2023年上海高考数学试题及答案
考生注意:
1.本试卷共5页,21道试题,满分150分.考试时间120分钟.
2.本考试分设试卷和答题纸.试卷包括试题与答题要求.作答必须涂(选择题)或写(非选择题)在答题纸上,在试卷上作答一律不得分.
3.答卷前,务必用钢笔或圆珠笔在答题纸正面消楚地填写姓名、准考证号,并将核对后的条形码炶在指定位置上,在答题纸反面清超地填写姓名
一、填空题(本大题共有12题,满分54分,第
题每题4分,第
题每题5分)考生应在答题纸的相应位置填写结果
1.不等式
的解集为 ;
2. 已知
,求
;
3.已知
为等比数列,且
,求
;
4.已知
,求
;
5.已知
,则
的值域是 ;
6.已知当
,则
;
7.已知
的面积为
,求
;
8.在
中,
,求
;
9.国内生产总值(GDP)是衡量地区经济状况的最佳指标,根据统计数据显示,某市在2020年间经济高质量增长,GDP稳步增长,第一季度和第四季度的GDP分别为231和242,且四个季度GDP的中位数与平均数相等,则2020年GDP总額为 ;
10.已知
,其中
,若
且
,当
时,
的最大值是 ;
11.公园修建斜坡,假设斜坡起点在水平面上,斜坡与水平面的夹角为
,斜坡终点距离水平面的垂直高度为4米,游客每走一米消耗的体能为
,要使游客从斜坡底走到斜坡顶端所消耗的总体能最少,则
;
12.空间内存在三点
,满足
,在空间内取不同两点(不计顺序),使得这两点与
可以组成正四棱锥,求方案数为 ;
二、选择题(本题共有4题,满分18分,
每题4分,
题每题5分)每题有且只有一个正确选项,考生应在答题纸的相应位置,将代表正确选项的小方格涂黑.
13.已知
,若
且
,则
.
A.![]()
B.![]()
C.![]()
D.
14.根据身高和体重散点图,下列说法正确的是().
A.身高越高,体重越重
B.身高越高,体重越轻
C.身高与体重成正相关
D.身高与体重成负相关

15.设
,函数
在区间
上的最小值为
,在
上的最小值为
,当
变化时,以下不可能的情形是().
A.
且![]()
B.
且![]()
C.
且![]()
D.
且![]()
16.在平面上,若曲线
具有如下性质:存在点
,使得对于任意点
,都有
使得
.则称这条曲线为"自相关曲线".判断下列两个命题的真假().
(1)所有椭圆都是“自相关曲线".
(2)存在是“自相关曲线”的双曲线.
A.(1)假命题;(2)真命题
B.(1)真命题;(2)假命题
C.(1)真命题;(2)真命题
D.(1)假命题;(2)假命题
三、解答题(本大题共有5题,满分78分)解答下列各题必须在答题纸的相应位置写出必要的步骤.
17.(本题满分14分)本题共有2个小题,第1小邀满分6分,第2小题满分8分.
直四棱柱
.
(1)求证:
面![]()
(2)若四棱柱体积为36,求二面角
的大小
18.(本题满分14分)本题共有2个小题,第1小题满分6分,第2小题满分8分.
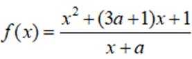
函数![]()
(1)当
是,是否存在实数
,使得
为奇函数
(2)函数
的图像过点
,且
的图像
轴负半轴有两个交点求实数
的取值范围
19. (本题满分14分)本题共有2个小题,第1小题满分2分,第2小題满分6分,第3小题满分8分.
21世纪汽车博览会在上海2023年6月7日在上海举行,下表为某汽车模型公司共有25个汽车模型,其外观和内饰的颜色分布如下表所示:
(1)若小明从这些模型中随机拿一个模型,记事件
为小明取到的模型为红色外观,事件B取到模型有棕色内饰
求
,并据此判断事件
和事件
是否独立
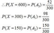
(2)该公司举行了一个抽奖活动,规定在一次抽奖中,每人可以一次性从这些模型中拿两个汽车模型,给出以下假设:1、拿到的两个模型会出现三种结果,即外观和内饰均为同色、外观内饰都异色、以及仅外观或仅内饰同色;2、按结果的可能性大小,概率越小奖项越高;(3)奖金额为一等奖600元,二等奖300元,三等奖150元,请你分析奖项对应的结果,设
为奖金额,写出
的分布列并求出
的数学期望
(本题满分16分)本题共有3个小题,第1小题满分4分,第2小题满分6分,第3小题满分6分.
曲线
,第一象限内点
在
上,
的纵坐标是
19. (1)若
到准线距离为3,求
;
(2)若
在
轴上,
中点在
上,求点
坐标和坐标原点
到
距离;
(3)直线
,令
是第一象限
上异于
的一点,直线
交
于
是
在
上的投影,若点
满足“对于任意
都有
"求
的取值范围.
(本题满分18分)本题共有3个小题,第1小题满分4分,第2小题满分6分,第3小题满分8分.
令
,取点
过其曲线
做切线交
轴于
,取点
过其做切线交
轴于
,若
则停止,以此类推,得到数列
.
(1)若正整数
,证明
;
(2)若正整数
,试比较
与
大小;
(3)若正整数
,是否存在
使得
依次成等差数列?若存在,求出
的所有取值,若不存在,试说明理由
参考答案
1、(1,3)
2、4
3、189
4、
5、
6、
7、-3
8、
9、946
10、49
11、
12、9
13、A
14、C
15、D
16、B
17、
(1)因为AB平行于CD,所以AB与平面
平行
又因为
平行
,所以AA1平行与平面
平行
因为
与AB相交于点A,所以平面
与平面
平行
因为
属于平面
,所以
平行于平面
(2)因为四棱柱体积为36,设AA1=h
所以
在底面内作AE垂直BD与E,连
因为BD垂直AE,BD垂直于
,所以BD垂直平面
,所以BD垂直
所以
即为所求二面角的平面角
在直角三角形
中,
=4,
所以
18、
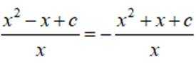
(1)当a=0时,
定义域为
,
假设
为奇函数,则
所以
,此方程无解,故
不可能为奇函数
所以不存在实数c,使得
为奇函数
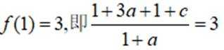
(2)因为
图像过(1,3),所以
所以c=1
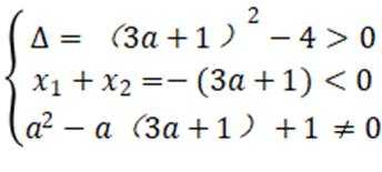
所以
令
=0,则
=0(x不等于-a)
因为
图像与x轴负半轴有2个交点
所以
所以
所以a的取值范围为
19、
(1)
(2)设三种结果:内外均同,内同或外同,内外均不同分别为事件
,则
概率越小奖金越高
