2023年陕西中考化学试题及答案(A卷)
可能用到的相对原子质量:H—1 O—16 S—32 Fe—35.5 Ba—137
第一部分(选择题 共18分)
一、选择题(共20小题,每小题2分,计18分。每小题只有一个选项是符合题意的)
1.碳元素是组成物质种类最多的元素。下列物质只含碳元素的是( )
A.石灰石 B.金刚石 C.碳酸 D.石蜡
2.下列生活中常见物质的化学式书写正确的是( )
A.冰:
B.铁锈:
C.黄铜:Cu D.食盐:![]()
3.诗词凝聚中华传统文化的精髓。下列诗句描写的变化体现了物质的化学性质的是( )
A.千里冰封,万里雪飘 B.蒹葭苍苍,白露为霜
C.野火烧不尽,春风吹又生 D.明月松同照,清泉石上流
4.下列实验基本操作正确的是( )
|
|
|
|
A.收集 | B.加大理石 | C.溶解粗盐 | D.熄灭酒精灯 |
5.氧气是维持生命的重要物质。下列说法不正确的是( )
A.自然界绿色植物的光合作用产生氧气,同时消耗大气中的二氧化碳
B.工业上分离液态空气制氧,利用的是液氧、液氮的沸点不同
C.家用制氧机有的是通过吸附空气中的氮气得到较纯的氧气,该过程氧分子未发生变化
D.实验室电解水制氧气,生成氢气和氧气的质量比为2∶1
6.我国科学家首次突破以二氧化碳为原料获得淀粉的人工合成工艺技术。其中关键一步反应的微观示意图如下:

下列有关上述反应的说法不正确的是( )
A.反应涉及6种物质 B.反应前后各类原子的数目不变
C.反应有利于“低碳”目标的落实 D.参加反应的反应物的分子数目比为1∶3
7.用下列各组物质进行实验.能验证Mg、Ag、Cu三种金属活动性强弱的是( )
A.Mg、Ag、Cu、稀硫酸 B.Mg、Ag、
溶液
C.Ag、Cu、
溶液 D.Ag、
溶液、
溶液
8.试管内盛有20℃的饱和硝酸钾溶液,其上漂浮一小木块。如下图所承,将试管插入烧杯内的冰水混合物中,一段时间后,下列有关说法不正确是( )

A.试管内溶液的质量变小 B.试管内有固体析出
C.试管内溶液的溶质质量分数变大 D.小木块浸入溶液内的体积变大
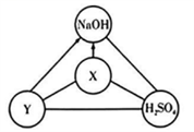
9.下图是初中四种常见物质之间的常见反应关系图,图中“——”表示相连的两种物质能反应,“→”表示两端的物质通过一步反应能转化。下列说法不正确的是( )

A.X一定是
B.Y可能是钠盐
C.X与Y不可能都是盐 D.X与Y反应能生成NaOH
第二部分(非选择题 共42分)
二、填空及简答题(共6小题,计24分)
10.(3分)陕西西安是丝绸之路的起点。2023年5月18日19日,中国—中亚峰会在西安成功举办。这是我国今年迎来的一场外交盛会,对推动“一带一路”高质量建设具有里程碑意义。
(1)中国丝绸蜚声海外,是丝绸之路的代表性商品。丝绸的主要成分属于______(填“天然”或“合成”)纤维。
(2)中国—中亚天然气管道为中国输送的天然气,在我国天然气进口量中占据重要地位。天然气是一种______(填“可再生”或“不可再生”)能源,其主要成分是______。
11.(4分)近年来,从“嫦娥”奔月到“天问”探火,中国航天技术在人类探索浩渺宇宙的前沿不断创新、突破。
(1)“嫦娥五号”取回的月岩主要成分是钛酸亚铁,其化学式为
。下列说法正确的是______(填字母)。
A.月岩是一种氧化物 B.
中钛元素的化合价为+4 C.
中存在![]()
(2)“天问一号”探测器的太用能电池板使用的材料是硅。工业上利用石英砂(主要成分为
)制取粗硅的反应原理是
,则X为______,该反应属于基本反应类型中的______反应。
(3)航天科技也改变着我们的生活。在太空经过基因改良培育的“航西瓜”“航甜瓜”,因其所含糖分、水分高而更加香甜可口,其中糖类属于______(填“有机”或“无机”)营养素。
12.(3分)曾在央视新闻联播亮相的非物质文化遗产—打铁花,是一种传统的民间焰火表演艺术。其原理是将生铁烧至熔化成为铁水,再将铁水在空中用力击打而形成四处飞溅的耀眼“铁花”。
(1)生铁属于______(填“单质”或“合金”)。
(2)烧铁水时,用鼓风机不断向燃着的焦炭中鼓入空气,其目的是______________________________。
(3)打铁花在冬季表演更安全,因打开的铁花会迅速降温。这说明金属材料传导热的性能______(填“良好”或“不好”)。
13.(5分)小明参加学校组织的劳动实践活动。
(1)小明在麦田劳动时看到麦子叶色浓绿,长势喜人,农场工人告诉他是及时施用了一种复合肥。农场仓库存放的化肥有
、
、
,其中属于复合肥的是______,三种化肥包装袋上均写着防雨防潮。其原因是______________________________。
(2)小明想在家里尝试无土栽培,便从农场带回了三种化肥,使用时却因标记不清而无法区分
和
,于是到化学实验室进行鉴别。他取少量其中一种化肥于试管中,加水溶解后,向其中滴加2~3滴某溶液,立即出现了白色沉淀,可确定所取的化肥是
。请写出发生反应的化学方程式:______________________________(只写一个)。
配制无土栽培营养液时,小明依据右图想先配制两种化肥的饱和溶液以备后用。配制时,假设室温为20℃,若小明用等体积的水配制成恰好饱和的两种化肥溶液,则两种溶液中
与
的质量比为______。

14.(4分)如下图,将金属X插入烧杯内的
溶液中,观察到溶液颜色变蓝后取出X,向烧杯内再加入一定量锌粉,振荡后,溶液蓝色逐渐消失。

(1)金属X是______。
(2)加入锌粉,溶液蓝色消失的原因是__________________(用化学方程式表示)。
(3)实验结束后,烧杯内的溶液中一定______(填“存在”或“不存在”)
。
15.(5分)化学学习小组同学在探究盐酸的化学性质时,进行了如下图所示的实验。

(1)A中看到的现象是________________________。
(2)反应后溶液颜色为黄色的是______(填字母)。
(3)D中发生反应的化学方程式是______________________________。
(4)探究实验结束后,用长滴管吸取C中的溶液逐滴加入B中,开始无沉淀生成,后生成红褐色沉淀。则下列分析推理合理的是______(填序号)。
①长滴管中吸取的C中溶液为红色
②滴加前,B中有固体剩余
③滴加后,B中溶液pH变大
三、实验及探究题(共2小题,计13分)
16.(6分)下图是实验室常见的气体制备装置。

(1)写出标有字母a的仪器名称:______。
(2)用过氧化氢溶液和二氧化锰制氧气时,应选择的气体发生装置是______(填字母),发生反应的化学方程式为__________________。
(3)用右图装置检验
,装置中的无色溶液应是______,检验时,气体应从______(填“b”或“c”)端通入。

17.(7分)学习小组同学进行了如下图所示的实验,并展开了拓展学习与探究。

【学习交流】
(1)上述实验A中无明显现象.B中溶液颜色呈______色。
(2)写出A中发生反应的化学方程式:__________________。
【提出问题】
反应后A中溶液的溶质成分是什么?
【做出猜想】
猜想一:![]()
猜想二:
、HCl
猜想三:
、![]()
【查阅资料】
溶液呈中性。
【讨论交流】在讨论方案时,某些同学认为可以直接将B中滴了无色酚酞的碳酸钠溶液倒入A中,根据实验现象来验证猜想,其中甲、乙、丙三位同学的观点如下表。
同学 | 预测实验现象 | 结论 |
甲 | 产生白色沉淀,溶液为无色 | 猜想一成立 |
乙 | 产生无色气泡,溶液为无色 | 猜想二成立 |
丙 | 产生白色沉淀,溶液为红色 | 猜想三成立 |
你认为上述______同学依据预测实验现象得出的结论是不合理的。
【实验验证】丁同学将B中溶液倒入A中进行实验,观察到有无色气泡和白色沉淀生成,溶液为红色,与甲、乙、丙三位同学预测的实验现象有所不同。实验中产生的白色沉淀是______(填化学式),丁同学的实验现象能证明猜想______成立。
【反思拓展】大家认为还可以选择其他方案来验证猜想。你认为下列方案可行的是(填序号)。
①测A中溶液的pH
②向A中溶液中通入
气体
③向A中溶液中滴加
溶液
四、计算与分析题(5分)
18.(5分)学习小组同学利用下图实验,回收实验室废弃的铜粉与铁粉混合物中的铜粉。

(1)反应生成氢气的质量是______g。
(2)计算上述实验回收铜粉的质量。(忽略回收过程中铜粉的损失)
(3)上述实验所用稀硫酸的溶质质量分数______(填“可能”或“不可能”)是15%。
参考答案
第一部分(选择题 共18分)
一、选择题(共9小题,每小题2分,计18分。每小题只有一个选项是符合题意的)
A卷
题号 | 1 | 2 | 3 | 4 | 5 | 6 | 7 | 8 | 9 |
答案 | B | A | C | D | D | A | B | C | A |
B卷
题号 | 1 | 2 | 3 | 4 | 5 | 6 | 7 | 8 | 9 |
答案 | C | B | A | C | D | B | D | B | A |
第二部分(非选择题 共42分)
二、填空及简答题(共6小题,计24分)
10.(每空1分,共3分)
(1)天然 (2)不可再生
或甲烷
11.(每空1分,共4分)
(1)B (2)CO 置换 (3)有机
15.(每空1分,共3分)
(1)合金
(2)使焦炭燃烧更充分或使焦炭燃烧放出热量更多或使燃烧的温度更高,加快生铁的熔化或增大氧气含量等(其他合理答案均可)
(3)良好
13.(化学方程式2分,其余每空1分,共5分)
(1)
或硝酸钾 三种化肥均易溶于水
(2)
或
或
(来配平、无“↓”扣1分,化学式错误扣2分)
93∶79或372∶316或37.2∶31.6(其他合理答案均可)
14.(化学方程式2分,其余每空1分,共4分)
(1)Cu或铜
(2)
(化学式错误扣2分)
(3)不存在
15.(化学方程式2分,其余每空1分,共5分)
(1)锌片表面产生无色气泡或产生无色气泡或产生气泡或生成无色气体或有气体生成
(气泡、气体现象描述正确即可得分,若对锌片变化描述合理但无气泡、气体描述或描述错误不能得分)
(2)B
(3)
(未配平、无“↑”扣1分,化学式错误扣2分)
(4)①③(漏选、错选不得分)
三、实验及探究题(共2小题,计13分)
16.(化学方程式2分,其余每空1分,共6分)
(1)集气瓶
(2)B
(无条件、条件错误、未配平、无“↑”扣1分。化学式错误扣2分)
(3)澄清石灰水或氢氧化钙溶液或
溶液或石灰水 b
17.(化学方程式2分,其余每空1分,共7分)
【学习交流】
(1)红
(2)
(未配平扣1分,化学式错误扣2分)
【讨论交流】丙
【实验验证】
二
【反思拓展】①
四、计算与分析题(5分)
18.(1)0.4
(2)解:设混合物中铁粉的质量为x。

56 2
x 0.4g
或![]()
解得:![]()
该混合物中铜粉的质量为30g-11.2g=18.8g
答:上述实验回收铜粉的质量为18.8g。
(其他合理解法均可参照上述标准给分)
(3)不可能




