2022年成人高考专升本高等数学(一)真题及答案
1. 【选择题】当x→0时,ln(1+x2)为x的( )
A. 高阶无穷小量
B. 等价无穷小量
C. 同阶但不等价无穷小量
D. 低阶无穷小量
正确答案:A
参考解析:
2. 【选择题】
A. ![]()
B. ![]()
C. ![]()
D. ![]()
正确答案:C
参考解析:
3. 【选择题】设y(n-2)=sinx,则y(n)=
A. cosx
B. -cosx
C. sinx
D. -sinx
正确答案:D
参考解析:![]()
4. 【选择题】设函数f(x)=3x3+ax+7在x=1处取得极值,则a=
A. 9
B. 3
C. -3
D. -9
正确答案:D
参考解析:函数f(x)在x=1处取得极值,而f'(x)=9x2+a,故f'(1)=9+a=0,解得a=-9.
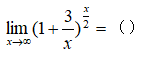
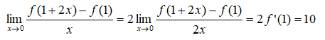
5. 【选择题】![]()
A. 
B. 
C. 
D. 
正确答案:B
参考解析:
6. 【选择题】![]()
A. sin2x
B. sin2x
C. cos2x
D. -sin2x
正确答案:B
参考解析:
7. 【选择题】
A. 
B. 
C. ![]()
D. ![]()
正确答案:D
参考解析:
8. 【选择题】函数f(x,y)=x2+y2-2x+2y+1的驻点是
A. (0,0)
B. (-1,1)
C. (1,-1)
D. (1,1)
正确答案:C
参考解析:由题干可求得fx(x,y)=2x-2,fy(x,y)=2y+2,令fx(x,y)=0,fy(z,y)=0,解得x=1,y=-1,即函数的驻点为(1,-1).
9. 【选择题】下列四个点中,在平面x+y-z+2=0上的是
A. (-2,1,1)
B. (0,1,1)
C. (1,0,1)
D. (1,1,0)
正确答案:A
参考解析:把选项中的几个点带入平面方程,只有选项A满足方程,故选项A是平面上的点.
10. 【选择题】
A. ![]()
B. ![]()
C. ![]()
D. ![]()
正确答案:B
参考解析:
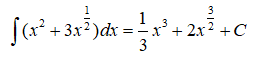
11. 【填空题】
参考解析:
12. 【填空题】
参考解析:
13. 【填空题】
参考解析:
14. 【填空题】
参考解析:
15. 【填空题】
参考解析:
16. 【填空题】
参考解析:
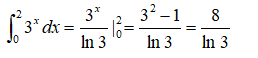
17. 【填空题】![]()
参考解析:
18. 【填空题】
参考解析:
19. 【填空题】
参考解析:
20. 【填空题】过点(1,0,-1)与平面3x-y-z-2=0平行的平面的方程为____.
参考解析:平面3x-y-z-2=0的法向量为(3,-1,-1),所求平面与其平行,故所求平面的法向量为(3,-1,-1),由平面的点法式方程得所求平面方程为3(x-1)-(y-0)-(z+1)=0,即3x-y-z-4=0.
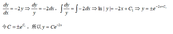
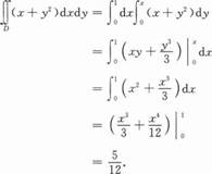
21. 【解答题】
参考解析:
22. 【解答题】
参考解析:
23. 【解答题】求函数f(x)=x3-x2-x+2的单调区间.
参考解析:
24. 【解答题】求曲线y=x2在点(1,1)处的切线方程.
参考解析:
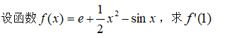
25. 【解答题】![]()
参考解析:
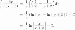
26. 【解答题】![]()
参考解析:
![]()
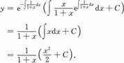
27. 【解答题】![]()
参考解析:
28. 【解答题】证明:当x>0时,ex>1+x.
参考解析:设f(x)=ex-1-x,则f'(x)=ex-1.
当x>0时,f'(x)>0,故f(x)在(0,+∞)单调递增.
又因为f(x)在x=0处连续,且f(0)=0,所以当x>0时,f(x)>0.
因此当x>0时,ex-1-x>0,即ex>1+x
