2023年湖南郴州中考化学试题及答案
可能用到的相对原子质量:H-1 C-12 N-14 O-16 Na-23 Cl-35.5 Fe-56 Cu-64 Zn-65
一、选择题(共15小题,每小题3分,共45分。每小题只有一个选项符合题意)
1. 下列叙述只涉及物理变化的是
A. CO使人中毒 B. 醋酸溶解鸡蛋壳
C. 白磷在空气中自燃 D. 铁水铸锅
2. 下列图示的实验操作正确的是
A. 滴加溶液
B. 测pH
C. 量筒读数
D. 收集H2
3. 下列说法正确的是
A. 经过液化、蒸发从空气中得到氧气的过程是化学变化
B. 破坏臭氧层会引起酸雨
C. 空气是由空气分子组成的
D. 氧气可用于医疗急救
4. 关于水的说法正确的是
A. 水是由氢、氧两种元素组成的混合物
B. 煮沸可以降低水的硬度
C. 电解水产生氢气、氧气的质量比为2:1
D. 饮用水越纯越好
5. 下列实验操作或现象描述正确的是
A. 硫在空气中燃烧产生蓝紫色火焰
B. 用剩的药品一定要放回原瓶
C. 镁与盐酸反应吸收热量
D. 点燃甲烷前,要先验纯
6. 郴州有丰富的溶洞资源。溶洞中钟乳石、石笋的形成与下面反应有关:
,该反应属于
A. 化合反应 B. 分解反应
C. 置换反应 D. 复分解反应
7. 关于碳及其化合物的说法正确的是
A. 一氧化碳有还原性,没有毒性
B. 二氧化碳是一种污染性气体
C. 含碳酸根或碳酸氢根离子的盐都能与盐酸反应生成二氧化碳气体
D. 活性炭具有吸附性,木炭没有吸附性
8. 下列叙述能体现分子之间有间隔的是
A. 水蒸发为水蒸气,所占体积变大 B. 墙内开花墙外香
C. 1滴水中大约有1.67×1021个水分子 D. 湿衣服
阳光下比在阴凉处干得快
9. 为验证铁、铜、银三种金属的活动性顺序,小东设计了如下所示的两组实验。下列说法正确的是
A. 通过实验①、②能够验证三种金属的活动性顺序
B. 实验②中发生的反应是:![]()
C. 实验①中溶液质量逐渐增大
D. 实验①中溶液颜色由蓝色变为黄色
10. 胃舒平治疗胃酸过多的化学反应为:
,其中未涉及的物质类别是
A 酸 B. 碱 C. 单质 D. 氧化物
11. 下列关于硫酸的说法错误的是
A. 浓硫酸有强烈的腐蚀性
B. 稀释浓硫酸时,应将水注入浓硫酸中,并用玻璃棒搅拌
C. 稀硫酸可用来除铁锈
D. 浓硫酸有吸水性,可作干燥剂
12. 下列做法不正确的是
A. 除去KNO3固体中少量NaCl:加水溶解、蒸发浓缩、冷却结晶、过滤
B. 分离水和酒精:蒸馏
C. 鉴别Na2CO3和Na2SO4:分别加入盐酸
D. 除去CO2中的CO:通入O2点燃
13. 在农业生产中,农作物一般适宜在中性或接近中性的土壤中生长。现对四个化工厂周围的土壤进行采样测量pH,结果如下:
编号 | ① | ② | ③ | ④ |
pH | 5 5 | 5.8 | 7.1 | 8.3 |
其中最适宜种植农作物的土壤是
A. ① B. ② C. ③ D. ④
14. 下列各图的变化趋势与选项要求不相符的是

A. 向NaOH溶液中不断加入稀盐酸
B. 向足量的稀硫酸中,分别加入等质量的Zn、Fe
C. T℃时,向NH4Cl饱和溶液中加水稀释
D. 向AgNO3溶液中加入NaCl溶液
15. 一定条件下,在密闭容器中发生某化学反应,测得反应过程中各物质的质量数据如下表:
物质 | 甲 | 乙 | 丙 | 丁 |
反应前的质量/g | 10 | 16 | 0 | 2 |
反应中的质量/g | 7 | 8 | a | 2 |
反应后的质量/g | b | 0 | 22 | c |
下列选项正确的是
A. a=11 B. 丁一定是催化剂
C. 该反应为分解反应 D. b=3
二、填空题(共4小题,每空1分,共20分)
16. 按要求用化学符号填空:
(1)3个甲烷分子_______。
(2)铝离子的结构示意图_______。
(3)5个磷原子_______。
(4)生石灰的化学式_______。
(5)重铬酸钾(K2Cr2O7)中铬元素的化合价_______。
17. 人类的日常生活处处与化学紧密相连。请按要求回答下列问题:
(1)“水立方”使用的乙烯-四氟乙烯聚合物属于_______(填“有机物”或“无机物”);
(2)炒菜时,铁锅中的油着火可用锅盖盖灭,其原理是_______。
(3)人体含量最高的金属元素是_______(填元素符号);
(4)铜质插头是利用了金属铜的_______性;
(5)为增强水稻的抗倒伏能力,可施用_______(填“氮肥”或“磷肥”或“钾肥”)。
18. 下图为元素周期表的部分结构。请按要求回答下列问题:
(1)硅元素在元素周期表中位于第_______周期;
(2)上表中有两种金属元素,其金属活动性较强的是_______(填元素符号);
(3)画出②的原子结构示意图_______。
(4)上表中化学性质最稳定的元素是_______(填序号);
(5)元素①、③、⑥组成的化合物的化学式_______。
19. 甲、乙、丙三种固体物质的溶解度曲线如下图所示。回答下列问题:
(1)T3℃时,甲、乙、丙的溶解度由大到小的顺序是_______。
(2)甲和乙溶解度相同时,对应的温度是_______。
(3)图中表示甲不饱和溶液的点是_______。
(4)图中与气体溶解度变化规律相似的曲线是_______。
(5)T1℃时,将50g甲放入100g水里,充分溶解,所得溶液的质量为_______g。
三、简答题(共2小题,化学方程式每个2分,其余每空1分,共10分)
20. “天下莽山,打卡520米悬崖网红无边温泉;在1758米的五指峰之巅,须略雄奇壮美的仙境”。今年“五一”期间,小明一家开着纯电动汽车去莽山旅游。
(1)小明爬山时看到一些塑料垃圾。塑料垃圾易带来_______污染;
(2)路途中,小明发现一些树干涂了一层白色的物质。它的作用是_______。
(3)下山后,小明晚餐吃了腊肉、鸭肉、鱼、米饭。从营养均衡的角度,还需要补充_______。
A. 蛋糕 B. 蔬菜和水果 C. 牛奶 D. 饮料
(4)饭后,小明妈妈用肥皂洗衣服的时候发现泡沫很少,说明洗衣服的水是_______(填“硬水”或“软水”);
(5)请写出纯电动汽车相对于传统燃油汽车的优点_______(写一种即可)。
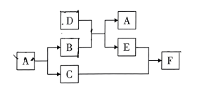
21. A~F是初中化学中常见的物质,其中D为赤铁矿的主要成分,F为黑色固体。各物质之间的转化关系如下图所示(反应条件均已略去)。
请按要求回答下列问题:

(1)F的化学式是_______。
(2)写出B的一种用途_______。
(3)写出B+D→A+E的化学方程式_______。
(4)上述转化关系中未涉及的基本反应类型是_______。
四、实验与探究题(共2小题,化学方程式每个2分,其余每空1分,共15分)
22. 下图是实验室中常见的一些装置。请根据所学知识回答下列问题:

(1)仪器①的名称是_______。
(2)C装置中玻璃棒的作用是_______。
(3)实验室既可用于制氧气又可用于制二氧化碳的发生装置是_______(填装置编号),用此装置制氧气,其反应的化学方程式是_______。
(4)装置E可用于收集_______(填“氧气”或“二氧化碳”),气体应该从_______口进入(填“a”或“b”);
(5)若选用B装置制氧气,试管口棉花的作用是_______。
23. 图1为某兴趣小组用大理石和盐酸制备的CO2,来验证CO2和澄清石灰水反应的装置。实验时发现澄清石灰水中只看到出现气泡,但未见浑浊。该小组对其原因进行了探究。
查阅资料:常温常压下,HCl的溶解度为1:500,CO2的溶解度为1:0.759。

【猜想与假设】
(1)猜想一:_______;猜想二:CO2中混有氯化氢气体。
【实验与验证】
(2)①甲同学取少量该澄清石灰水于试管中,用饮料管往试管内吹气,溶液_______(填现象),则猜想一不成立;
②乙同学用图2所示装置进行实验,结果观察到C中溶液变浑浊;为进一步验证,再取B中反应后的溶液,滴加_______(填化学式)溶液,出现白色浑浊,则猜想二成立。

【反思与评价】
(3)①通过上述实验可知,用盐酸制取气体时,往往混有HCl气体,说明盐酸具有_______性;
②为除去CO2中混有的氯化氢气体,最好选用_______。
a.NaOH溶液 b.浓硫酸 c.饱和NaHCO3溶液
③丙同学不理解,混有氯化氢气体的CO2为什么不能使澄清石灰水变浑浊。请你帮他解释一下:_______(用化学方程式表示)。
五、计算题(共2小题,共10分)
24. 某氨基酸的化学式为CxH7O2N,已知其相对分子质量为89。试计算:
(1)x=_______。
(2)该氨基酸中C、O元素质量之比为_______。
25. 实验室有一瓶CuCl2和盐酸的混合溶液。为测定其中各成分的含量,现取10g该混合溶液,逐滴加入10%NaOH溶液。加入NaOH溶液的质量和生成沉淀的质量如下图所示。试计算(写出计算过程):
(1)该10g混合溶液中CuCl2的质量;
(2)原混合溶液中HCl的质量分数。
参考答案
一、选择题(共15小题,每小题3分,共45分。每小题只有一个选项符合题意)
【1题答案】
【答案】D
【2题答案】
【答案】C
【3题答案】
【答案】D
【4题答案】
【答案】B
【5题答案】
【答案】D
【6题答案】
【答案】B
【7题答案】
【答案】C
【8题答案】
【答案】A
【9题答案】
【答案】A
【10题答案】
【答案】C
【11题答案】
【答案】B
【12题答案】
【答案】D
【13题答案】
【答案】C
【14题答案】
【答案】C
【15题答案】
【答案】A
二、填空题(共4小题,每空1分,共20分)
【16题答案】
【答案】(1)3CH4
(2)
(3)5P
(4)CaO (5)![]()
【17题答案】
【答案】(1)有机物 (2)隔绝空气(或氧气)
(3)Ca (4)导电
(5)钾肥
【18题答案】
【答案】(1)三 (2)Na
(3)
(4)④
(5)Mg(OH)2
【19题答案】
【答案】(1)甲>乙=丙
(2)T1℃ (3)D
(4)丙物质的溶解度曲线
(5)125
三、简答题(共2小题,化学方程式每个2分,其余每空1分,共10分)
【20题答案】
【答案】(1)白色 (2)杀菌消毒,保护树木,防止冻伤(合理即可) (3)B (4)硬水
(5)节约化石能源,减少污染
【21题答案】
【答案】(1)Fe3O4
(2)作燃料(合理即可)
(3)![]()
(4)复分解反应
四、实验与探究题(共2小题,化学方程式每个2分,其余每空1分,共15分)
【22题答案】
【答案】(1)集气瓶 (2)引流
(3) ①. A ②.
(4) ①. 氧气 ②. b
(5)防止加热时试管内粉末状物质进入导管
【23题答案】
【答案】(1)澄清石灰水变质
(2) ①. 变浑浊 ②. AgNO3
(3) ①. 挥发 ②. c ③. ![]()
五、计算题(共2小题,共10分)
【24题答案】
【答案】(1)3 (2)9:8
【25题答案】
【答案】(1)解:设生成0.98g沉淀需要参加参加反应的氢氧化钠的质量为x,氯化铜的质量为y。

答:氯化铜的质量是1.35g。
(2)原混合溶液中HCl的质量为z。

原混合溶液中HCl的质量分数:![]()
答:原混合溶液中HCl的质量分数是7.3%。
