2023年湖北高考化学试题及答案
可能用到的相对原子质量:H1 Li7 O16 Si28 Cu64 I127 La139
一、选择题:本题共15小题,每小题3分,共45分。在每小题给出的四个选项中,只有一项是符合题目要求的。
1. 2023年5月10日,天舟六号货运飞船成功发射,标志着我国航天事业进入到高质量发展新阶段。下列不能作为火箭推进剂的是
A. 液氮-液氢 B. 液氧-液氢 C. 液态
-肼 D. 液氧-煤油
2. 下列化学事实不符合“事物的双方既相互对立又相互统一”的哲学观点的是
A. 石灰乳中存在沉淀溶解平衡
B. 氯气与强碱反应时既是氧化剂又是还原剂
C. 铜锌原电池工作时,正极和负极同时发生反应
D. Li、Na、K的金属性随其核外电子层数增多而增强
3. 工业制备高纯硅的主要过程如下:
石英砂
粗硅
高纯硅
下列说法错误的是
A. 制备粗硅的反应方程式为
B. 1molSi含Si-Si键的数目约为![]()
C. 原料气HCl和
应充分去除水和氧气
D. 生成
的反应为熵减过程
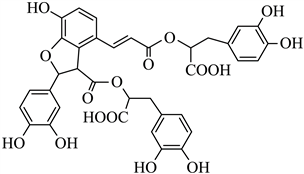
4. 湖北蕲春李时珍的《本草纲目》记载的中药丹参,其水溶性有效成分之一的结构简式如图。下列说法正确的是

A. 该物质属于芳香烃 B. 可发生取代反应和氧化反应
C. 分子中有5个手性碳原子 D. 1mol该物质最多消耗9molNaOH
5. 化学用语可以表达化学过程,下列化学用语的表达错误的是
A. 用电子式表示
的形成:![]()
B. 用离子方程式表示
溶于烧碱溶液:![]()
C. 用电子云轮廓图表示H-H的s-sσ键形成的示意图:
D. 用化学方程式表示尿素与甲醛制备线型脲醛树脂:![]()
6. W、X、Y、Z为原子序数依次增加的同一短周期元素,其中X、Y、Z相邻,W的核外电子数与X的价层电子数相等,
是氧化性最强的单质,4种元素可形成离子化合物
。下列说法正确的是
A. 分子的极性:
B. 第一电离能:X<Y<Z
C. 氧化性:
D. 键能:![]()
7. 中科院院士研究发现,纤维素可在低温下溶于NaOH溶液,恢复至室温后不稳定,加入尿素可得到室温下稳定的溶液,为纤维素绿色再生利用提供了新的解决方案。下列说法错误的是

A. 纤维素是自然界分布广泛的一种多糖
B. 纤维素难溶于水的主要原因是其链间有多个氢键
C. NaOH提供
破坏纤维素链之间的氢键
D. 低温降低了纤维素在NaOH溶液中
溶解性
8. 实验室用以下装置(夹持和水浴加热装置略)制备乙酸异戊酯(沸点142℃),实验中利用环己烷-水的共沸体系(沸点69℃)带出水分。已知体系中沸点最低的有机物是环己烷(沸点81℃),其反应原理:
![]()
下列说法错误的是

A. 以共沸体系带水促使反应正向进行 B. 反应时水浴温度需严格控制在69℃
C. 接收瓶中会出现分层现象 D. 根据带出水的体积可估算反应进度
9. 价层电子对互斥理论可以预测某些微粒的空间结构。下列说法正确的是
A.
和
的VSEPR模型均为四面体
B.
和
的空间构型均为平面三角形
C.
和
均
非极性分子
D.
与
的键角相等
10. 我国科学家设计如图所示的电解池,实现了海水直接制备氢气技术的绿色化。该装置工作时阳极无
生成且KOH溶液的浓度不变,电解生成氢气的速率为
。下列说法错误的是

A. b电极反应式为![]()
B. 离子交换膜为阴离子交换膜
C. 电解时海水中动能高的水分子可穿过PTFE膜
D. 海水为电解池补水的速率为![]()
11. 物质结构决定物质性质。下列性质差异与结构因素匹配错误的是
选项 | 性质差异 | 结构因素 |
A | 沸点:正戊烷(36.1℃)高于新戊烷(9.5℃) | 分子间作用力 |
B | 熔点: | 晶体类型 |
C | 酸性: | 羟基极性 |
D | 溶解度(20℃): | 阴离子电荷 |
A. A B. B C. C D. D
12. 下列事实不涉及烯醇式与酮式互变异构原理的是

A.
能与水反应生成![]()
B.
可与
反应生成![]()
C.
水解生成
D.
中存在具有分子内氢键的异构体
13. 利用如图所示的装置(夹持及加热装置略)制备高纯白磷的流程如下:
![]()
下列操作错误的是

A. 红磷使用前洗涤以除去表面杂质
B. 将红磷转入装置,抽真空后加热外管以去除水和氧气
C. 从a口通入冷凝水,升温使红磷转化
D. 冷凝管外壁出现白磷,冷却后
氮气氛围下收集
14.
为某邻苯二酚类配体,其
,
。常温下构建
溶液体系,其中
,
。体系中含Fe物种的组分分布系数δ与pH的关系如图所示,分布系数
,已知
,
。下列说法正确的是

A. 当
时,体系中![]()
B. pH在9.5~10.5之间,含L的物种主要为![]()
C.
的平衡常数的lgK约为14
D. 当
时,参与配位的![]()
15. 镧La和H可以形成一系列晶体材料
,在储氢和超导等领域具有重要应用。
,属于立方晶系,晶胞结构和参数如图所示。高压下,
中的每个H结合4个H形成类似
的结构,即得到晶体
。下列说法错误的是

A.
晶体中La的配位数为8
B. 晶体中H和H的最短距离:![]()
C. 在
晶胞中,H形成一个顶点数为40的闭合多面体笼
D.
单位体积中含氢质量的计算式为
二、非选择题:本题共4小题,共55分。
16.
是生产多晶硅的副产物。利用
对废弃的锂电池正极材料
进行氯化处理以回收Li、Co等金属,工艺路线如下:

回答下列问题:
(1)Co位于元素周期表第_______周期,第_______族。
(2)烧渣是LiCl、
和
的混合物,“500℃焙烧”后剩余的
应先除去,否则水浸时会产生大量烟雾,用化学方程式表示其原因_______。
(3)鉴别洗净的“滤饼3”和固体
常用方法的名称是_______。
(4)已知
,若“沉钴过滤”的pH控制为10.0,则溶液中
浓度为_______
。“850℃煅烧”时的化学方程式为_______。
(5)导致
比
易水解的因素有_______(填标号)。
a.Si-Cl键极性更大 b.Si的原子半径更大
c.Si-Cl键键能更大 d.Si有更多的价层轨道
17. 碳骨架的构建是有机合成的重要任务之一。某同学从基础化工原料乙烯出发,针对二酮H设计了如下合成路线:

回答下列问题:
(1)由A→B的反应中,乙烯的碳碳_______键断裂(填“π”或“σ”)。
(2)D的同分异构体中,与其具有相同官能团的有_______种(不考虑对映异构),其中核磁共振氢谱有三组峰,峰面积之比为
的结构简式为_______。
(3)E与足量酸性
溶液反应生成的有机物的名称为_______、_______。
(4)G
结构简式为_______。
(5)已知:
,H在碱性溶液中易发生分子内缩合从而构建双环结构,主要产物为I(
)和另一种α,β-不饱和酮J,J的结构简式为_______。若经此路线由H合成I,存在的问题有_______(填标号)。
a.原子利用率低 b.产物难以分离 c.反应条件苛刻 d.严重污染环境
18. 学习小组探究了铜的氧化过程及铜的氧化物的组成。回答下列问题:
(1)铜与浓硝酸反应的装置如下图,仪器A的名称为_______,装置B的作用为_______。

(2)铜与过量
反应的探究如下:

实验②中Cu溶解的离子方程式为_______;产生的气体为_______。比较实验①和②,从氧化还原角度说明
的作用是_______。
(3)用足量NaOH处理实验②新制的溶液得到沉淀X,元素分析表明X为铜的氧化物,提纯干燥后的X在惰性氛围下加热,mgX完全分解为ng黑色氧化物Y,
。X的化学式为_______。
(4)取含X粗品0.0500g(杂质不参加反应)与过量的酸性KI完全反应后,调节溶液至弱酸性。以淀粉为指示剂,用
标准溶液滴定,滴定终点时消耗
标准溶液15.00mL。(已知:
,
)标志滴定终点的现象是_______,粗品中X的相对含量为_______。
19. 纳米碗
是一种奇特的碗状共轭体系。高温条件下,
可以由
分子经过连续5步氢抽提和闭环脱氢反应生成。
的反应机理和能量变化如下:


回答下列问题:
(1)已知
中的碳氢键和碳碳键的键能分别为
和
,H-H键能为
。估算
的
_______
。
(2)图示历程包含_______个基元反应,其中速率最慢
是第_______个。
(3)
纳米碗中五元环和六元环结构的数目分别为_______、_______。
(4)1200K时,假定体系内只有反应
发生,反应过程中压强恒定为
(即
的初始压强),平衡转化率为α,该反应的平衡常数
为_______(用平衡分压代替平衡浓度计算,分压=总压×物质的量分数)。
(5)
及
反应的
(
为平衡常数)随温度倒数的关系如图所示。已知本实验条件下,
(R为理想气体常数,c为截距)。图中两条线几乎平行,从结构的角度分析其原因是_______。

(6)下列措施既能提高反应物的平衡转化率,又能增大生成
的反应速率的是_______(填标号)。
a.升高温度 b.增大压强 c.加入催化剂
参考答案
一、选择题:本题共15小题,每小题3分,共45分。在每小题给出的四个选项中,只有一项是符合题目要求的。
【1题答案】
【答案】A
【2题答案】
【答案】D
【3题答案】
【答案】B
【4题答案】
【答案】B
【5题答案】
【答案】D
【6题答案】
【答案】A
【7题答案】
【答案】B
【8题答案】
【答案】B
【9题答案】
【答案】A
【10题答案】
【答案】D
【11题答案】
【答案】D
【12题答案】
【答案】B
【13题答案】
【答案】B
【14题答案】
【答案】C
【15题答案】
【答案】C
二、非选择题:本题共4小题,共55分。
【16题答案】
【答案】(1) ①. 4 ②. Ⅷ
(2)![]()
(3)焰色反应 (4) ①.
②. ![]()
(5)abd
【17题答案】
【答案】(1)π (2) ①. 7 ②. 
(3) ①. 乙酸 ②. 丙酮
(4)
(5) ①.
②. ab
【18题答案】
【答案】(1) ①. 具支试管 ②. 防倒吸
(2) ①. Cu+H2O2+2H+= Cu2++2H2O ②. O2 ③. 既不是氧化剂,又不是还原剂
(3)CuO2 (4) ①. 溶液蓝色消失,且半分钟不恢复原来的颜色 ②. 72%
【19题答案】
【答案】(1)128 (2) ①. 3 ②. 3
(3) ①. 6 ②. 10
(4)![]()
(5)在反应过程中,断裂和形成的化学键相同
(6)a
