.极性共价键 c.非极性共价键 d.配位键
(3)一种光刻胶薄膜成分为聚甲基硅烷
,其中电负性最大的元素是_____,硅原子的杂化轨道类型为_____。
(4)早在青铜器时代,人类就认识了锡。锡的卤化物熔点数据如下表,结合变化规律说明原因:_____。
物质 | | | | |
熔点/ | 442 | | 29 | 143 |
(5)结晶型
可作为放射性探测器元件材料,其立方晶胞如图所示。其中
的配位数为_____。设
为阿伏加德罗常数的值,则该晶体密度为_____
(列出计算式)。

【答案】(1) ①. 2 ②. +4
(2)bd (3) ①. C ②.
(4)SnF4属于离子晶体,SnCl4、SnBr4、SnI4属于分子晶体,离子晶体的熔点比分子晶体的高,分子晶体的相对分子量越大,分子间作用力越强,熔点越高
(5) ①. 6 ②. ![]()
【解析】
【小问1详解】
ⅣA族元素基态原子的价层电子排布为
,其核外未成对电子数为2,因最外层电子数均为4,所以在与其他元素形成化合物时,呈现的最高化合价为+4;
【小问2详解】
俗称电石,其为离子化合物,由
和
构成,两种离子间存在离子键,
中两个C原子之间存在非极性共价键,因此,该化合物中不存在的化学键类型为极性共价键和配位键,故选bd;
【小问3详解】
一种光刻胶薄膜成分为聚甲基硅烷
,含C、Si、H三种元素,其电负性大小:C>H>Si,则电负性最大的元素是C,硅原子与周围的4个原子形成共价键,没有孤电子对,价层电子对数为4,则硅原子的杂化轨道类型为
;
【小问4详解】
根据表中数据可知,SnF4的熔点均远高于其余三种物质,故SnF4属于离子晶体,SnCl4、SnBr4、SnI4属于分子晶体,离子晶体的熔点比分子晶体的高,SnCl4、SnBr4、SnI4三种物质的相对分子质量依次增大,分子间作用力依次增强,熔点升高,故原因为:SnF4属于离子晶体,SnCl4、SnBr4、SnI4属于分子晶体,离子晶体的熔点比分子晶体的高,分子晶体的相对分子量越大,分子间作用力越强,熔点越高;
【小问5详解】
由
晶胞结构图可知,该晶胞中有4个
和4个的,距离每个原子周围最近的原子数均为6,因此
的配位数为6。设
为阿伏加德罗常数的值,则
个晶胞的质量为
,
个晶胞的体积为
,因此该晶体密度为
。
[化学—选修5:有机化学基础]
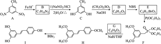
12. 白藜芦醇(化合物I)具有抗肿瘤、抗氧化、消炎等功效。以下是某课题组合成化合物I的路线。

回答下列问题:
(1)A中的官能团名称为_____。
(2)B的结构简式为_____。
(3)由C生成D的反应类型为_____。
(4)由E生成F的化学方程式为_____。
(5)已知G可以发生银镜反应,G的化学名称为_____。
(6)选用一种鉴别H和I的试剂并描述实验现象_____。
(7)I的同分异构体中,同时满足下列条件的共有_____种(不考虑立体异构)。
①含有手性碳(连有4个不同的原子或基团的碳为手性碳);
②含有两个苯环;③含有两个酚羟基;④可发生银镜反应。
【答案】(1)硝基 (2)
(3)取代反应 (4)
+P(OC2H5)3→
+C2H5Br
(5)4-甲氧基苯甲醛(或对甲氧基苯甲醛)
(6)鉴别试剂为:FeCl3溶液,实验现象为:分别取少量有机物H和有机物I的固体用于水配置成溶液,向溶液中滴加FeCl3溶液,溶液呈紫色的即为有机物I
(7)9
【解析】
【分析】根据流程,有机物A在Fe/H+的作用下发生还原反应生成有机物B,根据有机物B的分子式和有机物A的结构可以得到有机物B的结构为
;有机物B发生两个连续的反应后将结构中的氨基氧化为羟基,得到有机物C;有机物C发生取代反应得到有机物D,根据有机物D的分子式可以推出有机物D为
;有机物D与NBS发生取代反应得到有机物E,根据有机物E的分子式可以推出有机物E为
;有机物E与P(OC2H5)3发生反应得到有机物F,有机物F与有机物G发生反应得到有机物H,结合有机物H的结构、有机物G的分子式和小问5的已知条件可以得到有机物G的结构为
;最后,有机物H与BBr3反应得到目标化合物I。据此分析解题:
【小问1详解】
根据有机物A的结构可知,A的官能团为硝基;
【小问2详解】
根据分析,有机物B的结构简式为:
;
【小问3详解】
根据分析,有机物C发生反应生成有机物D是将C中的羟基取代为甲氧基得到有机物D,故反应类型为取代反应;
【小问4详解】
根据分析,有机物E与P(OC2H5)3发生反应得到有机物F,反应方程式为:
+P(OC2H5)3→
+C2H5Br;
【小问5详解】
有机物G可以发生银镜反应说明有机物G中含有醛基,结合其分子式和有机物F和有机物H的结构可以得到有机物G的结构为
,其化学名称为:4-甲氧基苯甲醛(或对甲氧基苯甲醛);
【小问6详解】
对比有机物H和有机物I的结构可以看出,有机物I中含有酚羟基,可以由此进行鉴别,鉴别试剂为FeCl3溶液,实验现象为分别取少量有机物H和有机物I的固体用于水配置成溶液,向溶液中滴加FeCl3溶液,溶液呈紫色的即为有机物I;
【小问7详解】
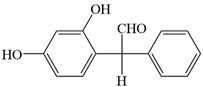
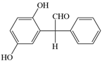
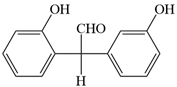
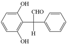
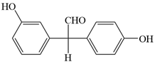
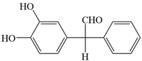
对于有机物I的同分异构体,可以发生银镜反应说明含有醛基;含有手性碳原子,说明有饱和碳原子,可以得到其主体结构为
,因其含有两个酚羟基和手性碳原子,则满足条件的同分异构体有9种,分别为:
、
、
、
、
、
、
、
、
。
>
