2023年北京普通高中学业水平等级性考试化学试题及答案
可能用到的相对原子质量:H-1 C-12 N-14 O-16 Mg-24 S-32
第一部分
本部分共14小题,每题3分,共42分。在每题列出的四个选项中,选出最符合题目要求的一项。
1. 中国科学家首次成功制得大面积单晶石墨炔,是碳材料科学的一大进步。

下列关于金刚石、石墨、石墨炔的说法正确的是
A. 三种物质中均有碳碳原子间的
键 B. 三种物质中的碳原子都是
杂化
C. 三种物质的晶体类型相同 D. 三种物质均能导电
2. 下列化学用语或图示表达正确的是
A.
的电子式为
B.
的VSEPR模型为
C.
电子云图为
D. 基态
原子的价层电子轨道表示式为![]()
3. 下列过程与水解反应无关的是
A. 热的纯碱溶液去除油脂
B. 重油在高温、高压和催化剂作用下转化为小分子烃
C. 蛋白质在酶的作用下转化为氨基酸
D. 向沸水中滴入饱和
溶液制备
胶体
4. 下列事实能用平衡移动原理解释的是
A.
溶液中加入少量
固体,促进
分解
B. 密闭烧瓶内的
和
的混合气体,受热后颜色加深
C. 铁钢放入浓
中,待不再变化后,加热能产生大量红棕色气体
D. 锌片与稀
反应过程中,加入少量
固体,促进
的产生
5. 回收利用工业废气中的
和
,实验原理示意图如下。

下列说法不正确的是
A. 废气中
排放到大气中会形成酸雨
B. 装置a中溶液显碱性的原因是
的水解程度大于
的电离程度
C. 装置a中溶液的作用是吸收废气中的
和![]()
D. 装置
中的总反应为
6. 下列离子方程式与所给事实不相符的是
A.
制备84消毒液(主要成分是
):![]()
B. 食醋去除水垢中的
:![]()
C. 利用覆铜板制作印刷电路板:![]()
D.
去除废水中的
:![]()
7. 蔗糖与浓硫酸发生作用的过程如图所示。

下列关于该过程的分析不正确的是
A. 过程①白色固体变黑,主要体现了浓硫酸的脱水性
B. 过程②固体体积膨胀,与产生的大量气体有关
C. 过程中产生能使品红溶液褪色的气体,体现了浓硫酸的酸性
D. 过程中蔗糖分子发生了化学键的断裂
8. 完成下述实验,装置或试剂不正确的是

A. 实验室制
B. 实验室收集
C. 验证
易溶于水且溶液呈碱性 D. 除去
中混有的少量![]()
9. 一种聚合物
的结构简式如下,下列说法不正确的是

A.
的重复单元中有两种官能团
B.
通过单体
缩聚合成
C. ![]()
碱性条件下可发生降解
D.
中存在手性碳原子
10. 下列事实不能通过比较氟元素和氯元素的电负性进行解释的是
A.
键的键能小于
键的键能
B. 三氟乙酸的
大于三氯乙酸的![]()
C. 氟化氢分子的极性强于氯化氢分子的极性
D. 气态氟化氢中存在
,而气态氯化氢中是
分子
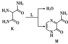
11. 化合物
与
反应可合成药物中间体
,转化关系如下。

已知L能发生银镜反应,下列说法正确的是
A. K的核磁共振氢谱有两组峰 B. L是乙醛
C. M完全水解可得到K和I D. 反应物K与L的化学计量比是1∶1
12. 离子化合物
和
与水的反应分别为①
;②
。下列说法正确的是
A.
中均有非极性共价键
B. ①中水发生氧化反应,②中水发生还原反应
C.
中阴、阳离子个数比为
,
中阴、阳离子个数比为![]()
D. 当反应①和②中转移的电子数相同时,产生的
和
的物质的量相同
13. 一种分解氯化铵实现产物分离的物质转化关系如下,其中
代表
或
中的一种。下列说法正确的是

A. a、c分别是![]()
B.
既可以是
,也可以是![]()
C. 已知
为副产物,则通入水蒸气可减少
的产生
D. 等压条件下,反应①、②的反应热之和,小于氯化铵直接分解的反应热
14. 利用平衡移动原理,分析一定温度下
在不同
的
体系中的可能产物。
已知:i.图1中曲线表示
体系中各含碳粒子的物质的量分数与
的关系。
ii.2中曲线Ⅰ的离子浓度关系符合
;曲线Ⅱ的离子浓度关系符合
[注:起始
,不同
下
由图1得到]。


下列说法不正确的是
A. 由图1,![]()
B. 由图2,初始状态
,无沉淀生成
C. 由图2,初始状态
,平衡后溶液中存在![]()
D. 由图1和图2,初始状态
、
,发生反应:![]()
第二部分
本部分共5小题,共58分。
15. 硫代硫酸盐是一类具有应用前景的浸金试剂。硫代硫酸根
可看作是
中的一个
原子被
原子取代的产物。
(1)基态
原子价层电子排布式是__________。
(2)比较
原子和
原子的第一电离能大小,从原子结构的角度说明理由:____________________。
(3)
的空间结构是__________。
(4)同位素示踪实验可证实
中两个
原子的化学环境不同,实验过程为
。过程ⅱ中,
断裂的只有硫硫键,若过程ⅰ所用试剂是
和
,过程ⅱ含硫产物是__________。
(5)
的晶胞形状为长方体,边长分别为
、
,结构如图所示。

晶胞中的
个数为__________。已知
的摩尔质量是
,阿伏加德罗常数为
,该晶体的密度为__________
。![]()
(6)浸金时,
作为配体可提供孤电子对与
形成
。分别判断
中的中心
原子和端基
原子能否做配位原子并说明理由:____________________。
16. 尿素
合成的发展体现了化学科学与技术的不断进步。
(1)十九世纪初,用氰酸银
与
在一定条件下反应制得
,实现了由无机物到
有机物的合成。该反应的化学方程式是____________________。
(2)二十世纪初,工业上以
和
为原料在一定温度和压强下合成尿素。反应分两步:
ⅰ.
和
生成
;
ⅱ.
分解生成尿素。

结合反应过程中能量变化示意图,下列说法正确的是__________(填序号)。
a.活化能:反应ⅰ<反应ⅱ
b.ⅰ放热反应,ⅱ为吸热反应
c.![]()
(3)近年研究发现,电催化
和含氮物质(
等)在常温常压下合成尿素,有助于实现碳中和及解决含氮废水污染问题。向一定浓度的
溶液通
至饱和,在电极上反应生成
,电解原理如图所示。

①电极
是电解池的__________极。
②电解过程中生成尿素的电极反应式是_____________。
(4)尿素样品含氮量的测定方法如下。
已知:溶液中
不能直接用
溶液准确滴定。

①消化液中的含氮粒子是__________。
②步骤ⅳ中标准
溶液的浓度和消耗的体积分别为
和
,计算样品含氮量还需要的实验数据有__________。
17. 化合物
是合成抗病毒药物普拉那韦的原料,其合成路线如下。

已知:
(1)A中含有羧基,A→B的化学方程式是____________________。
(2)D中含有的官能团是__________。
(3)关于D→E的反应:
①
的羰基相邻碳原子上的C→H键极性强,易断裂,原因是____________________。
②该条件下还可能生成一种副产物,与E互为同分异构体。该副产物的结构简式是__________。
(4)下列说法正确的是__________(填序号)。
a.F存在顺反异构体
b.J和K互为同系物
c.在加热和
催化条件下,
不能被
氧化
(5)L分子中含有两个六元环。
的结构简式是__________。
(6)已知:
,依据
的原理,
和
反应得到了
。
的结构简式是__________。
18. 以银锰精矿(主要含
、
、
)和氧化锰矿(主要含
)为原料联合提取银和锰的一种流程示意图如下。

已知:酸性条件下,
的氧化性强于
。
(1) “浸锰”过程是在
溶液中使矿石中的锰元素浸出,同时去除
,有利于后续银的浸出:矿石中的银以
的形式残留于浸锰渣中。
①“浸锰”过程中,发生反应
,则可推断:
__________(填“>”或“<”)
。
②在
溶液中,银锰精矿中的
和氧化锰矿中的
发生反应,则浸锰液中主要的金属阳离子有__________。
(2) “浸银”时,使用过量
和
的混合液作为浸出剂,将
中的银以
形式浸出。
①将“浸银”反应的离子方程式补充完整:__________。
![]()
②结合平衡移动原理,解释浸出剂中
的作用:____________________。
(3) “沉银”过程中需要过量的铁粉作为还原剂。
①该步反应的离子方程式有______________________________。
②一定温度下,
的沉淀率随反应时间的变化如图所示。解释
分钟后
的沉淀率逐渐减小的原因:______________。

(4)结合“浸锰”过程,从两种矿石中各物质利用的角度,分析联合提取银和锰的优势:________。
19. 资料显示,
可以将
氧化为
。某小组同学设计实验探究
被
氧化的产物及铜元素的价态。
已知:
易溶于
溶液,发生反应
(红棕色);
和
氧化性几乎相同。
I.将等体积的
溶液加入到
铜粉和
的固体混合物中,振荡。
实验记录如下:
|
| 实验现象 |
实验Ⅰ |
| 极少量 |
实验Ⅱ |
| 部分 |
实验Ⅲ |
|
|
(1)初始阶段,
被氧化的反应速率:实验Ⅰ__________(填“>”“<”或“=”)实验Ⅱ。
(2)实验Ⅲ所得溶液中,被氧化的铜元素的可能存在形式有
(蓝色)或
(无色),进行以下实验探究:
步骤a.取实验Ⅲ的深红棕色溶液,加入
,多次萃取、分液。
步骤b.取分液后的无色水溶液,滴入浓氨水。溶液颜色变浅蓝色,并逐渐变深。
ⅰ.步骤a的目的是_____________________。
ⅱ.查阅资料,
,
(无色)容易被空气氧化。用离子方程式解释步骤
的溶液中发生的变化:______________。
(3)结合实验Ⅲ,推测实验Ⅰ和Ⅱ中的白色沉淀可能是
,实验Ⅰ中铜被氧化的化学方程式是____________________。分别取实验Ⅰ和Ⅱ充分反应后的固体,洗涤后得到白色沉淀,加入浓
溶液,__________(填实验现象),观察到少量红色的铜。分析铜未完全反应的原因是____________________。
(4)上述实验结果,
仅将
氧化为
价。在隔绝空气的条件下进行电化学实验,证实了
能将
氧化为
。装置如图所示,
分别是_____________。

(5)运用氧化还原反应规律,分析在上述实验中
被
氧化的产物中价态不同的原因:_________。
参考答案
可能用到的相对原子质量:H-1 C-12 N-14 O-16 Mg-24 S-32
第一部分
本部分共14小题,每题3分,共42分。在每题列出的四个选项中,选出最符合题目要求的一项。
1.A | 2.C | 3.B | 4.B | 5.C | 6.B | 7.C | 8.D | 9.A | 10.A |
11.D | 12.C | 13.C | 14.C |
|
|
|
|
|
|
第二部分
本部分共5小题,共58分。
15.(1)
(2)
,氧原子半径小,原子核对最外层电子的吸引力大,不易失去一个电子
(3)四面体形 (4)
和
(5) ①. 4 ②.
(6)
中的中心原子S的价层电子对数为4,无孤电子对,不能做配位原子;端基S原子含有孤电子对,能做配位原子
16.(1)
(2)ab (3) ①. 阳 ②.
(4) ①.
②. 样品的质量、步骤Ⅲ所加入
溶液的体积和浓度
17.(1)
(2)醛基 (3) ①. 羰基为强吸电子基团,使得相邻碳原子上的电子偏向羰基上的碳原子,使得相邻碳原子上的
键极性增强 ②.
(4)ac (5)
(6)
18.(1) ①. > ②.
、
(2) ①.
②.
是为了与
电离出的
结合生成
,使平衡正向移动,提高
的浸出率;
是为了抑制
水解,防止生成
沉淀
(3) ①.
、
②.
被氧气氧化为
,
把
氧化为
(4)可将两种矿石中的锰元素同时提取到浸锰液中,得到
,同时将银元素和锰元素分离开;生成的
还可以用于浸银,节约氧化剂
19.(1)< (2) ①. 除去
,防止干扰后续实验 ②.
、
(3) ①.
或
②. 白色沉淀逐渐溶解 ③. 溶液变为无色铜与碘的反应为可逆反应(或
浓度小未能氧化全部的
)
(4)铜、含
的
的
溶液
(5)在实验Ⅰ、实验Ⅱ、实验Ⅲ中
可以进一步与
结合生成
沉淀或
,
浓度减小使得
氧化性增强,发生反应
和
。
