2022年成人高考专升本高等数学(二)真题及答案
本试卷分第Ⅰ卷(选择题)和第Ⅱ卷(非选择题)两部分.满分150分.考试时间150分钟.
第Ⅰ卷(选择题,共40分)
一、选择题(1~10小题,每小题4分,共40分.在每小题给出的四个选项中,只有一项是符合题目要求的)
1.设函数
则
( )
A.是奇函数但不是周期函数
B.是偶函数但不是周期函数
C.既是奇函数又是周期函数
D. 既是偶函数又是周期函数
2. 若
,则
( )
A. 1 B. 2 C. 3 D. 4
3.设函数
在
处连续,
在
处不连续,则在
处( )
A.
连续 B.
不连续
C.
连续 D.
不连续
4. 设
,则
( )
A.
B.
C.
D. ![]()
5.设
,则
( )
A.
B.
C.
D. ![]()
6.设
,则
( )
A.
B.
C.
D. ![]()
7.若函数
的导数
,则( )
A.
在
单调递减
B.
在
单调递增
C.
在
单调递增
D.
在
单调递增
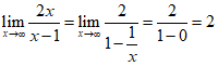
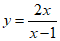
8.曲线
的水平渐近线方程为( )
A.
B.
C.
D. ![]()
9.设函数
,则
( )
A.
B. ![]()
C.
D. ![]()
10.设
,则
( )
A.
B.
C.
D. ![]()
第II卷(非选择题,共110分)
二、填空题(11-20小题,每题4分,共40分)
11.
12.当
时,函数
是
的高阶无穷小量,则![]()
.
13. 设
,则
.
14.曲线
在点(1,2)处的法线方程为 .
15.
.
16.
.
17. 设函数
,则
.
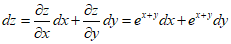
18.设
则
.
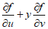
19.设函数
具有连续偏导数,
则
.
20.设A,B为两个随机事件,且
则
.
三、解答题(21-28题,共70分。解答应写出推理、演算步骤)
21.计算(本题满分8分)
设函数
在
处连续,求
.
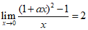
22.(本题满分8分)
设
,求![]()
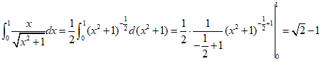
23. (本题满分8分)
求![]()
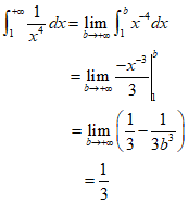
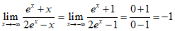
24. (本题满分8分)
计算![]()
25. (本题满分8分)
设离散型随机变量
的概率分布为
| 0 | 1 | 2 | |
| 0.3 | 0.5 | 0.2 |
(1)求
的分布函数
,
(2)求
.
26. (本题满分10分)
设
是由方程
所确定的隐函数,求![]()
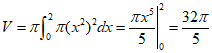
27. (本题满分10分)
设D为由曲线
所围成的图形.
(1)求D的面积.
(2)求D绕
轴旋转一周所得旋转体的体积.
28. (本题满分10分)
证明:当
时,
.
参考答案和解析
一、选择题
1.【答案】B
【考情点拨】本题考查了复合函数的性质的知识点.
【应试指导】
而
,所以函数
是偶函数,但不是周期函数。
2.【答案】A
【考情点拨】本题考查了洛比达法则的知识点.
【应试指导】
故
.
3.【答案】D
【考情点拨】本题考查了函数的连续性的知识点.
【应试指导】
在
处连续,
在
处连续,故
在
处不连续.否则若
在
处连续,则
在
处连续,与题意矛盾,故选D选项。
4.【答案】B
【考情点拨】本题考查了函数导数的知识点.
【应试指导】
.
5.【答案】B
【考情点拨】本题考查了复合函数的导数的知识点.
【应试指导】.
6.【答案】A
【考情点拨】本题考查了高阶导数的知识点.
【应试指导】
.所以![]()
7.【答案】C
【考情点拨】本题考查了函数的单调性的知识点.
【应试指导】当
时此,
,故函数的单调递增区间为
;当
时,
,故函数的单调递减区间为
。因此选C选项。
8.【答案】C
【考情点拨】本题考查了函数的水平渐近线的知识点.
【应试指导】由于
.故函数的水平渐近线为
.
9.【答案】A
【考情点拨】本题考查了不定积分的性质的知识点.
【应试指导】
.
10.【答案】D
【考情点拨】本题考查了二阶函数的全微分的知识点.
【应试指导】由题可得
.故
,因此
.
二、解答题
11.【答案】-1
【考情点拨】本题考查了洛比达法则的知识点.
【应试指导】
.
12.【答案】0
【考情点拨】本题考查了高阶无穷小的知识点.
【应试指导】当
时,
是
的高阶无穷小量,故![]()
13.【答案】![]()
【考情点拨】本题考查了导数的性质的知识点.
【应试指导】
.
14.【答案】![]()
【考情点拨】本题考查了导数的几何意义的知识点.
【应试指导】由题可得
故
,因此曲线在点(1,2)处法线的斜率是
,故所求法线的方程为
即
.
15.【答案】![]()
【考情点拨】本题考查了对称区间上奇偶函数的定积分的性质的知识点.
【应试指导】令
,因此
为奇函数,所以
.
16.【答案】![]()
【考情点拨】本题考查了定积分的计算的知识点.
【应试指导】
17.【答案】![]()
【考情点拨】本题考查了变上限定积分的知识点.
【应试指导】由题意可得
.因此![]()
18.【答案】![]()
【考情点拨】本题考查了二阶偏导数的知识点.
【应试指导】
.
19.【答案】![]()
【考情点拨】本题考查了复合函数的偏导数的知识点.
【应试指导】
.
20.【答案】![]()
【考情点拨】本题考查了条件概率的知识点.
【应试指导】
.
三、解答题
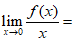
21. 因为
在
处连续,所以![]()
由于
,所以
.
22.
.
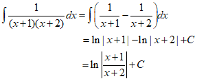
23.

24.

25.(1)
,
(2) ![]()
26.方程两边分别对
和
求偏导数得
.
解得![]()
27.
(1)D的面积

(2)D绕
轴旋转一周所得旋转体的体积

28.设
,则![]()
当
时,
,故
在
单调递增.
又因为
在
处连续,且
,所以当
时,
.
因此当
时,
即![]()
