2022年重庆中考数学试题卷及答案(A卷)
(全卷共四个大题,满分150分,考试时间120分钟)
注意事项:
1. 试题的答案书写在答题卡上,不得在试题卷上直接作答;
2. 作答前认真阅读答题卡上的注意事项;
3. 作图(包括作辅助线)请一律用黑色2B铅笔完成;
4. 考试结束,由监考人员将试题卷和答题卡一并收回.
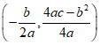
参考公式:抛物线
的顶点坐标为
,对称轴为
.
一、选择题:(本大题12个小题,每小题4分,共48分)在每个小题的下面,都给出了代号为A、B、C、D的四个答案,其中只有一个是正确的,请将答题卡上题号右侧正确答案所对应的方框涂黑.
1. 5的相反数是( )
A. -5 B. 5 C.
D. 
2. 下列图形是轴对称图形的是( )
A.
B.
C.
D. 
3. 如图,直线
,
被直线
所截,
,
,则
的度数为( )

A.
B.
C.
D. 
4. 如图,曲线表示一只蝴蝶在飞行过程中离地面的高度
随飞行时间
的变化情况,则这只蝴蝶飞行的最高高度约为( )

A.
B.
C.
D. 
5. 如图,
与
位似,点
为位似中心,相似比为
.若
的周长为4,则
的周长是( )

A. 4 B. 6 C. 9 D. 16
6. 用正方形按如图所示的规律拼图案,其中第①个图案中有5个正方形,第②个图案中有9个正方形,第③个图案中有13个正方形,第④个图案中有17个正方形,此规律排列下去,则第⑨个图案中正方形的个数为( )

A. 32 B. 34 C. 37 D. 41
7. 估计
的值应在( )
A. 10和11之间 B. 9和10之间 C. 8和9之间 D. 7和8之间
8. 小区新增了一家快递店,第一天揽件200件,第三天揽件242件,设该快递店揽件日平均增长率为
,根据题意,下面所列方程正确的是( )
A.
B.
C.
D. 
9. 如图,在正方形
中,
平分
交
于点
,点
是边
上一点,连接
,若
,则
的度数为( )

A.
B.
C.
D. 
10. 如图,
是
的切线,
为切点,连接
交
于点
,延长
交
于点
,连接
.若
,且
,则
的长度是( )

A. 3 B. 4 C.
D. 
11. 若关于
的一元一次不等式组
的解集为
,且关于
的分式方程
的解是负整数,则所有满足条件的整数
的值之和是( )
A. -26 B. -24 C. -15 D. -13
12. 在多项式
中任意加括号,加括号后仍只有减法运算,然后按给出的运算顺序重新运算,称此为“加算操作”.例如:
,
,….
下列说法:
①至少存在一种“加算操作”,使其运算结果与原多项式相等;
②不存在任何“加算操作”,使其运算结果与原多项式之和为0;
③所有可能的“加算操作”共有8种不同运算结果.
其中正确的个数是( )
A. 0 B. 1 C. 2 D. 3
二、填空题(本大题四个小题,每小题4分,共16分)请将每小题的答案直接填在答题卡中对应的横线上
13. 计算:
_________.
14. 有三张完全一样正面分别写有字母
,
,
的卡片.将其背面朝上并洗匀,从中随机抽取一张,记下卡片上的字母后放回洗匀,再从中随机抽取一张,则抽取的两张卡片上的字母相同的概率是_________.
15. 如图,菱形
中,分别以点
,
为圆心,
,
长为半径画弧,分别交对角线
于点
,
.若
,
,则图中阴影部分的面积为_________.(结果不取近似值)
16. 为进一步改善生态环境,村委会决定在甲、乙、丙三座山上种植香樟和红枫.初步预算,这三座山各需两种树木数量和之比为
,需香樟数量之比为
,并且甲、乙两山需红枫数量之比为
.在实际购买时,香樟的价格比预算低
,红枫的价格比预算高
,香樟购买数量减少了
,结果发现所花费用恰好与预算费用相等,则实际购买香樟的总费用与实际购买红枫的总费用之比为_________.
三、解答题:(本大题2个小题,每小题8分,共16分)解答时每小题必须给出必要的演算过程或推理步骤,画出必要的图形(包括辅助线),请将解答过程书写在答题卡中对应的位置上.
17. 计算:(1)
; (2)
.
18. 在学习矩形的过程中,小明遇到了一个问题:在矩形
中,
是
边上的一点,试说明
的面积与矩形
的面积之间的关系.他的思路是:首先过点
作
的垂线,将其转化为证明三角形全等,然后根据全等三角形的面积相等使问题得到解决.请根据小明的思路完成下面的作图与填空:
证明:用直尺和圆规,过点
作
的垂线
,垂足为
(只保留作图?迹).
在
和
中,
∵
,
∴
.
又
,
∴__________________①
∵
,
∴__________________②
又__________________③
∴
.
同理可得__________________④
∴
.

四、解答题:(本大题7个小题,每小题10分,共70分)解答时每小题必须给出必要的演算过程或推理步骤,画出必要的图形(包括辅助线),请将解答过程书写在对应的位置上.
19. 公司生产
、
两种型号的扫地机器人,为了解它们的扫地质量,工作人员从某月生产的
、
型扫地机器人中各随机抽取10台,在完全相同条件下试验,记录下它们的除尘量的数据(单位:
),并进行整理、描述和分析(除尘量用
表示,共分为三个等级:合格
,良好
,优秀
),下面给出了部分信息:
10台
型扫地机器人的除尘量:83,84,84,88,89,89,95,95,95,98.
10台
型扫地机器人中“良好”等级包含的所有数据为:85,90,90,90,94
抽取的
、
型扫地机器人除尘量统计表
型号 | 平均数 | 中位数 | 众数 | 方差 | “优秀”等级所占百分比 |
| 90 | 89 |
| 26.6 |
|
| 90 |
| 90 | 30 |
|

根据以上信息,解答下列问题:
(1)填空:
_________,
_________,
_________;
(2)这个月公司可生产
型扫地机器人共3000台,估计该月
型扫地机器人“优秀”等级的台数;
(3)根据以上数据,你认为该公司生产的哪种型号的扫地机器人扫地质量更好?请说明理由(写出一条理由即可).
20. 已知一次函数
的图象与反比例函数
的图象相交于点
,
.

(1)求一次函数的表达式,并在图中画出这个一次函数的图象;
(2)根据函数图象,直接写出不等式
的解集;
(3)若点
是点
关于
轴的对称点,连接
,
,求
的面积.
21. 在全民健身运动中,骑行运动颇受市民青睐,甲、乙两骑行爱好者约定从
地沿相同路线骑行去距
地30千米的
地,已知甲骑行的速度是乙的1.2倍.
(1)若乙先骑行2千米,甲才开始从
地出发,则甲出发半小时恰好追上乙,求甲骑行的速度;
(2)若乙先骑行20分钟,甲才开始从
地出发,则甲、乙恰好同时到达
地,求甲骑行的速度.
22. 如图,三角形花园
紧邻湖泊,四边形
是沿湖泊修建的人行步道.经测量,点
在点
的正东方向,
米.点
在点
的正北方向.点
,
在点
的正北方向,
米.点
在点
的北偏东
,点
在点
的北偏东
.

(1)求步道
的长度(精确到个位);
(2)点
处有直饮水,小红从
出发沿人行步道去取水,可以经过点
到达点
,也可以经过点
到达点
.请计算说明他走哪一条路较近?
(参考数据:
,
)
23. 若一个四位数
的个位数字与十位数字的平方和恰好是
去掉个位与十位数字后得
到的两位数,则这个四位数
为“勾股和数”.
例如:
,∵
,∴2543是“勾股和数”;
又如:
,∵
,
,∴4325不是“勾股和数”.
(1)判断2022,5055是否是“勾股和数”,并说明理由;
(2)一个“勾股和数”
的千位数字为
,百位数字为
,十位数字为
,个位数字为
,记
,
.当
,
均是整数时,求出所有满足条件的
.
24. 如图,在平面直角坐标系中,抛物线
与直线
交于点
,
.

(1)求该抛物线的函数表达式;
(2)点
是直线
下方拋物线上的一动点,过点
作
轴的平行线交
于点
,过点
作
轴的平行线交
轴于点
,求
的最大值及此时点
的坐标;
(3)在(2)中
取得最大值的条件下,将该抛物线沿水平方向向左平移5个单位,点
为点
的对应点,平移后的抛物线与
轴交于点
,
为平移后的抛物线的对称轴上一点.在平移后的抛物线上确定一点
,使得以点
,
,
,
为顶点的四边形是平行四边形,写出所有符合条件的点
的坐标,并写出求解点
的坐标的其中一种情况的过程.
25. 如图,在锐角
中,
,点
,
分别是边
,
上一动点,连接
交直线
于点

(1)如图1,若
,且
,
,求
的度数;
(2)如图2,若
,且
,在平面内将线段
绕点
顺时针方向旋转
得到线段
,连接
,点
是
的中点,连接
.在点
,
运动过程中,猜想线段
,
,
之间存在的数量关系,并证明你的猜想;
(3)若
,且
,将
沿直线
翻折至
所在平面内得到
,点
是
的中点,点
是线段
上一点,将
沿直线
翻折至
所在平面内得到
,连接
.在点
,
运动过程中,当线段
取得最小值,且
时,请直接写出
的值.
数学参考答案(A卷)
一、选择题:(本大题12个小题,每小题4分,共48分)在每个小题的下面,都给出了代号为A、B、C、D的四个答案,其中只有一个是正确的,请将答题卡上题号右侧正确答案所对应的方框涂黑.
1-5:ADCDB 6-10:CBACC 11-12:DD
12.【解析】我们将括号(称为左括号,)称为右括号,左括号加在最左侧则不改变结果①正确;
②不管如何加括号,
的系数始终为1,
的系数为-1,故②正确;
③我们发现加括号或者不加括号只会影响
、
、
的符号,故最多有
种结果,
,
,
,
,
,
,
,
二、填空题(本大题四个小题,每小题4分,共16分)请将每小题的答案直接填在答题卡中对应的横线上.
13. 5 14.
15.
16. 
16.【解析】设三座山各需香樟数量分别为4、3、9.甲、乙两山需红枫数量
、
.
∴
,∴
,故丙山需要香樟9,红枫5,设香樟和红枫价格分别为
、
∴
,∴
,
∴实际购买香樟的总费用与实际购买红枫的总费用之比为
.
三、解答题:(本大题2个小题,每小题8分,共16分)解答时每小题必须给出必要的演算过程或推理步骤,画出必要的图形(包括辅助线),请将解答过程书写在答题卡中对应的位置上.
17.【解析】(1)原式
.
(2)原式
.
18.

四、解答题:(本大题7个小题,每小题10分,共70分)解答时每小题必须给出必要的演算过程或推理步骤,画出必要的图形(包括辅助线),请将解答过程书写在对应的位置上.
19.【解析】(1)95;90;20
(2)
台
(3)
型号更好,在平均数均为90的情况下,
型号的平均除尘量众数
型号的平均除尘量众数90
20.【解析】(1)解:
,
,
解析式为
(2)
或
(3)
21.【解析】解:(1)设乙的速度为
,则甲的速度为
,
由题意可列式
,解得
(2)20分钟
小时
由题意可列式
解得
,检验成立
答:甲骑行的速度为
.
22.【解析】(1)过
作
的垂线,垂足为
,
∴
,
米;
(2)
,∴经过点
到达点
,总路程为500,
∵
,
,
经过点
到达点
,总路程为
,
故经过点
到达点
较近.
23.【解析】(1)
,
,∴1022不是“勾股和数”,
,∴5055是“勾股和数”;
(2)∵
为“勾股和数”,∴
,∴
,
∵
为整数,∴
为整数,∴
,
为整数,∴
为3的倍数,
∴①
,
或
,
,此时
或8190;
②
,
或
,
,此时
或4563.
24.【解析】(1)
;
(2)设
交
于
,∵
,∴
,
设
,∴
,
,
∴
,
∴
时,
取得最大值
,此时
;
(3)新抛物线解析式为
,
,
,设
,
.
①
为对角线,∴
,∴
,
;
②
为对角线,
,
;
③
为对角线,
,
.
25.【解析】(1)如图1,在射线
上取一点
,使得
,
∴
,∴
,
∴
,
∴
,∴
,
∴
,∴
.

(2)
,∴
,∴
,∴
.
方法一:倍长
至
,连接
,∴
,∴
,
延长
至
,使得
,∴
为正三角形,
∴
,∴
,
∵
,∴
,∴
为正三角形,
∴
.
方法二:如图2-2,倍长
得等边
,再证
.
方法三:如图2-3,将
绕
顺时针旋转
得
,∴
,∵
,
∴
垂直平分
,且
,∴
.

(3)由(2)知
,∴
轨迹为红色圆弧,∴
、
、
三点共线时,
取得最小值,
此时
,∴
,
∵
,∴
,
设
,
,
,
,
等面积法得
,
∴
.








