2022年广东普通高中学业水平选择性考试化学试题及答案
注意事项:
可能用到的相对原子质量:H 1 C 12 N 14 O 16 Na 23 Mg 24 S 32 Cl 35.5 Fe 56
一、选择题:本题共16小题,共44分。第1~10小题,每小题2分;第11~16小题,每小题4分。在每小题给出的四个选项中,只有一项是符合题目要求的。
1. 中华文明源远流长,在世界文明中独树一帜,汉字居功至伟。随着时代发展,汉字被不断赋予新的文化内涵,其载体也发生相应变化。下列汉字载体主要由合金材料制成的是
汉字载体 |
|
|
|
|
选项 | A.兽骨 | B.青铜器 | C.纸张 | D.液晶显示屏 |
A. A B. B C. C D. D
【参考答案】B
【详解】A.兽骨,甲骨文的契刻载体之一,主要是牛的肩胛骨,一小部分是羊、猪、鹿的肩胛骨,还有极少部分的牛肋骨,其主要成分是碳酸钙和其它钙盐,故A不符合题意;
B.青铜器是红铜与其他化学元素锡、铅等的合金,属于合金材料,故B项符合题意;
C.纸张的主要成分是纤维素,故C不符合题意;
D.液晶显示器是一种采用液晶为材料的显示器,液晶是一类介于固态和液态间的有机化合物,故D不符合题意;
综上所述,答案为B项。
2. 北京冬奥会成功举办、神舟十三号顺利往返、“天宫课堂”如期开讲及“华龙一号”核电海外投产等,均展示了我国科技发展的巨大成就。下列相关叙述正确的是
A. 冬奥会“飞扬”火炬所用的燃料
为氧化性气体
B. 飞船返回舱表层材料中的玻璃纤维属于天然有机高分子
C. 乙酸钠过饱和溶液析出晶体并放热的过程仅涉及化学变化
D. 核电站反应堆所用轴棒中含有的
与
互为同位素
【参考答案】D
【详解】A.H2作为燃料在反应中被氧化,体现出还原性,故A项说法错误;
B.玻璃纤维是一种性能优异的无机非金属材料,故B项说法错误;
C.乙酸钠饱和溶液中析出晶体的过程中无新物质生成,因此属于物理变化,故C项说法错误;
D.
与
是质子数均为92,中子数不同的核素,因此二者互为同位素,故D项说法正确;
综上所述,叙述正确的是D项。
3. 广东一直是我国对外交流的重要窗口,馆藏文物是其历史见证。下列文物主要由硅酸盐制成的是
文物 |
|
|
|
|
选项 | A.南宋鎏金饰品 | B.蒜头纹银盒 | C.广彩瓷咖啡杯 | D.铜镀金钟座 |
A. A B. B C. C D. D
【参考答案】C
【详解】A.鎏金饰品是用金汞合金制成的金泥涂饰器物的表面,经过烘烤,汞蒸发而金固结于器物上的一种传统工艺,其中不含硅酸盐,故A项不符合题意;
B.蒜头纹银盒中主要成分为金属银,其中不含硅酸盐,故B项不符合题意;
C.广彩瓷咖啡杯是由黏土等硅酸盐产品烧制而成,其主要成分为硅酸盐,故C项符合题意;
D.铜镀金钟座是铜和金等制得而成,其中不含硅酸盐,故D项不符合题意;
综上所述,答案为C。
4. 实验室进行粗盐提纯时,需除去
和
,所用试剂包括
以及
A.
B. ![]()
C.
D. ![]()
【参考答案】A
【分析】除杂过程中不能引入新杂质,同时为保证除杂完全,所加除杂试剂一般过量,然后选择合适的试剂将所加过量的物质除去。
【详解】粗盐中主要成分为NaCl。除去Ca2+选用
将其转化为沉淀,为了不引入新杂质,所加物质的阳离子为Na+,即选用Na2CO3除去Ca2+,同理可知,除去Mg2+需选用NaOH,除去
需选用BaCl2,因所加除杂试剂均过量,因此向粗盐样品中加入除杂试剂的顺序中,BaCl2先于Na2CO3加入,利用Na2CO3除去Ca2+和多余的BaCl2,因Na2CO3、NaOH均过量,成为新杂质,需要过滤后向滤液中加入HCl,至溶液中不再有气泡产生,以此除去Na2CO3、NaOH,然后将溶液蒸干得到较为纯净的食盐产品,综上所述,答案为A。
5. 若将铜丝插入热浓硫酸中进行如图(a~d均为浸有相应试液的棉花)所示的探究实验,下列分析正确的是

A.
与浓硫酸反应,只体现
的酸性
B. a处变红,说明
是酸性氧化物
C. b或c处褪色,均说明
具有漂白性
D. 试管底部出现白色固体,说明反应中无
生成
【参考答案】B
【详解】A.铜和浓硫酸反应过程中,生成CuSO4体现出浓硫酸的酸性,生成SO2体现出浓硫酸的强氧化性,故A错误;
B.a处的紫色石蕊溶液变红,其原因是SO2溶于水生成了酸,可说明SO2是酸性氧化物,故B正确;
C.b处品红溶液褪色,其原因是SO2具有漂白性,而c处酸性高锰酸钾溶液褪色,其原因是SO2和KMnO4发生氧化还原反应,SO2体现出还原性,故C错误;
D.实验过程中试管底部出现白色固体,根据元素守恒可知,其成分为无水CuSO4,而非蓝色的CuSO4·5H2O,其原因是浓硫酸体现出吸水性,将反应生成的H2O吸收,故D错误;
综上所述,正确的是B项。
6. 劳动开创未来。下列劳动项目与所述的化学知识没有关联的是
选项 | 劳动项目 | 化学知识 |
A | 面包师用小苏打作发泡剂烘焙面包 |
|
B | 环保工程师用熟石灰处理酸性废水 | 熟石灰具有碱性 |
C | 工人将模具干燥后再注入熔融钢水 | 铁与 |
D | 技术人员开发高端耐腐蚀镀铝钢板 | 铝能形成致密氧化膜 |
A. A B. B C. C D. D
【参考答案】A
【详解】A.小苏打是碳酸氢钠,不是碳酸钠,主要用来做膨松剂,故A符合题意;
B.熟石灰是氢氧化钙,具有碱性,可以用于处理酸性废水,故B不符合题意;
C.熔融的铁与水蒸气在高温下反应会生成四氧化三铁和氢气,因此必须将模具干燥,故C不符合题意;
D.钢板上镀铝,保护钢板,金属铝表面形成致密氧化膜而保护金属铝不被腐蚀,,故D不符合题意。
综上所述,答案为A。
7. 甲~戊均为短周期元素,在元素周期表中的相对位置如图所示。戊的最高价氧化物对应的水化物为强酸。下列说法不正确的是

A. 原子半径:丁>戊>乙
B. 非金属性:戊>丁>丙
C. 甲的氢化物遇氯化氢一定有白烟产生
D. 丙的最高价氧化物对应的水化物一定能与强碱反应
【参考答案】C
【分析】甲~戊是短周期元素,戊中的最高价氧化物对应水化物为强酸,则可能是硫酸或高氯酸,若是高氯酸,则戊为Cl,甲为N、乙为F、丙为P、丁为S,若是硫酸,则戊为S,甲为C、乙为O、丙为Si、丁为P。
【详解】A.根据层多径大,同电子层结构核多径小原则,则原子半径:丁>戊>乙,故A正确;
B.根据同周期从左到右非金属性逐渐增强,则非金属性:戊>丁>丙,故B正确;
C.甲的氢化物可能为氨气,可能为甲烷、乙烷等,若是氨气,则遇氯化氢一定有白烟产生;若是甲烷、乙烷等,则遇氯化氢不反应,没有白烟生成,故C错误;
D.丙的最高价氧化物对应的水化物可能是硅酸、也可能是磷酸,都一定能与强碱反应,故D正确。
综上所述,答案为C。
8. 实验室用
和浓盐酸反应生成
后,按照净化、收集、性质检验及尾气处理的顺序进行实验。下列装置(“→”表示气流方向)不能达到实验目的的是

A. A B. B C. C D. D
【参考答案】D
【详解】A.浓盐酸易挥发,制备的氯气中含有HCl,可用饱和食盐水除去HCl,Cl2可用浓硫酸干燥,A装置能达到实验目的,故A不符合题意;
B.氯气的密度大于空气,用向上排空气法收集,B装置能收集氯气,故B不符合题意;
C.湿润的红布条褪色,干燥的红色布条不褪色,可验证干燥的氯气不具有漂白性,故C不符合题意;
D.氯气在水中的溶解度较小,应用NaOH溶液吸收尾气,D装置不能达到实验目的,故D符合题意;
答案选D。
9. 我国科学家进行了如图所示的碳循环研究。下列说法正确的是

A. 淀粉是多糖,在一定条件下能水解成葡萄糖
B. 葡萄糖与果糖互为同分异构体,都属于烃类
C.
中含有
个电子
D.
被还原生成![]()
【参考答案】A
【详解】A.淀粉是由葡萄糖分子聚合而成的多糖,在一定条件下水解可得到葡萄糖,故A正确;
B.葡萄糖与果糖的分子式均为C6H12O6,结构不同,二者互为同分异构体,但含有O元素,不是烃类,属于烃的衍生物,故B错误;
C.一个CO分子含有14个电子,则1molCO中含有14×6.02×1023=8.428×1024个电子,故C错误;
D.未指明气体处于标况下,不能用标况下的气体摩尔体积计算其物质的量,故D错误;
答案选A。
10. 以熔融盐为电解液,以含
和SI等的铝合金废料为阳极进行电解,实现A1的再生。该过程中
A. 阴极发生的反应为
B. 阴极上A1被氧化
C. 在电解槽底部产生含Cu的阳极泥 D. 阳极和阴极的质量变化相等
【参考答案】C
【分析】根据电解原理可知,电解池中阳极发生失电子的氧化反应,阴极发生得电子的还原反应,该题中以熔融盐为电解液,含
和Si等的铝合金废料为阳极进行电解,通过控制一定的条件,从而可使阳极区Mg和Al发生失电子的氧化反应,分别生成Mg2+和Al3+,Cu和Si不参与反应,阴极区Al3+得电子生成Al单质,从而实现Al的再生,据此分析解答。
【详解】A.阴极应该发生得电子的还原反应,实际上Mg在阳极失电子生成Mg2+,A错误;
B.Al在阳极上被氧化生成Al3+,B错误;
C.阳极材料中Cu和Si不参与氧化反应,在电解槽底部可形成阳极泥,C正确;
D.因为阳极除了铝参与电子转移,镁也参与了电子转移,且还会形成阳极泥,而阴极只有铝离子得电子生成铝单质,根据电子转移数守恒及元素守恒可知,阳极与阴极的质量变化不相等,D错误;
故选C。
11. 为检验牺牲阳极的阴极保护法对钢铁防腐的效果,将镀层有破损的镀锌铁片放入酸化的
溶液中。一段时间后,取溶液分别实验,能说明铁片没有被腐蚀的是
A. 加入
溶液产生沉淀 B. 加入淀粉碘化钾溶液无蓝色出现
C. 加入
溶液无红色出现 D. 加入
溶液无蓝色沉淀生成
【参考答案】D
【分析】镀层有破损的镀锌铁片被腐蚀,则将其放入到酸化的3%NaCl溶液中,会构成原电池,由于锌比铁活泼,作原电池的负极,而铁片作正极,溶液中破损的位置会变大,铁也会继续和酸化的氯化钠溶液反应产生氢气,溶液中会有亚铁离子生成,据此分析解答。
【详解】A.氯化钠溶液中始终存在氯离子,所以加入硝酸银溶液后,不管铁片是否被腐蚀,均会出现白色沉淀,故A不符合题意;
B.淀粉碘化钾溶液可检测氧化性物质,但不论铁片是否被腐蚀,均无氧化性物质可碘化钾发生反应,故B不符合题意;
C.KSCN溶液可检测铁离子的存在,上述现象中不会出现铁离子,所以无论铁片是否被腐蚀,加入KSCN溶液后,均无红色出现,故C不符合题意;
D.K3[Fe(CN)6]是用于检测Fe2+的试剂,若铁片没有被腐蚀,则溶液中不会生成亚铁离子,则加入K3[Fe(CN)6]溶液就不会出现蓝色沉淀,故D符合题意。
综上所述,答案为D。
12. 陈述Ⅰ和Ⅱ均正确但不具有因果关系的是
选项 | 陈述Ⅰ | 陈述Ⅱ |
A | 用焦炭和石英砂制取粗硅 |
|
B | 利用海水制取溴和镁单质 |
|
C | 石油裂解气能使溴的 | 石油裂解可得到乙烯等不饱和烃 |
D |
|
|
A. A B. B C. C D. D
【参考答案】A
【详解】A.焦炭具有还原性,工业上常利用焦炭与石英砂(SiO2)在高温条件下制备粗硅,这与SiO2是否做光导纤维无因果关系,故A符合题意;
B.海水中存在溴离子,可向其中通入氯气等氧化剂将其氧化为溴单质,再经过萃取蒸馏物理操作分离提纯溴单质,另外,通过富集海水中的镁离子,经过沉淀、溶解等操作得到无水氯化镁,随后电解熔融氯化镁可制备得到镁单质,陈述I和陈述II均正确,且具有因果关系,B不符合题意;
C.石油在催化剂加热条件下进行裂解可得到乙烯等不饱和烃,从而使溴的CCl4溶液褪色,陈述I和陈述II均正确,且具有因果关系,C不符合题意;
D.FeCl3溶液中铁离子可发生水解,生成具有吸附性的氢氧化铁胶体,从而可用作净水机,陈述I和陈述II均正确,且具有因果关系,D不符合题意;
综上所述,答案为A。
13. 恒容密闭容器中,
在不同温度下达平衡时,各组分的物质的量(n)如图所示。下列说法正确的是

A. 该反应的![]()
B. a为
随温度的变化曲线
C. 向平衡体系中充入惰性气体,平衡不移动
D. 向平衡体系中加入
,H2的平衡转化率增大
【参考答案】C
【详解】A.从图示可以看出,平衡时升高温度,氢气的物质的量减少,则平衡正向移动,说明该反应的正反应是吸热反应,即ΔH>0,故A错误;
B.从图示可以看出,在恒容密闭容器中,随着温度升高氢气的平衡时的物质的量减少,则平衡随着温度升高正向移动,水蒸气的物质的量增加,而a曲线表示的是物质的量不随温度变化而变化,故B错误;
C.容器体积固定,向容器中充入惰性气体,没有改变各物质的浓度,平衡不移动,故C正确;
D.BaSO4是固体,向平衡体系中加入BaSO4,不能改变其浓度,因此平衡不移动,氢气的转化率不变,故D错误;
故选C。
14. 下列关于Na的化合物之间转化反应的离子方程式书写正确的是
A. 碱转化为酸式盐:![]()
B. 碱转化为两种盐:![]()
C. 过氧化物转化为碱:![]()
D. 盐转化为另一种盐:![]()
【参考答案】B
【详解】A.向氢氧化钠溶液中通入足量的二氧化碳,碱可以转化成酸式盐,离子方程式为:CO2+OH-=
,故A错误;
B.氯气通入NaOH溶液中可以生成氯化钠和次氯酸钠两种盐,其离子方程式为:Cl2+2OH-=Cl-+ClO-+H2O,故B正确;
C.钠的过氧化物为Na2O2,可以和水反应生成氢氧化钠,但在离子方程式里Na2O2不能拆成离子,故C错误;
D.硅酸钠溶于水,在离子方程式里要写成离子,故D错误;
故选B。
15. 在相同条件下研究催化剂I、Ⅱ对反应
的影响,各物质浓度c随反应时间t的部分变化曲线如图,则

A. 无催化剂时,反应不能进行
B. 与催化剂Ⅰ相比,Ⅱ使反应活化能更低
C. a曲线表示使用催化剂Ⅱ时X的浓度随t的变化
D. 使用催化剂Ⅰ时,
内,![]()
【参考答案】D
【详解】A.由图可知,无催化剂时,随反应进行,生成物浓度也在增加,说明反应也在进行,故A错误;
B.由图可知,催化剂I比催化剂II催化效果好,说明催化剂I使反应活化能更低,反应更快,故B错误;
C.由图可知,使用催化剂II时,在0~2min 内Y的浓度变化了2.0mol/L,而a曲线表示的X的浓度变化了2.0mol/L,二者变化量之比不等于化学计量数之比,所以a曲线不表示使用催化剂II时X浓度随时间t的变化,故C错误;
D.使用催化剂I时,在0~2min 内,Y的浓度变化了4.0mol/L,则
(Y) =
=
=2.0
,
(X) =
(Y) =
2.0
=1.0
,故D正确;
答案选D。
16. 科学家基于
易溶于
的性质,发展了一种无需离子交换膜的新型氯流电池,可作储能设备(如图)。充电时电极a的反应为:
。下列说法正确的是

A. 充电时电极b是阴极
B. 放电时
溶液的
减小
C. 放电时
溶液的浓度增大
D. 每生成
,电极a质量理论上增加![]()
【参考答案】C
【详解】A.由充电时电极a的反应可知,充电时电极a发生还原反应,所以电极a是阴极,则电极b是阳极,故A错误;
B.放电时电极反应和充电时相反,则由放电时电极a的反应为
可知,NaCl溶液的pH不变,故B错误;
C.放电时负极反应为
,正极反应为
,反应后Na+和Cl-浓度都增大,则放电时NaCl溶液的浓度增大,故C正确;
D.充电时阳极反应为
,阴极反应为
,由得失电子守恒可知,每生成1molCl2,电极a质量理论上增加23g/mol
2mol=46g,故D错误;
答案选C。
二、非选择题:共56分。第17~19题为必考题,考生都必须作答。第20~21题为选考题,考生根据要求作答。
(一)必考题:共42分。
17. 食醋是烹饪美食的调味品,有效成分主要为醋酸(用
表示)。
的应用与其电离平衡密切相关。25℃时,
的
。
(1)配制
的
溶液,需
溶液的体积为_______mL。
(2)下列关于
容量瓶的操作,正确的是_______。

(3)某小组研究25℃下
电离平衡的影响因素。
提出假设。稀释
溶液或改变
浓度,
电离平衡会发生移动。设计方案并完成实验用浓度均为
的
和
溶液,按下表配制总体积相同的系列溶液;测定
,记录数据。
序号 |
|
|
|
|
|
Ⅰ | 40.00 | / | / | 0 | 2.86 |
Ⅱ | 4.00 | / | 36.00 | 0 | 3.36 |
… |
|
|
|
|
|
Ⅶ | 4.00 | a | b | 3:4 | 4.53 |
Ⅷ | 4.00 | 4.00 | 32.00 | 1:1 | 4.65 |
①根据表中信息,补充数据:
_______,
_______。
②由实验Ⅰ和Ⅱ可知,稀释
溶液,电离平衡_______(填”正”或”逆”)
向移动;结合表中数据,给出判断理由:_______。
③由实验Ⅱ~VIII可知,增大
浓度,
电离平衡逆向移动。
实验结论假设成立。
(4)小组分析上表数据发现:随着
的增加,
的值逐渐接近
的
。
查阅资料获悉:一定条件下,按
配制的溶液中,
的值等于
的
。
对比数据发现,实验VIII中
与资料数据
存在一定差异;推测可能由物质浓度准确程度不够引起,故先准确测定
溶液的浓度再验证。
①移取
溶液,加入2滴酚酞溶液,用
溶液滴定至终点,消耗体积为
,则该
溶液的浓度为_______
。在答题卡虚线框中,画出上述过程的滴定曲线示意图并标注滴定终点_______。
②用上述
溶液和
溶液,配制等物质的量的
与
混合溶液,测定pH,结果与资料数据相符。
(5)小组进一步提出:如果只有浓度均约为
的
和
溶液,如何准确测定
的
?小组同学设计方案并进行实验。请完成下表中Ⅱ的内容。
Ⅰ | 移取 |
Ⅱ | _______,测得溶液的pH为4.76 |
实验总结得到的结果与资料数据相符,方案可行。
(6)根据
可以判断弱酸的酸性强弱。写出一种无机弱酸及其用途_______。
【参考答案】(1)5.0(2)C
(3) ①. 3.00 ②. 33.00 ③. 正 ④. 实验II相较于实验I,醋酸溶液稀释了10倍,而实验II的pH增大值小于1
(4) ①. 0.1104 ②. 
(5)向滴定后的混合液中加入20mL HAc溶液
(6)HClO:漂白剂和消毒液(或H2SO3:还原剂、防腐剂或H3PO4:食品添加剂、制药、生产肥料)
【小问1详解】
溶液稀释过程中,溶质的物质的量不变,因此250mL×0.1mol/L=V×5mol/L,解得V=5.0mL,故答案为:5.0。
【小问2详解】
A.容量瓶使用过程中,不能用手等触碰瓶口,以免污染试剂,故A错误;
B.定容时,视线应与溶液凹液面和刻度线“三线相切”,不能仰视或俯视,故B错误;
C.向容量瓶中转移液体,需用玻璃棒引流,玻璃棒下端位于刻度线以下,同时玻璃棒不能接触容量瓶口,故C正确;
D.定容完成后,盖上瓶塞,将容量瓶来回颠倒,将溶液摇匀,颠倒过程中,左手食指抵住瓶塞,防止瓶塞脱落,右手扶住容量瓶底部,防止容量瓶从左手掉落,故D错误;
综上所述,正确的是C项。
【小问3详解】
①实验VII的溶液中n(NaAc):n(HAc)=3:4,V(HAc)=4.00mL,因此V(NaAc)=3.00mL,即a=3.00,,由实验I可知,溶液最终的体积为40.00mL,因此V(H2O)=40.00mL-4.00mL-3.00mL=33.00mL,即b=33.00,故答案为:3.00;33.00。
②实验I所得溶液的pH=2.86,实验II的溶液中c(HAc)为实验I的
,稀释过程中,若不考虑电离平衡移动,则实验II所得溶液的pH=2.86+1=3.86,但实际溶液的pH=3.36<3.86,
说明稀释过程中,溶液中n(H+)增大,即电离平衡正向移动,故答案为:正;实验II相较于实验I,醋酸溶液稀释了10倍,而实验II的pH增大值小于1。
【小问4详解】
(i)滴定过程中发生反应:HAc+NaOH=NaAc+H2O,由反应方程式可知,滴定至终点时,n(HAc)=n(NaOH),因此22.08mL×0.1mol/L=20.00mL×c(HAc),解得c(HAc)=0.1104mol/L,故答案为:0.1104。
(ii)滴定过程中,当V(NaOH)=0时,c(H+)=
≈
mol/L=10-2.88mol/L,溶液的pH=2.88,当V(NaOH)=11.04mL时,n(NaAc)=n(HAc),溶液的pH=4.76,当V(NaOH)=22.08mL时,达到滴定终点,溶液中溶质为NaAc溶液,Ac-发生水解,溶液呈弱碱性,当NaOH溶液过量较多时,c(NaOH)无限接近0.1mol/L,溶液pH接近13,因此滴定曲线如图:
。
【小问5详解】
向20.00mL的HAc溶液中加入V1mL NaOH溶液达到滴定终点,滴定终点的溶液中溶质为NaAc,当
时,溶液中c(H+)的值等于HAc的Ka,因此可再向溶液中加入20.00mL HAc溶液,使溶液中n(NaAc)=n(HAc),故答案为:向滴定后的混合液中加入20mL HAc溶液。
【小问6详解】
不同的无机弱酸在生活中应用广泛,如HClO具有强氧化性,在生活中可用于漂白和消毒,H2SO3具有还原性,可用作还原剂,在葡萄酒中添加适量H2SO3可用作防腐剂,H3PO4具有中强酸性,可用作食品添加剂,同时在制药、生产肥料等行业有广泛用途,故答案为:HClO:漂白剂和消毒液(或H2SO3:还原剂、防腐剂或H3PO4:食品添加剂、制药、生产肥料)。
18. 稀土(
)包括镧、钇等元素,是高科技发展的关键支撑。我国南方特有的稀土矿可用离子交换法处理,一种从该类矿(含铁、铝等元素)中提取稀土的工艺如下:

已知:月桂酸
熔点为
;月桂酸和
均难溶于水。该工艺条件下,稀土离子保持
价不变;
的
,
开始溶解时的pH为8.8;有关金属离子沉淀的相关pH见下表。
离子 |
|
|
|
|
开始沉淀时的pH | 8.8 | 1.5 | 3.6 | 6.2~7.4 |
沉淀完全时的pH | / | 3.2 | 4.7 | / |
(1)“氧化调pH”中,化合价有变化的金属离子是_______。
(2)“过滤1”前,用
溶液调pH至_______的范围内,该过程中
发生反应的离子方程式为_______。
(3)“过滤2”后,滤饼中检测不到
元素,滤液2中
浓度为
。为尽可能多地提取
,可提高月桂酸钠的加入量,但应确保“过滤2”前的溶液中
低于_______
(保留两位有效数字)。
(4)①“加热搅拌”有利于加快
溶出、提高产率,其原因是_______。
②“操作X”的过程为:先_______,再固液分离。
(5)该工艺中,可再生循环利用的物质有_______(写化学式)。
(6)稀土元素钇(Y)可用于制备高活性的合金类催化剂
。
①还原
和
熔融盐制备
时,生成1mol
转移_______
电子。
②
用作氢氧燃料电池电极材料时,能在碱性溶液中高效催化
的还原,发生的电极反应为_______。
【参考答案】(1)Fe2+
(2) ①. 4.7
pH<6.2 ②. ![]()
(3)4.0
10-4
(4) ①. 加热搅拌可加快反应速率 ②. 冷却结晶
(5)MgSO4(6) ①. 15 ②. O2+4e-+2H2O=4OH-
【分析】由流程可知,该类矿(含铁、铝等元素)加入酸化MgSO4溶液浸取,得到浸取液中含有
、
、
、
、
、
等离子,经氧化调pH使
、
形成沉淀,经过滤除去,滤液1中含有
、
、
等离子,加入月桂酸钠,使
形成
沉淀,滤液2主要含有MgSO4溶液,可循环利用,滤饼加盐酸,经加热搅拌溶解后,再冷却结晶,析出月桂酸,再固液分离得到RECl3溶液。
【小问1详解】
由分析可知,“氧化调pH”目的是除去含铁、铝等元素的离子,需要将Fe2+氧化为Fe3+,以便后续除杂,所以化合价有变化的金属离子是Fe2+,故答案为:Fe2+;
【小问2详解】
由表中数据可知,
沉淀完全的pH为4.7,而
开始沉淀的pH为6.2~7.4,所以为保证
、
沉淀完全,且
不沉淀,要用
溶液调pH至4.7
pH<6.2的范围内,该过程中
发生反应的离子方程式为
,故答案为:4.7
pH<6.2;
;
【小问3详解】
滤液2中
浓度为
,即0.1125mol/L,根据
,若要加入月桂酸钠后只生成
,而不产生
,则
=
=4
10-4
,故答案为:4
10-4;
【小问4详解】
①“加热搅拌”有利于加快
溶出、提高产率,其原因是加热搅拌可加快反应速率,故答案为:加热搅拌可加快反应速率;
② “操作X”的结果是分离出月桂酸,由信息可知,月桂酸
熔点为
,故“操作X”的过程为:先冷却结晶,再固液分离,故答案为:冷却结晶;
【小问5详解】
由分析可知,该工艺中,可再生循环利用的物质有MgSO4,故答案为:MgSO4;
【小问6详解】
①
中Y为+3价,
中Pt为+4价,而
中金属均为0价,所以还原
和
熔融盐制备
时,生成1mol
转移15
电子,故答案为:15;
②碱性溶液中,氢氧燃料电池正极发生还原反应,发生的电极反应为O2+4e-+2H2O=4OH,故答案为:O2+4e-+2H2O=4OH-。
19. 铬及其化合物在催化、金属防腐等方面具有重要应用。
(1)催化剂
可由
加热分解制备,反应同时生成无污染气体。
①完成化学方程式:
_______的_______。
②
催化丙烷脱氢过程中,部分反应历程如图,
过程的焓变为_______(列式表示)。

③
可用于
的催化氧化。设计从
出发经过3步反应制备
的路线_______(用“→”表示含氮物质间的转化);其中一个有颜色变化的反应的化学方程式为_______。
(2)
溶液中存在多个平衡。本题条件下仅需考虑如下平衡:
(ⅰ)![]()
![]()
(ⅱ)![]()
![]()
①下列有关
溶液的说法正确的有_______。
A.加入少量硫酸,溶液的pH不变
B.加入少量水稀释,溶液中离子总数增加
C.加入少量
溶液,反应(ⅰ)的平衡逆向移动
D.加入少量
固体,平衡时
与
的比值保持不变
②25℃时,
溶液中
随pH的变化关系如图。当
时,设
、
与
的平衡浓度分别为x、y、
,则x、y、z之间的关系式为_______
;计算溶液中
的平衡浓度_____(<闯黾扑愎蹋峁A袅轿挥行?。

③在稀溶液中,一种物质对光的吸收程度(A)与其所吸收光的波长(
)有关;在一定波长范围内,最大A对应的波长(
)取决于物质的结构特征;浓度越高,A越大。混合溶液在某一波长的A是各组分吸收程度之和。为研究对反应(ⅰ)和(ⅱ)平衡的影响,配制浓度相同、
不同的
稀溶液,测得其A随
的变化曲线如图,波长
、
和
中,与
的
最接近的是_______;溶液
从a变到b的过程中,<img height="56" src="//img.985ks.com/images_new/img_default_show.png" data-src="//img.985ks.com/uploadfile/images/2023/0301/16776677642616605.pn
的值_______(填“增大”“减小”或“不变”)。

【参考答案】(1) ①. N2↑ ②. 4H2O ③. (E1-E2)+ΔH+(E3-E4) ④.
⑤. 2NO+O2=2NO2
(2) ①. BD ②.
③. 当溶液pH=9时,
,因此可忽略溶液中![]()
即
=0.20
反应(ii)的平衡常数K2=
=
=3.3×10-7
联立两个方程可得
=6.0×10-4mol/L ④. λ3 ⑤. 增大
【小问1详解】
①
分解过程中,生成Cr2O3和无污染气体,根据元素守恒可知,其余生成物为N2、H2O,根据原子守恒可知反应方程式为
,故答案为:N2↑;4H2O。
②设反应过程中第一步的产物为M,第二步的产物为N,则X→M ΔH1=(E1-E2),M→N ΔH2=ΔH,N→Y ΔH3=(E3-E4)1,根据盖斯定律可知,X(g)→Y(g)的焓变为ΔH1+ΔH2+ΔH3=(E1-E2)+ΔH+(E3-E4),故答案为:(E1-E2)+ΔH+(E3-E4)。
③NH3在Cr2O3作催化剂条件下,能与O2反应生成NO,NO与O2反应生成红棕色气体NO2,NO2与H2O反应生成HNO3和NO,若同时通入O2,可将氮元素全部氧化为HNO3,因此从NH3出发经过3步反应制备HNO3的路线为
;其中NO反
应生成NO2过程中,气体颜色发生变化,其反应方程式为2NO+O2=2NO2,故答案为:
;2NO+O2=2NO2。
【小问2详解】
①K2Cr2O7溶液中存在平衡:(i)
、(ii)
。
A.向溶液中加入少量硫酸,溶液中c(H+)增大,(ii)平衡逆向移动,根据勒夏特列原理可知,平衡移动只是减弱改变量,平衡后,溶液中c(H+)依然增大,因此溶液的pH将减小,故A错误;
B.加水稀释过程中,根据“越稀越水解”、“越稀越电离”可知,(i)和(ii)的平衡都正向移动,两个平衡正向都是离子数增大的反应,因此稀释后,溶液中离子总数将增大,故B正确;
C.加入少量NaOH溶液,(ii)正向移动,溶液中
将减小,(i)将正向移动,故C错误;
D.平衡(i)的平衡常数K1=
,平衡常数只与温度和反应本身有关,因此加入少量K2Cr2O7溶液,
不变,故D正确;
综上所述,答案为:BD。
②0.10mol/L K2Cr2O7溶液中,Cr原子的总浓度为0.20mol/L,当溶液pH=9.00时,溶液中Cr原子总浓度为
=0.20mol/L,
、
与
的平衡浓度分别为x、y、z mol/L,因此
=0.10;由图8可知,当溶液pH=9时,
,因此可忽略溶液中
,即<img height="30" src="//img.985ks.com/images_new/img_default_show.png" data-src="//img.985ks.com/uploadfile/images/2023/0301/16776677789425245.png" 148"/>=0.20,反应(ii)的平衡常数K2=
=
=3.3×10-7,联立两个方程可得
=6.0×10-4mol/L。
③根据反应(i)、(ii)是离子浓度增大的平衡可知,溶液pH越大,溶液中
越大,混合溶液在某一波长的A越大,溶液的pH越大,溶液中
越大,因此与
的λmax最接近的是λ3;反应(i)的平衡常数K1=
,反应(ii)的平衡常数K2=
,
=
=
,因此
=
,由上述分析逆推可知,b>a,即溶液pH从a变到b的过程中,溶液中c(H+)减小,所以
的值将增大,故答案为:λ3;增大。
(二)选考题:共14分。请考生从2道题中任选一题作答。如果多做,则按所做的第一题计分。
[选修3:物质结构与性质]
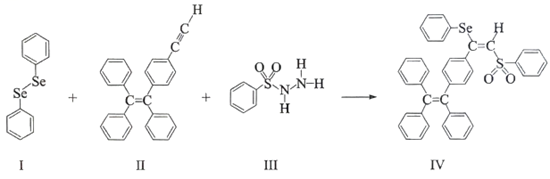
20. 硒(
)是人体必需微量元素之一,含硒化合物在材料和药物领域具有重要应用。自我国科学家发现聚集诱导发光(
)效应以来,
在发光材料、生物医学等领域引起广泛关注。一种含
的新型
分子
的合成路线如下:

(1)
与S同族,基态硒原子价电子排布式为_______。
(2)
的沸点低于
,其原因是_______。
(3)关于I~III三种反应物,下列说法正确的有_______。
A.I中仅有
键
B.I中的
键为非极性共价键
C.II易溶于水
D.II中原子的杂化轨道类型只有
与![]()
E.I~III含有的元素中,O电负性最大
(4)IV中具有孤对电子的原子有_______。
(5)硒的两种含氧酸的酸性强弱为
_______
(填“>”或“<”)。研究发现,给小鼠喂食适量硒酸钠(
)可减轻重金属铊引起的中毒。
的立体构型为_______。
(6)我国科学家发展了一种理论计算方法,可利用材料的晶体结构数据预测其热电性能,该方法有助于加速新型热电材料的研发进程。化合物X是通过该方法筛选出的潜在热电材料之一,其晶胞结构如图1,沿x、y、z轴方向的投影均为图2。

①X的化学式为_______。
②设X的最简式的式量为
,晶体密度为
,则X中相邻K之间的最短距离为_______
(列出计算式,
为阿伏加德罗常数的值)。
【参考答案】(1)4s24p4
(2)两者都是分子晶体,由于水存在分子间氢键,沸点高
(3)BDE(4)O、Se
(5) ①. > ②. 正四面体形
(6) ①. K2SeBr6 ②. 
【小问1详解】
基态硫原子价电子排布式为3s23p4,
与S同族,Se为第四周期元素,因此基态硒原子价电子排布式为4s24p4;故答案为:4s24p4。
【小问2详解】
的沸点低于
,其原因是两者都是分子晶体,由于水存在分子间氢键,沸点高;故答案为:两者都是分子晶体,由于水存在分子间氢键,沸点高。
【小问3详解】
A.I中有
键,还有大π键,故A错误;B.Se?Se是同种元素,因此I中的
键为非极性共价键,故B正确;C.烃都是难溶于水,因此II难溶于水,故B错误;D.II中苯环上的碳原子和碳碳双键上的碳原子杂化类型为sp2,碳碳三键上的碳原子杂化类型为sp,故D正确;E.根据同周期从左到右电负性逐渐增大,同主族从上到下电负性逐渐减小,因此I~III含有的元素中,O电负性最大,故E正确;综上所述,答案为:BDE。
【小问4详解】
根据题中信息IV中O、Se都有孤对电子,碳、氢、硫都没有孤对电子;故答案为:O、Se。
【小问5详解】
根据非羟基氧越多,酸性越强,因此硒的两种含氧酸的酸性强弱为
>
。
中Se价层电子对数为
,其立体构型为正四面体形;故答案为:>;正四面体形。
【小问6详解】
①根据晶胞结构得到K有8个,
有
,则X的化学式为K2SeBr6;故答案为:K2SeBr6。
②设X的最简式的式量为
,晶体密度为
,设晶胞参数为anm,得到
,解得
,X中相邻K之间的最短距离为晶胞参数的一半即
;故答案为:
。
【选修5:有机化学基础】
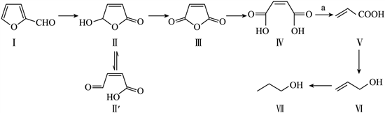
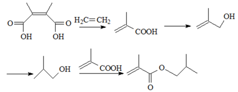
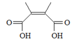
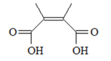
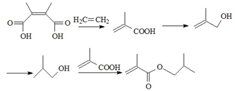
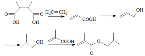
21. 基于生物质资源开发常见的化工原料,是绿色化学的重要研究方向。以化合物I为原料,可合成丙烯酸V、丙醇VII等化工产品,进而可制备聚丙烯酸丙酯类高分子材料。

(1)化合物I的分子式为_______,其环上的取代基是_______(写名称)。
(2)已知化合物II也能以II′的形式存在。根据II′的结构特征,分析预测其可能的化学性质uploadfile/image完成下表。
序号 | 结构特征 | 可反应的试剂 | 反应形成的新结构 | 反应类型 |
① |
|
|
| 加成反应 |
② | _______ | _______ | _______ | 氧化反应 |
③ | _______ | _______ | _______ | _______ |
(3)化合物IV能溶于水,其原因是_______。
(4)化合物IV到化合物V的反应是原子利用率
的反应,且
与
化合物a反应得到
,则化合物a为_______。
(5)化合物VI有多种同分异构体,其中含
结构的有_______种,核磁共振氢谱图上只有一组峰的结构简式为_______。
(6)选用含二个羧基的化合物作为唯一的含氧有机原料,参考上述信息,制备高分子化合物VIII的单体。

写出VIII的单体的合成路线_______(不用注明反应条件)。
【参考答案】(1) ①. C5H4O2 ②. 醛基
(2) ①. -CHO ②. O2 ③. -COOH ④. -COOH ⑤. CH3OH ⑥. - COOCH3 ⑦. 酯化反应(取代反应)
(3)Ⅳ中羟基能与水分子形成分子间氢键
(4)乙烯(5) ①. 2 ②. ![]()
(6)
【小问1详解】
根据化合物Ⅰ的结构简式可知,其分子式为C5H4O2;其环上的取代基为醛基,故答案为:C5H4O2;醛基;
【小问2详解】
②化合物Ⅱ'中含有的-CHO可以被氧化为-COOH,故答案为:-CHO;O2;-COOH;
③化合物Ⅱ'中含有-COOH,可与含有羟基的物质(如甲醇)发生酯化反应生成酯,故答案为:-COOH;CH3OH;- COOCH3;酯化反应(取代反应);
【小问3详解】
化合物Ⅳ中含有羟基,能与水分子形成分子间氢键,使其能溶于水,故答案为:Ⅳ中羟基能与水分子形成分子间氢键;
【小问4详解】
化合物Ⅳ到化合物Ⅴ的反应是原子利用率100%的反应,且1 molⅣ与1 mola反应得到2molV,则a的分子式为C2H4,为乙烯,故答案为:乙烯;
【小问5详解】
化合物Ⅵ的分子式为C3H6O,其同分异构体中含有
,则符合条件的同分异构体有
和
,共2种,其中核磁共振氢谱中只有一组峰的结构简式为
,故答案为:
;
【小问6详解】
根据化合物Ⅷ的结构简式可知,其单体为
,其原料中的含氧有机物只有一种含二个羧基的化合物,原料可以是
,
发生题干Ⅳ→V的反应得到
,
还原为
,再加成得到
,
和
发生酯化反应得到目标产物,则合成路线为
,故答案为:
。








