2023年湖南邵阳中考化学试题及答案
可能用到的相对原子质量:H―1 C―12 O―16 F―19 Na―23 S―32 Cl―35.5 Fe―56 Cu―64 Zn―65 Ba―137
一、选择题:本大题共20个小题,第1~10小题每小题2分,计20分;第11~20小题每小题3分,计30分,共50分,每小题仅有一个正确答案。
1. 2023年4月,淄博烧烤在全国走红。下列是制作烤肉的部分过程,其中发生化学变化的是
A. 清洗肉块 B. 将肉切片
C. 用铁签串成肉串 D. 点燃木炭烧烤
2. 邵阳市新宁县有着“百里脐橙连崀山”的美景。果农合理施用氮肥,脐橙树叶色浓绿,下列属于氮肥的是
A
B.
C.
D. KCl
3. 下列实验操作正确的是
A. 闻气体气味
B. 稀释浓硫酸
C. 点燃酒精灯
D. 测溶液酸碱度
4. 一些物质的pH范围如下,其中呈碱性的是
A 厕所清洁剂(1~2) B. 橘子汁(3~4)
C. 西瓜汁(5~6) D. 炉具清洁剂(12~13)
5. 下列物质的用途错误的是
A. 氧气常用于人工降雨 B. 金刚石可用于裁玻璃
C. 稀有气体可用于制作电光源 D. 小苏打可用作焙制糕点的发酵粉
6. 为纯碱工业技术的发展作出杰出贡献的中国化学家是
A. 张青莲 B. 侯德榜 C. 屠呦呦 D. 袁隆平
7. 我们每天摄入的食物不仅要保证一定的数量,还要注意合理的搭配,以保证各种营养素的均衡摄入。某同学的早餐是馒头、牛奶、鸡蛋、苹果。其中馒头中富含的营养素是
A. 油脂 B. 维生素 C. 糖类 D. 蛋白质
8. 水是一切生命体生存必需的物质,我们要爱护水资源。下列是我国“国家节水标志”的是
A.
B.
C.
D. 
9. 在汽油中加入适量乙醇作为汽车燃料,可节省石油资源,并在一定程度上减少汽车尾气污染。乙醇在空气中充分燃烧的化学方程式为
,试推测X的化学式是
A.
B.
C. CO D. ![]()
10. 中国承建的阿尔卡萨光伏电站是卡塔尔首座太阳能发电站。硅太阳能电池主要材料是高纯硅,如图是硅元素的相关信息和硅原子的结构示意图,下列关于硅的说法错误的是
A. x的数值为4 B. 硅元素属于非金属元素
C. 硅元素的相对原子质量为28.09g D. 硅元素位于元素周期表的第三周期
11. 化学老师带领学生在实验室开展“自制简易冰袋”的探究活动,下列用来制作冰袋最佳的固体物质是
A. 氢氧化钠 B. 硝酸铵 C. 生石灰 D. 氯化钠
12. 下列各图中
和
分别表示不同元素的原子,其中表示混合物的是
A.
B. 
C.
D. 
13. 2022年诺贝尔化学奖授予了对“点击化学和生物正交化学”作出贡献的三位科学家。硫酰氟(
)是“点击化学”中常用的无机试剂之一。下列关于硫酰氟的说法正确的是
A. 硫酰氟是单质
B. 硫酰氟中硫元素的质量分数约为31.4%
C. 硫酰氟中硫、氟两种元素的质量比为1:2
D. 硫酰氟由1个硫原子、1个氧分子和2个氟原子构成
14. 化学与生产、生活密切相关,下列说法均正确的是
A.化学与环保 | B.化学与能源 |
①废旧金属的回收利用不仅可以节约金属资源, 而且可以减少对环境的污染 ②大力植树造林,严禁乱砍滥伐,有利于减缓 温室效应 | ①太阳能、风能和地热能是人们正在利用 和开发的清洁能源 ②可燃冰的大量发现表明化石燃料是一种 取之不尽、用之不竭的能源 |
C.化学与健康 | D.化学与安全 |
①人体缺铁会引起缺铁性贫血 ②甲醛水溶液大量用于肉类食品的防腐 | ①室内起火立即打开门窗通风 ②炒菜时油锅中的油不慎着火,用水扑灭 |
A. A B. B C. C D. D
15. 下列化学方程式书写正确的是
A.
B. ![]()
C.
D. ![]()
16. 化学是一门以实验为基础的科学,许多化学的重大发现和研究成果是通过实验得到的。下列实验得出的结论错误的是

A. ①既可探究分子运动现象,又可说明氨水呈碱性
B. ②既可探究可燃物的燃烧条件,又可说明白磷的着火点比红磷的低
C. ③既可探究
的密度比空气大,又可说明
不能燃烧也不支持燃烧
D. ④既可探究水是由氢、氧两种元素组成的,又可说明正负极产生气体的质量比约为1∶2
17. 推理是化学学习中常用的思维方式。下列推理正确的是
A. 离子是带电的粒子,则带电的粒子一定是离子
B. 溶液是均一、稳定的,则均一、稳定的液体一定是溶液
C. 有机物都含碳元素,则含碳元素的物质一定是有机物
D. 化合物是由不同种元素组成的纯净物,则由不同种元素组成的纯净物一定是化合物
18. 除去下列物质中含有的少量杂质,所用试剂和方法均正确的是
选项 | 物质 | 杂质 | 除杂试剂和方法 |
A |
| KCl | 加入适量的水溶解,过滤,洗涤,干燥 |
B | Ag粉 | Fe粉 | 加入适量的 |
C |
| CO | 通过足量的NaOH溶液后干燥 |
D | NaOH溶液 |
| 加入适量的稀盐酸 |
A. A B. B C. C D. D
19. 有关下列图像的描述,错误的是

A. 图①表示向NaOH溶液中不断加水
B. 图②表示足量红磷在盛满空气的密闭容器中燃烧
C. 图③表示向HCl和
混合溶液中不断加入
溶液
D. 图④表示分别向等质量等溶质质量分数的稀盐酸中同时加入Fe粉和Zn粉至过量
20. 某化学检验员在分析醋酸(
)溶液中溶质的含量时,测得溶液中氢元素的质量分数为10%,则该醋酸溶液中醋酸的质量分数是
A. 75% B. 25% C. 18.5% D. 9.8%
二、填空题:本大题共4个小题,每空2分,共28分。
21. 用适当的化学用语填空。
(1)氢元素______;
(2)镁离子______;
(3)空气中含量最多的气体______;
(4)氯化钠中钠元素的化合价______。
22. 宁宁同学热爱劳动,经常在家整理房间、打扫卫生、做饭和洗碗等。
(1)宁宁在整理书房时,擦拭了书桌上的台灯。如图台灯标示的各部件中,用有机合成材料制成的是______(填序号);
(2)宁宁炒完菜后,为了防止铁锅生锈,把铁锅洗净烘干。铁生锈实际上是铁与空气中的______发生化学反应;
(3)宁宁饭后利用洗洁精的______作用将餐具油污洗掉;
(4)宁宁想净化生活用水,你认为他会使用的方法有______(填一种即可)。
23. 甲、乙、丙三种固体物质的溶解度曲线如图所示。回答下列问题:
(1)t1℃时,丙物质的溶解度是______g;
(2)使接近饱和的乙溶液变为饱和溶液,可采用的一种方法是______。
(3)甲中混有少量乙,可用______的方法(填“降温结晶”或“蒸发结晶”)提纯甲。
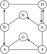
24. 已知A~H为初中化学常见的8种物质,已知A是无色无味的气体,且能使澄清石灰水变浑浊,C的溶液为蓝色;从物质类别来看,A和B属于同一类别,C和D属于同一类别,F和G属于同一类别,他们的相互关系如图所示。(物质类别是指:单质、氧化物、酸、碱、盐;“→”表示一种物质可以通过一步反应转化为另一种物质,“—”表示相连的两种物质之间可以发生反应;反应条件、部分反应物和生成物已略去)
(1)物质A的化学式______;
(2)B→C反应所属的基本反应类型是______;
(3)D→E反应的化学方程式______。
三、实验探究题:本大题共2个小题,每空2分,共16分。
25. 根据下列装置图回答问题。
(1)B装置中仪器①的名称是______;
(2)实验室常用A、C装置制取二氧化碳,其反应原理是______(用化学方程式表示);
(3)实验室常用加热高锰酸钾的方法制取氧气,在装入药品前应先检查装置的______;若需收集较纯净的氧气,应选择的收集装置是______(填字母)。
26. 化学实验小组同学针对教材中提出的“硫酸铜溶液对过氧化氢的分解具有催化作用”进行相关探究。
【探究一】
(1)要证明
溶液对
分解具有催化作用,除需证明
溶液能改变
分解的速率外,还需证明
在化学反应前后的质量和______不变;
(2)为探究
在化学反应前后的质量是否发生改变,实验小组同学设计了如下实验:将含溶质质量为ag的
溶液加入到一定量的
溶液中,取充分反应后的全部溶液继续进行实验,流程如下图(实验过程中的损耗忽略不计)。

①蓝色沉淀灼烧时发生分解反应,只生成黑色固体和水,写出该反应的化学方程式______;
②若
在化学反应前后质量未改变,则该实验需满足的定量关系为:a=______(用m、n表示)。
【探究二】
为进一步探究溶液中起催化作用的是哪种微观粒子,实验小组同学设计了如下图所示的对比实验。

(3)若观察到______(填实验现象),则说明
溶液中起催化作用的是
。
四、计算题:本大题共6分。
27. 某工厂化验室用20%的氢氧化钠溶液洗涤一定量石油产品中的残余硫酸,共消耗氢氧化钠溶液40g,洗涤后的溶液呈中性。
试计算:
(1)40g氢氧化钠溶液中溶质质量是______g;
(2)这一定量石油产品中含
的质量是多少?(写出计算过程,结果精确到0.1g)
参考答案
一、选择题:本大题共20个小题,第1~10小题每小题2分,计20分;第11~20小题每小题3分,计30分,共50分,每小题仅有一个正确答案。
【1题答案】
【答案】D
【2题答案】
【答案】A
【3题答案】
【答案】A
【4题答案】
【答案】D
【5题答案】
【答案】A
【6题答案】
【答案】B
【7题答案】
【答案】C
【8题答案】
【答案】C
【9题答案】
【答案】B
【10题答案】
【答案】C
【11题答案】
【答案】B
【12题答案】
【答案】B
【13题答案】
【答案】B
【14题答案】
【答案】A
【15题答案】
【答案】D
【16题答案】
【答案】D
【17题答案】
【答案】D
【18题答案】
【答案】A
【19题答案】
【答案】D
【20题答案】
【答案】B
二、填空题:本大题共4个小题,每空2分,共28分。
【21题答案】
【答案】(1)H (2)Mg2+
(3)N2 (4)![]()
【22题答案】
【答案】(1)⑤ (2)氧气和水##O2和H2O (3)乳化 (4)蒸馏(合理即可)
【23题答案】
【答案】(1)20 (2)降低温度##增加溶质##蒸发溶剂
(3)降温结晶
【24题答案】
【答案】(1)CO2 (2)复分解反应
(3)BaCl2+H2SO4=BaSO4↓+2HCl
三、实验探究题:本大题共2个小题,每空2分,共16分。
【25题答案】
【答案】(1)试管 (2)
(3) ①. 气密性 ②. D
【26题答案】
【答案】(1)化学性质
(2) ①
②.
(3)甲中迅速产生大量气泡,乙、丙中无明显现象
四、计算题:本大题共6分。
【27题答案】
【答案】(1)8 (2)解:设这一定量石油产品中含 H2SO4 的质量是x,

![]()
解得x=9.8g
答:这一定量石油产品中含 H2SO4 的质量是9.8g。
