注意事项:
1.答卷前,考生务必用黑色碳素笔将自己的姓名、准考证号、考场号、座位号填写在答题卡上,并认真核准条形码上的准考证号、姓名、考场号、座位号及科目,在规定的位置贴好条形码。
2.回答选择题时,选出每小题答案后,用铅笔把答题卡上对应题目的答案标号涂黑。如需改动,用橡皮擦干净后,再选涂其他答案标号。回答非选择题时,将答案写在答题卡上。写在本试卷上无效。
3.考试结束后,将本试卷和答题卡一并交回。
一、选择题:本题共12小题,每小题5分,共60分。在每小题给出的四个选项中,只有一项是符合题目要求的。
1.若
,则
( )
A.
B.
C.
D.
2.某社区通过公益讲座以普及社区居民的垃圾分类知识.为了解讲座效果,随机抽取10位社区居民,让他们在讲座前和讲座后各回答一份垃圾分类知识问卷,这10位社区居民在讲座前和讲座后问卷答题的正确率如下图:

则( )
A.讲座前问卷答题的正确率的中位数小于
B.讲座后问卷答题的正确率的平均数大于
C.讲座前问卷答题的正确率的标准差小于讲座后正确率的标准差
D.讲座后问卷答题的正确率的极差大于讲座前正确率的极差
3.设全集
,集合
,则
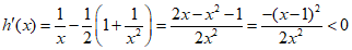
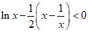
( )
A.
B.
C.
D.
4.如图,网格纸上绘制的是一个多面体的三视图,网格小正方形的边长为1,则该多面体的体积为( )

A.8 B.12 C.16 D.20
5.函数
在区间
的图像大致为( )
A.
B.
C.
D.
6.当
时,函数
取得最大值
,则
( )
A.
B.
C.
D.1
7.在长方体
中,已知
与平面
和平面
所成的角均为
,则( )
A.
B.AB与平面
所成的角为
C.
D.
与平面
所成的角为
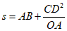
8.沈括的《梦溪笔谈》是中国古代科技史上的杰作,其中收录了计算圆弧长度的“会圆术”,如图,
是以O为圆心,OA为半径的圆弧,C是AB的中点,D在
上,
.“会圆术”给出
的弧长的近似值s的计算公式:
.当
时,
( )

A.
B.
C.
D.
9.甲、乙两个圆锥的母线长相等,侧面展开图的圆心角之和为
,侧面积分别为
和
,体积分别为
和
.若
,则
( )
A.
B.
C.
D.
10.椭圆
的左顶点为A,点P,Q均在C上,且关于y轴对称.若直线
的斜率之积为
,则C的离心率为( )
A.
B.
C.
D.
11.设函数
在区间
恰有三个极值点、两个零点,则
的取值范围是( )
A.
B.
C.
D.
12.已知
,则( )
A.
B.
C.
D.
二、填空题:本题共4小题,每小题5分,共20分。
13.设向量
,
的夹角的余弦值为
,且
,则
_________.
14.若双曲线
的渐近线与圆
相切,则
_________.
15.从正方体的8个顶点中任选4个,则这4个点在同一个平面的概率为________.
16.已知
中,点D在边BC上,
.当
取得最小值时,
________.

A.
B.
C.
D.
9.甲、乙两个圆锥的母线长相等,侧面展开图的圆心角之和为
,侧面积分别为
和
,体积分别为
和
.若
,则
( )
A.
B.
C.
D.
10.椭圆
的左顶点为A,点P,Q均在C上,且关于y轴对称.若直线
的斜率之积为
,则C的离心率为( )
A.
B.
C.
D.
11.设函数
在区间
恰有三个极值点、两个零点,则
的取值范围是( )
A.
B.
C.
D.
12.已知
,则( )
A.
B.
C.
D.
二、填空题:本题共4小题,每小题5分,共20分。
13.设向量
,
的夹角的余弦值为
,且
,则
_________.
14.若双曲线
的渐近线与圆
相切,则
_________.
15.从正方体的8个顶点中任选4个,则这4个点在同一个平面的概率为________.
16.已知
中,点D在边BC上,
.当
取得最小值时,
________.
17. (1)解:因为
,即
①,
当
时,
②,
①
②得,
,
即
,
即
,所以
,
且
,
所以
是以
为公差的等差数列.
(2)
.
18. (1)证明:在四边形
中,作
于
,
于
,
因为
,
所以四边形
为等腰梯形,
所以
,
故
,
,
所以
,
所以
,
因为
平面
,
平面
,
所以
,
又
,
所以
平面
,
又因
平面
,
所以
;
(2)
.
19. (1)
;
(2)分布列见解析,
.
【解析】依题可知,
的可能取值为
,所以,
,
,
,
.
即
的分布列为
| 0 | 10 | 20 | 30 |
| 0.16 | 0.44 | 0.34 | 0.06 |
期望
.
20. (1)
;
(2)
.
21. 已知函数
.
(1)
(2)由题知,
一个零点小于1,一个零点大于1
不妨设
要证
,即证
因为
,即证
因为
,即证
即证
即证
下面证明
时,
设
,
则

设
所以
,而
所以
,所以
所以
在
单调递增
即
,所以
令

所以
在
单调递减
即
,所以
;
综上,
,所以
.
(二)选考题:共10分.请考生在第22、23题中任选一题作答.如果多做,则按所做的第一题计分.
[选修4-4:坐标系与参数方程]
22. (1)
;
(2)
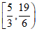
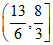
的交点坐标为
,
,
的交点坐标为
,
.
[选修4-5:不等式选讲]
23.(1)证明:由柯西不等式有
,
所以
,
当且仅当
时,取等号,
所以
;
(2)证明:因为
,
,
,
,由(1)得
,
即
,所以
,
由权方和不等式知
,
当且仅当
,即
,
时取等号,
所以

