2023年山东枣庄中考物理试卷及答案
一、选择题
1. “朝辞白帝彩云间,千里江陵一日还。两岸猿声啼不住,轻舟已过万重山。”李白这首脍炙人口的七言绝句,描绘了一幅阐述运动相对性的完美画卷,诗中的意境如图所示。从物理学的角度看,我们说舟中人是静止的,所选的参照物是( )

A. 白帝 B. 江陵 C. 两岸 D. 轻舟
【答案】D
【解析】
【详解】从物理学的角度看,我们说舟中人是静止的,即人与舟的相对位置没有改变,则是选择轻舟为参照物的,故ABC不符合题意;D符合题意。
故选D。
2. 如图所示,将一把钢尺紧按在桌面边缘。先将尺的一半伸出桌面,用力拨动钢尺,听它振动发出的声音;再增加尺伸出桌边的长度,用相同的力拨动钢尺,听到的声音( )

A. 响度变大
B. 响度变小
C. 音调变高
D. 音调变低
【答案】D
【解析】
【详解】将一把钢尺紧按在桌面边缘,先将尺的一半伸出桌面,用力拨动钢尺,听它振动发出的声音,再增加尺伸出桌边的长度,用相同的力拨动钢尺,钢尺振动的频率会变慢,钢尺振动发出声音的频率变慢,音调会变低。
故选D。
3. 夏天,刚从冰箱中取出的雪糕周围会出现“白气”,“白气”形成对应的物态变化是
A. 汽化 B. 升华 C. 凝华 D. 液化
【答案】D
【解析】
【详解】“白气”是空中的水蒸气遇到冷的雪糕形成的小水滴,属于液化现象.
4. 在2022年北京冬奥会短道速滑男子1000米比赛中,中国选手任子威荣获金牌。图甲是他正全力通过弯道、图乙是他获胜后站立在水平赛场中央大声欢呼的情形,下列说法正确的是( )
A. 运动员通过弯道的过程处于平衡状态
B. 运动员通过弯道时有惯性,站立时没有惯性
C. 站立时他受到的重力和冰面对他的支持力是一对平衡力
D. 站立时他对冰面的压力和冰面对他的支持力是一对平衡力
【答案】C
【解析】
【详解】A.运动员过弯道时,其运动状态在发生变化,处于非平衡状态,故A错误;
B.惯性是物体本身具有的性质,物体的惯性一直存在,与物体的运动状态无关,故B错误;
C.运动员站立时,处于平衡状态,受到的重力和冰面对他的支持力大小相等、方向相反,且作用在运动员上,两个力是一对平衡力,故C正确;
D.站立时他对冰面的压力作用在冰面上,冰面对运动员的支持力作用在运动员上,两个力作用在不同的物体上,两个力不是一对平衡力,故D错误。
故选C。
5. 如图所示的光现象中,与小孔成像原理相同的是( )
A.
树荫下的圆形光斑 B.
水中桥的倒影
C.
水中“弯折”的筷子 D.
雨后的彩虹
【答案】A
【解析】
【详解】小孔成像原理是光沿直线传播。
A.树荫下的圆形光斑是光沿直线传播形成的,与小孔成像的原理相同,故A符合题意;
B.水中桥的倒影是光的反射,与小孔成像的原理不相同,故B不符合题意;
C.水中“弯折”的筷子是光的折射形成的,与小孔成像的原理不相同,故C不符合题意;
D.雨后的彩虹是光的散射形成的,与小孔成像的原理不相同,故D不符合题意。
故选A。
6. 掉在地上的弹性小球会跳起,但是越跳越低。如图所示为小球在地面弹跳的频闪照片,下列说法不正确的是( )
A. 小球越跳越低,说明小球的机械能逐渐减少
B. 从A点运动到B点,小球的重力势能转化为动能
C. 经过相同高度的B、C两点时,小球的重力势能相同
D. 经过相同高度的B、C两点时,小球的动能相同
【答案】D
【解析】
【详解】A.小球起跳时,由于与空气的摩擦,在弹跳的过程中部分机械能转化为内能,所以机械能逐渐减少,故A正确,不符合题意;
B.从A点运动到B点,小球做加速运动,速度变大,动能增加,高度减小,重力势能减小,即小球的重力势能转化为动能,故B正确,不符合题意;
C.B、C两点高度相同,小球的质量不变,所以B、C两点小球的重力势能相同,故C正确,不符合题意;
D.小球从B点运动到C点时,由于与空气的摩擦,机械能逐渐减少,由于B、C两点高度相同,所以B、C两点小球的重力势能相同,而C点的机械能小于B点,所以C点的动能小于B点的动能,故D错误,符合题意。
故选D。
7. 喜爱物理的小明想设计一个双钥匙电动安全锁,这里钥匙相当于“开关”,要求是两把钥匙同时使用(开关闭合)才能开锁,以下符合设计要求的电路图是( )
A.
B.
C.
D. 
【答案】C
【解析】
【详解】A.只使用钥匙1,电动机与电源连通,电动机就工作了;再用钥匙2时,电动机和电源发生短路,故A不符合题意;
B.只用钥匙2,电动机连入电路,电动机可工作,再用钥匙1时,电动机和电源发生短路,故B不符合题意;
C.两钥匙是串联
,只有两个开关都使用(都闭合)时,电路才接通,电动机才能工作,单独只闭合其中一个开关,电路是断路,电动机不工作,故C符合题意;
D.两个开关是并联的,只闭合其中任一个开关,电路就接通,电动机就工作了,故D不符合题意。
故选C。
8. 如图所示,R1是定值电阻,R2是滑动变阻器,电源电压保持不变,当滑动变阻器R2的滑片P向b端滑动时,下列说法正确的是( )

A. 电压表V的示数变小,电流表A1的示数变小
B. 电压表V的示数变大,电流表A2的示数不变
C. 电压表V的示数不变,电流表A1的示数变大
D. 电压表V的示数与电流表A2的示数之比不变
【答案】D
【解析】
【详解】AB.由电路图可知,R1与R2并联,电压表测电源的电压,电流表A1测干路电流,电流表A2测R1支路的电流。因电源电压保持不变,所以,滑片移动时,电压表V的示数不变,故AB错误;
C.当滑动变阻器R2的滑片P向b滑动时,变阻器接入电路中的电阻变大,由
可知,通过R2的电流变小,因并联电路中干路电流等于各支路电流之和,所以,干路电流变小,即电流表A1的示数变小,故C错误;
D.因并联电路中各支路独立工作、互不影响,由
可知,电压表V的示数与电流表A2的示数之比,即R1的阻值不变,故D正确。
故选D。
9. 我国自行研制的第三艘航空母舰福建号采用了最先进的电磁弹射器。电磁弹射器的弹射车处于强磁场中,当弹射车内的导体有强电流通过时,弹射车就给舰载机提供强大的推力而快速起飞。下列各图能正确反映电磁弹射器工作原理的是( )
A.
B.
C.
D.
【答案】C
【解析】
【详解】依题意电磁弹射器的弹射车处于强磁场中,当弹射车内的导体有强电流通过时,弹射车就给舰载机提供强大的推力,由此可知其原理是通电导体在磁场中受力运动,与电动机原理相同。
A.图A是奥斯特实验,说明电流周围存在磁场,故A不符合题意;
B.图B是探究电磁铁磁性强弱与线圈匝数的关系,故B不符合题意;
C.图C有电源,通电导体在磁场中受力运动,是电动机原理,故C符合题意;
D.图D没有电源,是探究电磁感应现象的实验,故D不符合题意。
故选C。
10. 关于能源、信息、新材料和航天,下列说法正确的是( )
A. 核能和地热能都是可再生能源
B. 核潜艇是利用原子核发生聚变来获取动力的
C. 弯曲的光导纤维也能传输信息,说明光可以沿曲线传播
D. 中国航天员王亚平进行“天宫课堂”授课时,依靠电磁波与地面之间进行信息传递
【答案】D
【解析】
【详解】A.核能的核燃料是不可再生能源,故A错误;
B.核潜艇是利用原子核发生裂变来获取动力的,故B错误;
C.弯曲的光导纤维也能传输信息,是因为光发生了反射,故C错误;
D.电磁波可以在真空中传播,所以天空站和地面之间的信息传递是通过电磁波完成的,故D正确。
故选D。
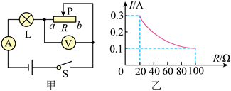
11. 如图甲所示的电路中,电源电压不变,小灯泡L的阻值不变,滑动变阻器R的规格是“100
;1A”。闭合开关,在保证电路元件安全且能使小灯泡正常发光的前提下,最大范围内移动滑片,绘制了通过变阻器的电流与变阻器阻值关系的图象,如图乙所示。下列说法正确的是( )
A. 电源电压为6V
B. 小灯泡的电阻为10![]()
C. 小灯泡的额定功率为1.8W
D. 整个电路电功率最小时,20s内滑动变阻器消耗的电能为12J
【答案】C
【解析】
【详解】A.由题意及图中数据可得,当滑动变阻器接入电路的电阻为20Ω时,通过电阻的电流为0.3A,则滑动变阻器两端的电压为
U=IR=0.3A×20Ω=6V
而电源电压应该大于6V,故A错误;
B.由题意及欧姆定律可得
![]()
有
![]()
![]()
解得
RL=20Ω
U电=12V
故B错误;
C.由题意可得,要保证电路安全且灯泡正常发光,则通过灯泡的电流最大为其额定电流,结合上述分析可得,小灯泡的额定电流为0.3A,额定电压为
U额=U电-U=12V-6V=6V
则小灯泡的额定功率为
P额=U额I额=6V×0.3A=1.8W
故C正确;
D.整个电路中电源电压不变,当电流最小时,功率最小,由题意可得,电功率最小时,20s内滑动变阻器消耗的电能为
W=Pt=U电I小t=12V×0.1A×20s=24J
故D错误。
故选C。
12. 安全教育已越来越引起学校和社会各界的高度重视,并开展了一系列丰富多彩的教育活动。在某校一次安全用电知识的“对”、“错”抢答比赛中,下列选项应答“对”的是( )
A. 若空气开关“跳闸”,一定是使用了大功率用电器
B. 使用三线插头和三孔插座的目的,是将用电器的金属外壳与大地相连
C. 家庭电路的开关,接在零线或火线上都可以
D. 雷雨天气可以打着雨伞在开阔地上行走
【答案】B
【解析】
【详解】A.家庭电路中空气开关跳闸,可能是用电器的总功率过大,也可能是电路中发生了短路,故A不符合题意;
B.三孔插痤中有一个孔是用来连接地线的,让有金属外壳的用电器的外壳接地,可以防止因漏电导致金属外壳带电而发生触电事故,故B符合题意;
C.家庭电路的开关,一定要接在火线上,故C不符合题意;
D.打雷时,一定要第一时间远离空旷的地方,尽快走进室内躲避,同时举起雨伞等于增加了身体的高度,也会使人增加被雷直接击中的可能,故D不符合题意。
故选B。
二、填空题
13. 小明用如图甲所示的实验装置探究水沸腾的特点,当水沸腾时,温度计的示数如图乙所示,由此可知水的沸点是__________℃,用酒精灯持续加热,水的温度__________。

【答案】 ①. 98 ②. 不变
【解析】
【详解】[1]由图可得,温度计的分度值为1℃,示数为98℃。
[2]此时水已经沸腾了,水沸腾时,虽然继续吸收热量,但温度不变。
14. 为全面推进“乡村振兴”工程,加快农业农村绿色发展,我市部分农村地区已经使用上了天然气烧水煮饭。小明同学用他家的天然气灶将质量为2kg,初温为20℃的水加热到100℃,水吸收的热量是__________J;消耗了0.03m3的天然气,则此天然气灶的热效率为__________。【水的比热容c=4.2×103J/(kg·℃),天然气的热值q=7.0×107J/m3】
【答案】 ①. 6.72×105 ②. 32%
【解析】
【详解】[1]由题意及比热容公式可得,水吸收的热量为
![]()
[2]由题意可得,0.03m3的天然气完全燃烧所产生的热量为
Q总=qV=7×107J/m3×0.03m3=2.1×106J
则热效率为
![]()
15. 用冰取火,似乎不可思议,但这绝非传。据晋代张华的《博物志》记载,我国古代就把冰块制成透镜,利用透镜对光的__________作用将物体点燃,如图所示。此类透镜应用非常广泛,用它制作的眼镜片可以用来矫正__________眼;照相机的镜头也相当于这类透镜,用照相机拍照时,胶片上形成__________(填像的性质)。
【答案】 ①. 会聚 ②. 远视 ③. 倒立缩小的实像
【解析】
【详解】[1]由于凸透镜对光有会聚作用,可以把冰块削成凸透镜形状,把太阳光会聚在焦点上,就可以点燃物体。
[2]远处物体通过人眼所成的像成在视网膜的后方,为远视眼。为了使像成在视网膜上,需要佩戴对光线具有会聚作用的凸透镜。
[3]照相机的镜头相当于一个凸透镜,其原理是物体在凸透镜的2倍焦距以外,像成在另一侧的1倍焦距和2倍焦距之间,成一个倒立、缩小的实像。
16. 壮丽辉煌的咸阳宫曾巍然矗立于八百里秦川,司马迁在《史记》中有关于这座宫殿的描述。右图是我们的祖先在建造宫殿时搬动巨大木料的劳动情境示意图,他们通过横杆、支架、石块等,将巨木的一端抬起,垫上圆木,以便将其移到其他地方,请分析:
(1)支架下端垫有底面积较大的石块,其目的是为了______压强;
(2)支架上的横杆其实是______杠杆(选填“省力”、“费力”或“等臂”);
(3)如果他们无法将巨木抬起,请你提出一个抬起巨木的改进方案:______。
【答案】 ①. 减小 ②. 省力 ③. 将支架支点左移
【解析】
【详解】(1)[1]支架下端垫有底面积较大的石块,是为了在压力相同的情况下,通过增大受力面积来减小压强。
(2)[2]支架上横杆的动力臂大于阻力臂,所以支架上的横杆相当于省力杠杠。
(3)[3]如果他们无法将巨木抬起,可以将支点向左移动,增长动力臂,从而更加省力。
17. 如图所示,给试管内水加热至一定程度,发现试管口木塞会被推出。给水加热是通过__________的方式使水的内能增加;四冲程内燃机的__________冲程与上述实验木塞被推出过程的能量转化相同。
【答案】 ①. 热传递 ②. 做功
【解析】
【详解】[1]用酒精灯加热水的过程中,水从酒精灯火焰吸收热量,是通过热传递的方式使水的内能增加的。
[2]试管口木塞会被推出时,水蒸气对软木塞做功,水蒸气的内能转化为软木塞的机械能,则水蒸气内能变小;四冲程内燃机的做功冲程,高温高压的燃气推动活塞做功,将内能转化机械能,与这个原理相同。
18. 如图甲所示,电源电压保持不变,闭合开关S,滑动变阻器滑片P从b点滑向a点的过程中,两个电压表示数随电流表示数变化的图像如图乙所示。
(1)图乙中__________(选填“dc”或“ec”)表示电压表V1的示数随电流表示数变化的图像;
(2)该电路消耗的最大总功率与最小总功率之比为__________。
【答案】 ①. ec ②. 3∶1
【解析】
【详解】(1)[1]由甲图可知,R0与R串联,电压表V1测R0两端的电压,电压表V2测R两端的电压,电流表测电路中的电流,滑动变阻器滑片P从b点滑向a点的过程中,滑动变阻器R接入电路的阻值变小,电路中的电流变大,根据串联分压原理可知,滑动变阻器两端的电压变小,R0两端的电压变大,所以图乙dc表示电压表V2的示数随电流表示数变化的图像,ec表示电压表V1的示数随电流表示数变化的图像。
(2)[2]滑片P在a点时,电路中的电阻最小,电流最大,电流
,由
可知,电路总功率最大,滑片P在b点时,电路中的电阻最大,电流最小,电流
,由
可知,电路总功率最小,则该电路消耗的最大总功率与最小总功率之比为
![]()
二、作图与探究题:本题共4小题,共18分。
19. 自行车尾灯可有效避免夜间交通事故的发生,它由多组“直角反射器”组成,其中一组“直角反射器”如图所示,一束光射向平面镜S1,请在图中画出经过S1、S2两个平面镜反射后的光路图。
【答案】
【解析】
【详解】如图过入射点作镜面S1的垂线为法线,根据反射角等于入射角做出反射光线,反射光线与平面镜S2的交点作为入射点,再重复上述过程,做出反射光线,最后的反射光线与射向S1的入射光线平行,具体作图如图所示:
20. 我市山区在精准扶贫政策扶持下,种植的大樱桃喜获丰收,小明想知道大樱桃的密度,他用天平和量筒进行了如下实验。
(1)把天平放在水平桌面上,先把游码放到标尺左端的__________处,发现指针在分度盘的位置如图甲所示,应该向__________旋动平衡螺母,使横梁平衡;
(2)用调好的天平测大樱桃的质量,当右盘中所加砝码和游码的位置如图乙所示时,天平恢复平衡,则大樱桃的质量为__________g;
(3)将用细线拴好的大樱桃放人装有60mL水的量筒中,水面上升到如图丙所示位置。根据测量结果可知大樱桃的密度为__________g/cm3;
(4)小丽同学设计了另一种实验方案:她先用天平正确测出了大樱桃的质量m,再将用细线拴好的大樱桃放入空量筒中,然后向量筒内倒人适量的水,水面到达V1刻度线处,接着将大樱桃提出,水面下降到V2刻度线处,进而测出大樱桃的体积,并计算出大樱桃的密度,则小丽所测大樱桃的密度值与真实值相比__________(选填“偏大”或“偏小”);
(5)小明回家后,还想测出妈妈手镯的密度,他找到家里的电子秤,称出手镯的质量是48.0g,又借助细线、水、玻璃杯,进行了如图丁、戊所示的实验操作,测出了手镯的体积,则手镯的密度是__________g/cm3。
【答案】 ①. 零刻度线 ②. 左 ③. 10.6 ④. 1.06 ⑤. 偏小 ⑥. 19.2
【解析】
【详解】(1)[1]天平在使用之前,应将游码归零,故应先把游码放到标尺左端的零刻度线处。
[2]由图甲可知,此时指针指向分度盘的右侧,则此时天平左端轻,右端重,故此时应该向左旋动平衡螺母,使横梁平衡。
(2)[3]由图乙可知,游码的分度值为0.2g,故樱桃的质量为
m=10g+0.6g=10.6g
(3)[4]由图丙可知,樱桃的体积为
V=70mL-60mL=10mL=10cm3
故由
可得,樱桃的密度为
![]()
(4)[5]由测量过程可知,用细线将大樱桃从水中提出时,细线上会带出一部分水,使得量筒中剩余的水变少,从而使得樱桃的体积测量值偏大,故由
可得,会使得所测的樱桃密度值与真实值相比偏小。
(5)[6]由题意可知,手镯的质量为m0=48.0g,由图丁、戊可知,手镯浸入水中后,电子秤的示数变化量为
Δm=668.5g-666g=2.5g=0.0025kg
由受力分析可得,手镯所受浮力为
F浮=ρ水gV排=Δmg=0.0025kg×10N/kg=0.025N
故可得手镯的体积为
![]()
可得手镯
密度为
![]()
21. 在探究电流通过导体产生热量的多少与什么因素有关的实验中。某兴趣小组猜想:电流通过导体产生的热量可能与通过导体的电流、导体的电阻和通电时间有关,于是他们利用甲、乙、丙三个装置进行实验探究,如图所示,三个装置的透明容器中各有一段电阻丝,容器中密封着等量的空气,U形管中液面高度的变化反映密闭空气温度的变化。
(1)要探究电热与电阻的关系。应选用__________组合,并将它们__________接到电源两端进行实验。
(2)选用乙、丙组合,串联接到电源两端进行实验,在通电时间相同的情况下,发现乙装置U型管中液面高度变化大,由此可得到的结论是:在电阻相同、通电时间相同的情况下,__________。
(3)实验中通过观察U型管中液面高度的变化反映密闭空气温度的变化,在研究许多物理问题时都会用到这种方法,下列实例采用研究方法与此相同的是__________。
A.探究电流与电压、电阻的关系
B.用铁屑显示磁体周围磁场分布
C.研究光的传播时,引入“光线”
D.探究平面镜成像的特点
【答案】 ①. 甲、乙 ②. 串联 ③. 通过导体的电流越大,产生的热量越多 ④. B
【解析】
【详解】(1)[1][2]要研究电热与电阻的关系,需要控制通过电阻的电流与通电时间相同,而电阻的阻值不同,因此选用甲和乙组合,将它们串联接到电源两端进行实验。
(2)[3]乙和丙,由于串联在电路中,可知通过电路乙中5Ω电阻的电流大于通过丙中5Ω电阻的电流,当在通电时间相同的情况下,发现乙装置U型管中液面高度变化大,可知气压差越大,温度差越大,热量越多,可以得出的结论是:通过导体的电流越大,产生的热量越多。
(3)[4] A.实验中通过观察U型管中液面高度的变化反映密闭空气温度的变化,这用到了转化法,而探究电流与电压、电阻的关系时,用到的方法是控制变量法,故A不符合题意;
B.用铁屑显示磁体周围磁场分布时,磁体周围磁场的强弱转化为吸引铁屑的多少,故B符合题意;
C.研究光的传播时,引入“光线”,这是模型法,故C不符合题意;
D.探究平面镜成像的特点,用到的是替代法,故D不符合题意。
故选B。
22. 提高机械效率可以充分发挥机械设备的作用,对节能减排、提高经济效益有重要的意义。某科技创新小组根据生活经验和客观事实,对影响滑轮组机械效率的因素作出如下猜想:
猜想I:滑轮组的机械效率与物体被提升的高度有关
猜想Ⅱ:滑轮组的机械效率与动滑轮的重力有关
猜想Ⅲ:滑轮组的机械效率与所提物体的重力有关
根据猜想,运用如图甲、乙、丙所示的装置进行了实验探究,测得的实验数据如下表所示。
实验次数 | 钩码的重力G/N | 钩码上升高度h/m | 绳端拉力F/N | 绳端移动的距离S/m | 机械效率η |
1 | 2 | 0.1 | 0.90 | 0.3 | 74.1% |
2 | 4 | 0.1 | 1.50 | 0.3 | 88.9% |
3 | 4 | 0.1 | 1.25 | 0.4 |
|
4 | 4 | 0.2 | 1.50 | 0.5 | 88.9% |
(1)实验时应沿竖直方向__________缓慢向上拉动弹簧测力计;
(2)分析表中数据可知:第3次实验是利用了图__________的装置完成的,它的机械效率η=__________;
(3)比较2、4两次实验数据,可验证猜想I是__________(选填“正确”或“错误”)的;
(4)通过比较__________(填实验序号)两次实验数据得出结论:同一滑轮组提升重物时,物重越大,滑轮组的机械效率越高;
(5)通过比较2、3两次实验数据可得出结论:不同滑轮组提升相同重物时,动滑轮越重,滑轮组的机械效率__________。
【答案】 ①. 匀速 ②. 丙 ③. 80% ④. 错误 ⑤. 1、2 ⑥. 越低
【解析】
【详解】(1)[1]实验时,需要读出测力计的示数,所以需要匀速缓慢的拉动测力计,以方便读数。
(2)[2]由表中数据可得,钩码移动的距离为0.1m时,绳子端移动的距离为0.4m,则绳子的股数为
![]()
即动滑轮上有4股绳,所以丙图符合题意。
[3]由表中数据可得,有用功为
W有=G3h3=4N×0.1m=0.4J
总功为
W总=F3S3=1.25N×0.4m=0.5J
机械效率为
![]()
(3)[4]对比2、4的数据发现,其它条件不变,只改变物体提升的高度,机械效率是不变的,所以猜想一是错误的。
(4)[5]要想得到同一滑轮组提升重物时,物重越大,滑轮组的机械效率越高的结论,需要保证滑轮组不变,重物提升的高度也不变,只改变重物的重力,所以表中1、2号实验符合条件。
(5)[6]对比2、3次实验可以发现,重物的重力不变,提升的高度也不变,但滑轮组中动滑轮的个数增多了,且动滑轮个数越多,机械效率越低,所以可得结论:不同滑轮组提升相同重物时,动滑轮越重,滑轮组的机械效率越低。
23. 用弹簧测力计挂着一个长方体金属块,沿竖直方向缓慢浸入盛有适量水的圆柱形平底薄壁容器中,直至完全浸没(水未溢出),如图甲所示。通过实验得出金属块下表面浸入水中的深度h与其排开水的体积V排的关系,如图乙所示。已知金属块的质量为0.4kg,容器的底面积与金属块的底面积之比为5:1,
水=1.0×103kg/m3,g取10N/kg。求:
(1)金属块所受的重力;
(2)金属块的下表面浸入水中的深度为2cm时,弹簧测力计的示数;
(3)金属块刚浸没时,金属块底部受到水的压强;
(4)金属块浸没后与金属块浸入之前比较,水对容器底部的压强增加了多少。
【答案】(1)4N;(2)3.8N;(3)500Pa;(4)100Pa
【解析】
【详解】解:(1)由题意可得,金属块受到的重力为
G=mg=0.4kg×10N/kg=4N
(2)由题图乙可知,当h=2cm时,金属块排开水的体积V排=20×10-6m3,此时金属块受到的浮力为
F浮=ρ水gV排=1.0×103kg/m3×10N/kg×20×10-6m3=0.2N
弹簧测力计的示数为
F拉=G-F浮=4N-0.2N=3.8N
(3)由题图乙可知,当h=5cm时,金属块刚好浸没,即金属块的高度为5cm,此时金属块底部受到水的压强为
p=ρ水gh=1.0×103kg/m3×10N/kg×5×10-2m=500Pa
(4)金属块的底面积为
![]()
容器的底面积为
S=5S金=5×10cm2=50cm2
增加的压力等于水对金属块的浮力,则
△F=F浮′=ρ水gV排′=1.0×103kg/m3×10N/kg×50×10-6m3=0.5N
水对容器底部增加的压强为
![]()
答:(1)金属块的重力为4N;
(2)示数为3.8N;
(3)水的压强为500Pa;
(4)压强增加了100Pa。
24. 体重超标已影响了部分中学生
身心健康,为了动态监测学生的体重情况,班级科技创新小组设计了一台由电流表改装而成的简易体重计,其电路如图甲所示。已知电源电压恒定,定值电阻R0=5Ω,R为压敏电阻,其阻值与所受到的压力关系如图乙所示,电流表量程为0~0.6A,踏板重力不计,求:
(1)闭合开关S,当体重计空载时,电路中的电流为0.12A,电源电压为多少;
(2)当体重计示数为600N时,R0消耗的电功率为多少;
(3)此体重计所能测量的最大体重为多少。
【答案】(1)6V;(2)0.45W;(3)1200N
【解析】
【详解】解:(1)由图甲可知,闭合开关S,定值电阻R0与压敏电阻R串联,由图乙可知当体重计空载时,R=45
,I=0.12A,则电源电压为
![]()
(2)由题图乙可知,当体重计示数为600N时,压敏电阻的阻值R'=15Ω,此时电路中电流为
![]()
定值电阻R0消耗的功率为
![]()
(3)已知电流表量程为0~0.6A,当电路中的电流最大为Imax=0.6A时,体重计测量最大体重,此时压敏电阻的阻值为
![]()
由题图乙可知,所能测量的最大体重为1200N。
答:(1)闭合开关S,当体重计空载时,电路中的电流为0.12A,电源电压为6V;
(2)当体重计示数为600N时,R0消耗的电功率为0.45W;
(3)此体重计所能测量
最大体重为1200N。
