2022年成人高考高起点数学(理科)真题及答案
1. 【选择题】 设集合M={x||x—2|<1},N={x{x>2},则M∩N=( )
A. {x|1<x<3}
B. {x|x>2}
C. {x|2<x<3}
D. {x}1<x<2}
正确答案:C
参考解析:【考情点拨】本题主要考查的知识点为集合的运算.
【应试指导】解得M={x||x-2|<1}={x|-1<x-2<1}={x|<x<3},故MnN={x|2<x<3).
2. 【选择题】 设函数f(x)=x2-1,则f(x+1)=( )
A. x2+2x+1
B. x2+2x
C. x2+1
D. x2
正确答案:B
参考解析:【考情点拨】本题主要考查的知识点为函数的性质.
【应试指导】f(x+1)=(x+1)2—1=x2+2x+1一1=x2+2x.
3. 【选择题】 函数y=lg(x2—4x+3)的定义域是( )
A. {x{-3<x<-1}
B. {x|x<-3或x>-1}
C. {x|1<x<3}
D. {x|x<1或x>3}
正确答案:D
参考解析:【考情点拨】本题主要考查的知识点为对数函数的性质.
【应试指导】由对数函数的性质可知x2—4x+3>0,解得x>3或x<1,故函数的定义域为{x|x<1或x>3).
4. 【选择题】 下列函数中,为奇函数的是( )
A. y=cos2x
B. y=sinx
C. y=2-x
D. y=x+1
正确答案:B
参考解析:【考情点拨】本题主要考查的知识点为函数的奇偶性.
【应试指导】当f(-x)=-f(x)时,函数f(x)是奇函数,四个选项中只有选项B符合,故选B选项.
5. 【选择题】 下列函数中,为减函数的是( )
A. y=cosx
B. y=3x
C. y=log1/2x
D. y=3x2—1
正确答案:C
参考解析:【考情点拨】本题主要考查的知识点为减函数.
【应试指导】由对数函数的性质可知,当底数大于0小于1时,在定义域内,对数函数为减函数,故选C选项.
6. 【选择题】 ![]()
A. ![]()
B. ![]()
C. ![]()
D. ![]()
正确答案:D
参考解析:【考情点拨】本题主要考查的知识点为三角函数的计算.
【应试指导】
![]()
7. 【选择题】 函数y=x2+1(x≤0)的反函数是
A. ![]()
B. ![]()
C. ![]()
D. ![]()
正确答案:A
参考解析:【考情点拨】本题主要考查的知识点为反函数.
【应试指导】
![]()
![]()
8. 【选择题】 过点(-2,2)与直线x+3y-5=0平行的直线是
A. x+3y-4=0
B. 3x+y+4=0
C. x+3y+8=0
D. 3x-y+8=0
正确答案:A
参考解析:【考情点拨】本题主要考查的知识点为直线方程.
【应试指导】所求直线与x+3y一5=0平行,可设所求直线为x+3y+c=0,将点(-2,2)带入直线方程。故
-2+3×2+c=0,解得c=-4.因此所求直线为x+3y-4=0.
9. 【选择题】 ![]()
A. ![]()
B. ![]()
C. ![]()
D. ![]()
正确答案:D
参考解析:【考情点拨】本题主要考查的知识点为倍角公式.
【应试指导】
![]()
10. 【选择题】 ![]()
A. 甲是乙的必要条件但不是充分条件
B. 甲是乙的充分条件但不是必要条件
C. 甲是乙的充要条件
D. 甲既不是乙的充分条件也不是乙的必要条件
正确答案:A
参考解析:【考情点拨】本题主要考查的知识点为简易逻辑.
【应试指导】三角形相似不一定全等,但三角形全等一定相似,因此,甲是乙的必要条件但不是充分条件.
11. 【选择题】 已知空间向量i,j,k为两两垂直的单位向量,向量a=2i+3j+mk,若
.则m=
A. -2
B. -1
C. 0
D. 1
正确答案:C
参考解析:【考情点拨】本题主要考查的知识点为空间向量的计算.
【应试指导】
![]()
12. 【选择题】 (2-3i)2=
A. 13-6i
B. 13-12i
C. -5-6i
D. -5-12i
正确答案:D
参考解析:【考情点拨】本题主要考查的知识点为向量的计算.
【应试指导】(2—3i)2=4—12i+9i2=4—9—12i=-5—12i.
13. 【选择题】 中心在坐标原点,对称轴为坐标轴,且一个顶点为(3,0),虚轴长为8的双曲线的方程是( )
A. ![]()
B. ![]()
C. ![]()
D. ![]()
正确答案:B
参考解析:【考情点拨】本题主要考查的知识点为双曲线的性质.
【应试指导】双曲线有一个顶点为(3,0),因此所求双曲线的实轴在x轴上,可排除A、C选项,又由于虚轴长为8,故b=4,即b2=16,故双曲线方程为
![]()
14. 【选择题】 ![]()
的展开式中,x2的系数为
A. 20
B. 10
C. 5
D. 1
正确答案:C
参考解析:【考情点拨】本题主要考查的知识点为二项式定理.
【应试指导】二项展开式的第二项为
,故展开式中x2的系数为5.
15. 【选择题】 已知直线ι:3x一2y一5=0,圆C:(x一1)2+(y+1)2=4,则C上到ι的距离为1的点共有( )
A. 1个
B. 2个
C. 3个
D. 4个
正确答案:D
参考解析:【考情点拨】本题主要考查的知识点为直线与圆的位置关系.
【应试指导】由题可知圆的圆心为(1,-1),半径为2,圆心到直线的距离为
,即直线过圆心,因此圆C上到直线的距离为1的点共有4个.
16. 【选择题】 袋中有6个球,其中4个红球,2个白球,从中随机取出2个球,则其中恰有l个红球的概率为( )
A. ![]()
B. ![]()
C. ![]()
D. ![]()
正确答案:A
参考解析:【考情点拨】本题主要考查的知识点为随机事件的概率.
【应试指导】
恰有1个红球的概率为
![]()
17. 【选择题】 给出下列两个命题:
①如果一条直线与一个平面垂直,则该直线与该平面内的任意一条直线垂直
②以二面角的棱上任意一点为端点,在二面角的两个面内分别作射线,则这两条射线所成的角为该二面角的平面角
则( )
A. ①②都为真命题
B. ①为真命题,②为假命题
C. ①为假命题,②为真命题
D. ①②都为假命题
正确答案:B
参考解析:【考情点拨】本题主要考查的知识点为直线与平面的位置关系.
【应试指导】一条直线与平面垂直,则直线与平面内的任意一条直线垂直,故①为真命题;二面角的两条射线必须垂直于二面角的棱,故②为假命题,因此选B选项.
18. 【填空题】点(4,5)关于直线y=x的对称点的坐标为________.
参考解析:(5,4)
【考情点拨】本题主要考查的知识点为对称坐标.
【应试指导】点(4,5)关于直线y=x的对称点为(5,4).
19. 【填空题】长方体的长、宽、高分别为2,3,6,则该长方体的对角线长为________.
参考解析:7
【考情点拨】本题主要考查的知识点为立方体.
【应试指导】由题可知长方体的底面的对角线长为
,则在由高、底面对角线、长方体的对角线组成的三角形中,长方体的对角线长为
![]()
20. 【填空题】某校学生参加一次科技知识竞赛,抽取了其中8位同学的分数作为样本,数据如下:
90,90,75,70,80,75,85,75.
则该样本的平均数为________.
参考解析:80
【考情点拨】本题主要考查的知识点为样本平均数.
【应试指导】样本平均数为
![]()
21. 【填空题】设函数f(x)=xsinx,则f'(x)=________.
参考解析:sinx+xcosx
【考情点拨】本题主要考查的知识点为导数的运算.
【应试指导】f'(x)=(xsinx)'=sinx+xcosx.
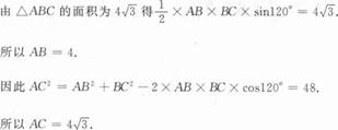
22. 【解答题】(本小题满分12分)
在△ABC中,B=120°,BC=4,△ABC的面积为4根号3,求AC.
参考解析:
23. 【解答题】(本小题满分12分)
已知a,b,c成等差数列,a,b,c+1成等比数列.若b=6,求a和c.
参考解析:
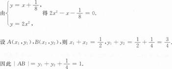
24. 【解答题】(本小题满分12分)
![]()
(工)求ι与C的准线的交点坐标;
(Ⅱ)求|AB|.
参考解析:(I)

(Ⅱ)

25. 【解答题】(本小题满分13分)
设函数f(x)=xlnx+x.
(I)求曲线y=f(x)在点(1,f(1))处的切线方程;
(Ⅱ)求f(x)的极值.
参考解析:(I)f(1)=1,f'(x)=2+lnx,故f'(1)=2.
所以曲线y=f(x)在点(1,f(1))处的切线方程为y=2x-1.
(Ⅱ)令f'(x)=0,解得x=e-2
当0<x<e-2时,f’(x)<0;当x>e-2时,f'(x)>0.
故f(x)在区间(0,e-2)单调递减,在区间(e-2,+∞)单调递增.
因此f(x)在x=e-2时取得极小值f(e-2)=-e-2.
