2022年上海中考数学试题试卷及答案
一.选择题(本大题共6题,每题4分,满分24分)
1. 8的相反数为( )
A.8 B. -8 C.
D.-
2.下列运算正确的是…… ( )
A.a2+a3=a6 B. (ab)2 =ab2 C. (a+b)2=a2+b2 D. (a+b)(a-b)=a2 -b2
3.已知反比例函数y=
(k≠0),且在各自象限内,y随x的增大而增大,则下列点可能
经过这个函数为( )
A. (2,3) B. (-2,3) C. (3,0) D. (-3,0)
4.我们在外卖平台点单时会有点餐用的钱和外卖费6元,我们计算了点单的总额和不计算
外卖费的总额的数据,则两种情况计算出的数据一样的是( )
A.平均数 B.中位数 C.众数 D.方差
5.下列说法正确的是( )
A.命题一定有逆命题 B.所有的定理一定有逆定理
C.真命题的逆命题一定是真命题 D.假命题的逆命题一定是假命题
6.有一个正n边形旋转90°后与自身重合,则n为( )
A.6 B.9 C.12 D.15
二.填空题(本大题共12题,每题4分,满分48分)
7.计算:3a-2a=_____.
8.已知f(x)=3x,则f(1)=_____.
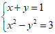
9.解方程组
的结果为_____.
10.已知x-
x+m=0有两个不相等的实数根,则m的取值范围是_____.
11.甲、乙、丙三人参加活动,两个人一组,则分到甲和乙的概率为_____.
12.某公司5月份的营业额为25万,7月份的营业额为36万,已知5、6月的增长率相同,
则增长率为_____.
13.为了解学生的阅读情况,对某校六年级部分学生的阅读情况展开调查,并列出了相应的
频数分布直方图(如图所示)(每组数据含最小值,不含最大值)(0-1小时4人1-2小时
10人2-3小时14人3-4小时16人4-5小时6人),若共有200名学生,则该学校六年级
学生阅读时间不低于3小时的人数是_____.
14.已知直线y=kx+b过第一象限且函数值随着x的增大而减小,请列举出来这样的一条直
线:_____.
15.如图所示,在口ABCD中,AC,BD交于点O,
则
_____.
16.如图所示,小区内有个圆形花坛O,点C在弦AB上,AC=11,BC=21,OC=13,
则这个花坛的面积为_____.(结果保留
)
17. 如图,在△ABC中,∠A=30°,∠B=90°,D为AB中点,E在线段AC上,
,则
_____.

18.定义:有一个圆分别和一个三角形的三条边各有两个交点,截得的三条弦相等,我们把
这个圆叫作“等弦圆”,现在有一个斜边长为2的等腰直角三角形,当等弦圆最大时,
这个圆的半径为_____.
三.解答题(本大题共7题,满分78分)
19.(本大题满分10分)
计算:
20.(本大题满分10份)
解关于x的不等式组
21.(本大题满分10分)
一个一次函数的截距为-l,且经过点A(2,3).
(1)求这个一次函数的解析式;
(2)点A,B在某个反比例函数上,点B横坐标为6,将点B向上平移2个单位得到点C,求cos∠ABC的值。
22.(本大题满分10分)
我们经常会采用不同方法对某物体进行测量,请测量下列灯杆AB的长。
(1)如图(1)所示,将一个测角仪放置在距离灯杆AB底部a米的点D处,测角仪高为b米,从C点测得A点的仰角为
,求灯杆AB的高度.(用含a,b,
的代数式表示)
(2)我国古代数学家赵爽利用影子对物体进行测量的方法,在至今仍有借鉴意义图(2)
所示,现将一高度为2米的木杆CG放在灯杆AB前,测得其影长CH为1米,再将木杆
沿着BC方向移动1.8米至DE的位置,此时测得其影长DF为3米,求灯杆AB的高度

23.(本大题满分12分,第(1)、(2)问满分各6分)
如图所示,在等腰三角形ABC中,AB=AC,点E,F在线段BC上,点Q在线段AB
上,且CF=BE,AE2=AQ·AB
求证:(1)∠CAE=∠BAF;(2) CF·FQ=AF·BQ

24.已知:
经过点
,
.
(1)求函数解析式;
(2)平移抛物线使得新顶点为
(m>0).
①倘若
,且在
的右侧,两抛物线都上升,求
的取值范围;
②
在原抛物线上,新抛物线与
轴交于
,
时,求
点坐标.
25.平行四边形
,若
为
中点,
交
于点
,联结
.
(1)若
,
①证明
为菱形;
②若
,
,求
的长.
(2)以
为圆心,
为半径,
为圆心,
为半径作圆,两圆另一交点记为点
,且
.若
在直线
上,求
的值.

上海中考数学参考答案
一.选择题
1.B2.D 3.B 4.D 5.A 6.C
二.填空题
7. a 8.3 9.x=2,y=-1 10. m<3 11.
12.20% 13.y=-x+1(k<o,b>0,答案不唯一) 14.88 15.
16. 400
17.
18. 2-
三. 解答题
19. -8
20.-2<x<-1
21. (1)y=x+1;(2)
22.(1)atan
+b米;(2)3.8米
23.(1)证△ACE≌△ABF
∠CAE=∠BAF;
(2)证△ACE∽△AFQ
∠C=∠AFQ,再证△ACF∽△BFQ
CF·FQ=AF·BQ.
24.(1)
;(2)m≥2;(3)
.
25.(1)①证AC⊥BD;②
; (2)
.
