注意事项:
1.答卷前,考生务必用黑色碳素笔将自己的姓名、准考证号、考场号、座位号填写在答题卡上,并认真核准条形码上的准考证号、姓名、考场号、座位号及科目,在规定的位置贴好条形码。
2.回答选择题时,选出每小题答案后,用铅笔把答题卡上对应题目的答案标号涂黑,如需改动,用橡皮擦干净后,再选涂其他答案标号。回答非选择题时,将答案写在答题卡上、写在本试卷上无效。
3.考试结束后,将本试卷和答题卡一并交回。
一、选择题:本题共12小题,每小题5分,共60分。在每小题给出的四个选项中,只有一项是符合题目要求的。
1.设集合
,则
( )
A.
B.
C.
D.
2.某社区通过公益讲座以普及社区居民的垃圾分类知识.为了解讲座效果,随机抽取10位社区居民,让他们在讲座前和讲座后各回答一份垃圾分类知识问卷,这10位社区居民在讲座前和讲座后问卷答题的正确率如下图:

则( )
A.讲座前问卷答题的正确率的中位数小于
B.讲座后问卷答题的正确率的平均数大于
C.讲座前问卷答题的正确率的标准差小于讲座后正确率的标准差
D.讲座后问卷答题的正确率的极差大于讲座前正确率的极差
3.若
.则
( )
A.
B.
C.
D.
4.如图,网格纸上绘制的是一个多面体的三视图,网格小正方形的边长为1,则该多面体的体积为( )

A.8 B.12 C.16 D.20
5.将函数
的图像向左平移
个单位长度后得到曲线C,若C关于y轴对称,则
的最小值是( )
A.
B.
C.
D.
6,从分别写有1,2,3,4,5,6的6张卡片中无放回随机抽取2张,则抽到的2张卡片上的数字之积是4的倍数的概率为( )
A.
B.
C.
D.
7.函数
在区间
的图像大致为( )
A.
B.
C.
D.
8.当
时,函数
取得最大值
,则
( )
A.
B.
C.
D.1
9.在长方体
中,已知
与平面
和平面
所成的角均为
,则( )
A.
B.AB与平面
所成的角为
C.
D.
与平面
所成的角为
10.甲、乙两个圆锥的母线长相等,侧面展开图的圆心角之和为
,侧面积分别为
和
,体积分别为
和
.若
,则
( )
A.
B.
C.
D.
11.已知椭圆
的离心率为
,
分别为C的左、右顶点,B为C的上顶点.若
,则C的方程为( )
A.
B.
C.
D.
12.已知
,则( )
A.
B.
C.
D.
二、填空题:本题共4小题,每小题5分,共20分。
13.已知向量
.若
,则
______________.
14.设点M在直线
上,点
和
均在
上,则
的方程为______________.
15.记双曲线
的离心率为e,写出满足条件“直线
与C无公共点”的e的一个值______________.
16.已知
中,点D在边BC上,
.当
取得最小值时,
______________.
三、解答题:共70分。解答应写出文字说明、证明过程或演算步骤。第17~21题为必考题,每个试题考生都必须作答。第22、23题为选考题,考生根据要求作答。
(一)必考题:共60分。
17.(12分)
甲、乙两城之间的长途客车均由A和B两家公司运营,为了解这两家公司长途客车的运行情况,随机调查了甲、乙两城之间的500个班次,得到下面列联表:
| 准点班次数 | 未准点班次数 |
A | 240 | 20 |
B | 210 | 30 |
(1)根据上表,分别估计这两家公司甲、乙两城之间的长途客车准点的概率;
(2)能否有90%的把握认为甲、乙两城之间的长途客车是否准点与客车所属公司有关?
附:
,
| 0.100 | 0.050 | 0.010 |
| 2.706 | 3.841 | 6.635 |
18.(12分)
记
为数列
的前n项和.已知
.
(1)证明:
是等差数列;
(2)若
成等比数列,求
的最小值.
19.(12分)
小明同学参加综合实践活动,设计了一个封闭的包装盒,包装盒如图所示:底面
是边长为8(单位:
)的正方形,
均为正三角形,且它们所在的平面都与平面
垂直.

(1)证明:
平面
;
(2)求该包装盒的容积(不计包装盒材料的厚度).
20.(12分)
已知函数
,曲线
在点
处的切线也是曲线
的切线.
(1)若
,求a:
(2)求a的取值范围.
21.(12分)
设抛物线
的焦点为F,点
,过
的直线交C于M,N两点.当直线MD垂直于x轴时,
.
(1)求C的方程:
(2)设直线
与C的另一个交点分别为A,B,记直线
的倾斜角分别为
.当
取得最大值时,求直线AB的方程.
(二)选考题:共10分。请考生在第22、23题中任选一题作答。如果多做,则按所做的第一题计分。
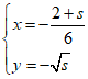
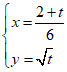
22.[选修4-4:坐标系与参数方程](10分)
在直角坐标系
中,曲线
的参数方程为
(t为参数),曲线
的参数方程为
(s为参数).
(1)写出
的普通方程;
(2)以坐标原点为极点,x轴正半轴为极轴建立极坐标系,曲线
的极坐标方程为
,求
与
交点的直角坐标,及
与
交点的直角坐标.
23.[选修4-5:不等式选讲](10分)
已知
均为正数,且
,证明:
(1)
(2)若
,则
.
文科数学解析
一、选择题:本题共12小题,每小题5分,共60分.在每小题给出的四个选项中,只有一项是符合题目要求的.
1. 【答案】A
2. 【答案】B
3. 【答案】D
4. 【答案】B
5. 【答案】C
6. 【答案】C
7. 【答案】A
8. 【答案】B
9. 【答案】D
10. 【答案】C
11. 【答案】B
12. 【答案】A
二、填空题:本题共4小题,每小题5分,共20分.
13. 【答案】
##
14. 【答案】
15. 【答案】2(满足
皆可)
16.【答案】
##
三、解答题:共70分.解答应写出文字说明、证明过程或演算步骤.第17~21题为必考题,每个试题考生都必须作答.第22、23题为选考题,考生根据要求作答.
(一)必考题:共60分.
17.
【答案】(1)A,B两家公司长途客车准点的概率分别为
,
(2)有
18. 【答案】(1)证明见解析;
(2)
.
19.
【答案】(1)证明见解析;
(2)
.
20. 【答案】(1)3 (2)
21.
【答案】(1)
;
(2)
.
(二)选考题:共10分.请考生在第22、23题中任选一题作答.如果多做,则按所做的第一题计分.
[选修4-4:坐标系与参数方程]
22.
【答案】(1)
;
(2)
的交点坐标为
,
,
的交点坐标为
,
.
[选修4-5:不等式选讲]
23.
【答案】(1)见解析 (2)见解析
【解析】
【分析】(1)根据
,利用柯西不等式即可得证;
(2)由(1)结合已知可得
,即可得到
,再根据权方和不等式即可得证.
【小问1详解】
证明:由柯西不等式有
,
所以
,
当且仅当
时,取等号,
所以
;
【小问2详解】
证明:因为
,
,
,
,由(1)得
,
即
,所以
,
由权方和不等式知
,
当且仅当
,即
,
时取等号,
所以
.


