2023海南普通高中学业水平选择性考试化学试题及答案
1. 化学的迅速发展为满足人民日益增长的美好生活需要做出突出贡献。下列说法不合理的是
A. 为增强药效,多种处方药可随意叠加使用
B.现代化肥种类丰富,施用方法其依据对象营养状况而定
C. 规范使用防腐制可以减缓食物变质速度,保持食品营养所值
D. 在种植业中,植物浸取试剂类医药也应慎重选用
2. 化学实验中的颜色变化,可将化学抽象之美具体为形象之美。下列叙述错误的是
A.土豆片遇到碘溶液,呈蓝色
B. 蛋白质遇到浓硫酸,呈黄色
C.
溶液(
)中滴加乙醇,呈绿色
D. 苯酚溶液(
)中滴加
溶液(
),呈紫色
3. 下列气体除杂(括号里为杂质)操作所选用的试剂合理的是
A.
:饱和
溶液
B.
:碱石灰
C.
:酸性
溶液
D.
:![]()
4. 下列有关元素单质或化合物的叙述正确的是
A.
分子呈正四面体,键角为![]()
B. NaCl焰色试验为黄色,与Cl电子跃迁有关
C. Cu基态原子核外电子排布符合构造原理
D.
是由极性键构成的极性分子
5. 《齐民要术》中记载了酒曲的处理,“乃平量一斗,舀中捣碎。若浸曲,一斗,与五升水。浸曲三日,如鱼眼汤沸……”。下列说法错误的是
A. “捣碎”目的是促进混合完全
B. “曲”中含有复杂的催化剂
C. “斗”和“升”都是容量单位
D. “鱼眼”是水蒸气气泡的拟像化
6.
代表阿伏加德罗常数的值。下列说法正确的是
A. 2.4g镁条在空气中充分燃烧,转移的电子数目为![]()
B. 5.6g铁粉与
的HCl的溶液充分反应,产生的气体分子数目为![]()
C. 标准状况下,
与
充分反应,生成的
分子数目为![]()
D.
完全溶于
所得溶液,
微粒数目为![]()
7. 各相关物质的燃烧热数据如下表。下列热化学方程式正确的是
物质 |
|
|
|
|
|
|
|
A. ![]()
![]()
B. ![]()
![]()
C. ![]()
![]()
D. 
![]()
8. 利用金属Al、海水及其中的溶解氧可组成电池,如图所示。下列说法正确的是

A. b电极为电池正极
B. 电池工作时,海水中的
向a电极移动
C. 电池工作时,紧邻a电极区域的海水呈强碱性
D. 每消耗1kgAl,电池最多向外提供37mol电子的电量
9. 实践中一些反应器内壁的污垢,可选用针对性的试剂溶解除去。下表中污垢处理试剂的选用,符合安全环保理念的是
选项 | A | B | C | D |
污垢 | 银镜反应的银垢 | 石化设备内的硫垢 | 锅炉内的石膏垢 | 制氧的 |
试剂 |
|
| 饱和 | 浓HCl溶液 |
A. A B. B C. C D. D
10. 近年来,我国航天科技事业取得了辉煌的成就。下列说法错误的是
A. 我国科学家由嫦娥五号待回的月壤样品中,首次发现了天然玻璃纤维,该纤维中的主要氧化物
属于离子晶体
B. 某型长征运载火箭以液氧和煤油为推进剂,液氧分子间靠范德华力凝聚在一起
C. “嫦娥石”
是我国科学家首次在月壤中发现的新型静态矿物,该矿物中的Fe位于周期表中的ds区
D. 航天员出舱服中应用了碳纤维增强复合材料。碳纤维中碳原子杂化轨道类型是![]()
11. 下列实验操作不能达到实验的是
选项 | A | B | C | D |
目的 | 检验1-氯丁烷中氯元素 | 检验 | 制备检验醛基用的 | 制备晶体 |
操作 |
|
|
|
|
A. A B. B C. C D. D
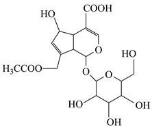
12. 闭花耳草是海南传统药材,具有消炎功效。车叶草苷酸是其活性成分之一,结构简式如图所示。下列有关车叶草苷酸说法正确的是

A. 分子中含有平面环状结构
B. 分子中含有5个手性碳原子
C. 其钠盐在水中的溶解度小于在甲苯中的溶解度
D. 其在弱碱介质中可与某些过渡金属离子形成配合物
13. 工业上苯乙烯的生产主要采用乙苯脱氢工艺:
。某条件下无催化剂存在时,该反应的正、逆反应速率v随时间t的变化关系如图所示。下列说法正确的是

A. 曲线①表示的是逆反应的
关系
B.
时刻体系处于平衡状态
C. 反应进行到
时,
(
为浓度商)
D. 催化剂存在时,
、
都增大
14. 25℃下,
水溶液的pH随其浓度的变化关系如图所示。下列说法正确的是

A.
时,溶液中![]()
B.
水解程度随其浓度增大而减小
C. 在水中
的![]()
D.
的
溶液和
的
溶液等体积混合,得到的溶液![]()
15. 铍的氧化物广泛应用于原子能、航天、电子、陶瓷等领域,是重要的战略物资。利用绿柱石(主要化学成分为(
,还含有一定量的FeO和
)生产BeO的一种工艺流程如下。

回答问题:
(1)
中Be的化合价为_______。
(2)粉碎的目的是_______;残渣主要成分是_______(填化学式)。
(3)该流程中能循环使用的物质是_______(填化学式)。
(4)无水
可用作聚合反应的催化剂。BeO、
与足量C在600~800℃制备
的化学方程式为_______。
(5)沉铍时,将pH从8.0提高到8.5,则铍的损失降低至原来的_______%。
16. 磷酸二氢钾在工农业生产及国防工业等领域都有广泛的应用。某研究小组用质量分数为85%的磷酸与
反应制备
,反应方程式为
一定条件下的实验结果如图1所示。

回答问题:
(1)该条件下,反应至1h时KCl的转化率为_______。
(2)该制备反应的
随温度变化关系如图2所示。该条件下反应为_______反就(填“吸热”或“放热”),且反应热随温度升高而_______

(3)该小组为提高转化率采用的措施中有:使用浓磷酸作反应物、向系统中不断通入水蒸气等。它们能提高转化率的原因是:不使用稀磷酸_______;通入水蒸气_______。
(4)298K时,
的平衡常数
_______。(已知
的
)
17. 某小组开展“木耳中铁元素的检测”活动。检测方案的主要步骤有:粉碎、称量、灰化、氧化、稀释、过滤、滴定等。回答问题:
(1)实验方案中出现的图标
和
,前者提示实验中会用到温度较高的设备,后者要求实验者_______(填防护措施)。
(2)灰化:干燥样品应装入_______中(填标号),置高温炉内,控制炉温850℃,在充足空气氛中燃烧成灰渣。
a.不锈钢培养皿 b.玻璃烧杯 c.石英坩埚
(3)向灰渣中滴加32%的硝酸,直至没有气泡产生。灰化容器中出现的红棕色气体主要成分是_______(填化学式),因而本实验应在实验室的_______中进行(填设施名称)。若将漏斗直接置于容量瓶上过滤收集滤液(如图所示),存在安全风险,原因是_______。

(4)测定铁含量基本流程:将滤液在200mL容量瓶中定容,移取25.00mL,驱尽
并将
全部还原为
。用5mL微量滴定管盛装
标准溶液进行滴定。
①选用微量滴定管的原因是_______。
②三次平行测定的数据如下表。针对该滴定数据,应采取的措施是_______。
序号 | 1 | 2 | 3 |
标准溶液用量/mL | 2.715 | 2.905 | 2.725 |
③本实验中,使测定结果偏小的是_______(填标号)。
a.样品未完全干燥 b.微量滴定管未用标准溶液润洗 c.灰渣中有少量炭黑
18. 局部麻醉药福莫卡因的一种合成路线如下:

回答问题:
(1)A的结构简式:_______,其化学名称_______。
(2)B中所有官能团名称:_______。
(3)B存在顺反异构现象,较稳定异构体的构型为_______式(填“顺”或“反”)。
(4)B→C的反应类型为_______。
(5)与E互为同分异构体之——X,满足条件①含有苯环②核磁共振氢谱只有1组吸收峰,则X的简式为:_______(任写一种)
(6)E→F的反应方程式为_______。
(7)结合下图合成路线的相关信息。以苯甲醛和一两个碳的有机物为原料,设计路线合成
_______。
19. 我国科学家发现一种钡配合物Ⅰ可以充当固氮反应的催化剂,反应过程中经历的中间体包括Ⅱ和Ⅲ。

Ⅰ Ⅱ Ⅲ
(
代表单键、双键或叁键)
回答问题:
(1)配合物Ⅰ中钒的配位原子有4种,它们是_______。
(2)配合物Ⅰ中,R′代表芳基,
空间结构呈角形,原因是_______。
(3)配合物Ⅱ中,第一电离能最大的配位原子是_______。
(4)配合物Ⅱ和Ⅲ中,钒的化合价分别为
和
,配合物Ⅱ、Ⅲ和
三者中,两个氮原子间键长最长的是_______。
(5)近年来,研究人员发现含钒的锑化物
在超导方面表现出潜在的应用前景。
晶胞如图1所示,晶体中包含由V和Sb组成的二维平面(见图2)。

①晶胞中有4个面的面心由钒原子占据,这些钒原子各自周围紧邻的锑原子数为_______。锑和磷同族,锑原子基态的价层电子排布式为_______。
②晶体中少部分钒原子被其它元素(包括Ti、Nb、Cr、Sn)原子取代,可得到改性材料。下列有关替代原子说法正确的是_______。
a.有
或
价态形式 b.均属于第四周期元素
c.均属于过渡元素 d.替代原子与原离子的离子半径相近
参考答案
1.A | 2.B | 3.B | 4.D | 5.B | 6.A | 7.D | 8.A |
|
|
9.BC | 10.AC |
|
|
| |||||
11.A | 12.D |
|
|
|
|
|
|
|
|
13.BD |
|
|
|
| |||||
14.B |
|
|
|
|
|
|
|
|
|
15.(1)+2 (2) ①. 增大反应物的接触面积加快反应速率,提高浸取率 ②. SiO2
(3)(NH4)2SO4
(4)BeO+Cl2+C
CO+BeCl2
(5)10
16.(1)70% (2) ①. 吸热 ②. 降低
(3) ①. 使用浓磷酸作反应物可以提高磷酸的浓度,促使反应正向进行 ②. 使得气体中氯化氢的分压减小,促使反应正向进行
(4)![]()
17.(1)佩戴护目镜
(2)c (3) ①. NO2 ②. 通风橱 ③. 液体无法顺利流下
(4) ①. 滴定更准确,节约试剂 ②. 舍去第二次数据 ③. a
18.(1) ①.
②. 苯甲醛
(2)碳碳双键、酯基。
(3)反 (4)还原反应
(5)
(6)
+
![]()
+NaCl
(7)
19.(1)C、O、P、Cl
(2)根据VSEPR模型,氧原子的价层电子对数为4,其中孤电子对数为2,成键电子对之间呈角形
(3)N (4)配合物Ⅱ
(5) ①. 6 ②.
③. ad




