本试卷共10页,100分。考试时长90分钟。考生务必将答案答在答题卡上,在试卷上作答无效。考试结束后,将本试卷和答题卡一并交回。
可能用到的相对原子质量:H 1 C 12 N 14 O 16 Mg 24 S 32 Ca 40 Fe 56 I 127
第一部分
本部分共14题,每题3分,共42分。在每题列出的四个选项中,选出最符合题目要求的一项。
1.2022年3月神舟十三号航天员在中国空间站进行了“天宫课堂”授课活动。其中太空“冰雪实验”演示了过饱和醋酸钠溶液的结晶现象。下列说法不正确的是()
A.醋酸钠是强电解质B.醋酸钠晶体与冰都是离子晶体
C.常温下,醋酸钠溶液的
D.该溶液中加入少量醋酸钠固体可以促进醋酸钠晶体析出
2.下列化学用语或图示表达不正确的是()
A.乙炔的结构简式:
B.顺
丁烯的分子结构模型:
C.基态
原子的价层电子的轨道表示式:
D.
的电子式:
3.
(锶)的
、
稳定同位素在同一地域土壤中
值不变。土壤生物中
值与土壤中
值有效相关。测定土壤生物中
值可进行产地溯源。下列说法不正确的是()
A.
位于元素周期表中第六周期、第ⅡA族
B.可用质谱法区分
和
C.
和
含有的中子数分别为49和48
D.同一地域产出的同种土壤生物中
值相同
4.下列方程式与所给事实不相符的是()
A.加热
固体,产生无色气体:
B.过量铁粉与稀*反应,产生无色气体:
C.苯酚钠溶液中通入
,出现白色浑浊:
D.乙醇、乙酸和浓硫酸混合加热,产生有香味的油状液体:
5.下列实验中,不能达到实验目的的是()
|
由海水制取蒸馏水 |
萃取碘水中的碘 |
分离粗盐中的不溶物 |
由 |
|
|
|
|
|
|
A |
B |
C |
D |
6.下列物质混合后,因发生氧化还原反应使溶液
减小的是()
A.向
溶液中加入少量
溶液,生成白色沉淀
B.向
和
的悬浊液中通入空气,生成红褐色沉淀
C.向
溶液中加入少量
溶液,生成蓝绿色沉淀
D.向
溶液中通入氯气,生成黄色沉淀
7.已知:
。下列说法不正确的是()
A.
分子的共价键是
键,
分子的共价键是
键
B.燃烧生成的
气体与空气中的水蒸气结合呈雾状
C.停止反应后,用蘸有浓氨水的玻璃棒靠近集气瓶口产生白烟
D.可通过原电池将
与
反应的化学能转化为电能
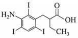
8.我国科学家提出的聚集诱导发光机制已成为研究热点之一。一种具有聚集诱导发光性能的物质,其分子结构如图所示。下列说法不正确的是()
A.分子中N原子有
、
两种杂化方式B.分子中含有手性碳原子
C.该物质既有酸性又有碱性D.该物质可发生取代反应、加成反应
9.由键能数据大小,不能解释下列事实的是()
|
化学键 |
|
|
|
|
|
|
|
|
键能/ |
411 |
318 |
799 |
358 |
452 |
346 |
222 |
A.稳定性:
B.键长:
C.熔点:
D.硬度:金刚石>晶体硅
10.利用如图所示装置(夹持装置略)进行实验,b中现象不能证明a中产物生成的是()
|
|
a中反应 |
b中检测试剂及现象 |
|
|
A |
浓 |
淀粉 |
|
|
B |
|
品红溶液褪色 |
|
|
C |
浓 |
酚酞溶液变红 |
|
|
D |
|
溴水褪色 |
A.A B.B C.C D.D
11.高分子Y是一种人工合成的多肽,其合成路线如下:
下列说法不正确的是()
A.F中含有2个酰胺基 B.高分子Y水解可得到E和G
C.高分子X中存在氢键 D.高分子Y的合成过程中进行了官能团保护
12.某
多孔材料孔径大小和形状恰好将
“固定”,能高选择性吸附
。废气
中的
被吸附后,经处理能全部转化为
。原理示意图如下。
已知:
下列说法不正确的是()
A.温度升高时不利于
吸附
B.多孔材料“固定”
,促进
平衡正向移动
C.转化为
的反应是
D.每获得
时,转移电子的数目为
13.利用下图装置进行铁上电镀铜的实验探究。
|
装置 |
序号 |
电解质溶液 |
实验现象 |
|
|
① |
|
阴极表面产生无色气体,一段时间后阴极表面有红色固体,气体减少。经检验,电解液中有 |
|
② |
|
阴极表面未观察到气体,一段时间后阴极表面有致密红色固体。经检验,电解液中无 |
下列分析不正确的是()
A.①中气体减少,推测是由于溶液中
减小,且
覆盖铁电极,阻碍
与铁接触
B.①中检测到
,推测可能发生反应:
、
C.随阴极析出铜,推测②中溶液
减小,
平衡逆向移动
D.②中
生成
,使得
比①中溶液的小,
缓慢析出,镀层更致密
14.
捕获和转化可减少
排放并实现资源利用,原理如图1所示。反应①完成之后,以
为载气,将恒定组成的
、
混合气,以恒定流速通入反应器,单位时间流出气体各组分的物质的量随反应时间变化如图2所示。反应过程中始终未检测到
,在催化剂上检测到有积炭。下列说法不正确的是()
A.反应①为
;反应②为
B.
,
比
多,且生成
的速率不变,推测有副反应
C.
时刻,副反应生成
的速率大于反应②生成
的速率
D.
之后,生成
的速率为0,是因为反应②不再发生
第二部分
本部分共5题,共58分。
15.(9分)
工业中可利用生产钛白的副产物
和硫铁矿
联合制备铁精粉
和硫酸,实现能源及资源的有效利用。
(1)
结构示意图如图1。
①
的价层电子排布式为___________。
②
中O和
中S均为
杂化,比较
中
键角和
中
键角的大小并解释原因___________。
③
中
与
与
的作用力类型分别是___________。
(2)
晶体的晶胞形状为立方体,边长为
,结构如图2。
①距离
最近的阴离子有___________个。
②
的摩尔质量为
,阿伏加德罗常数为
。
该晶体的密度为___________
。
(3)
加热脱水后生成
,再与
在氧气中掺烧可联合制备铁精粉和硫酸。
分解和
在氧气中燃烧的能量示意图如图3。利用
作为
分解的燃料,从能源及资源利用的角度说明该工艺的优点___________。
16.(11分)
煤中硫的存在形态分为有机硫和无机硫(
、硫化物及微量单质硫等)。库仑滴定法是常用的快速检测煤中全硫含量的方法,其主要过程如下图所示。
已知:在催化剂作用下,煤在管式炉中燃烧,出口气体中主要含
。
(1)煤样需研磨成细小粉末,目的是___________。
(2)高温下,煤中的
完全转化为
,该反应的化学方程式为___________。
(3)通过干燥装置后,待测气体进入库仑测硫仪进行测定。
已知:库仑测硫仪中电解原理示意图如下。检测前,电解质溶液中
保持定值时,电解池不工作。待测气体进入电解池后,
溶解并将
还原,测硫仪便立即自动进行电解到
又回到原定值,测定结束。通过测定电解消耗的电量可以求得煤中含硫量。
①
在电解池中发生反应的离子方程式为___________。
②测硫仪工作时电解池的阳极反应式为___________。
(4)煤样为
,电解消耗的电量为x库仑。煤样中硫的质量分数为___________。
已知:电解中转移
电子所消耗的电量为96500库仑。
(5)条件控制和误差分析。
①测定过程中,需要控制电解质溶液的
。当
时,非电解生成的
使测得的全硫含量偏小,生成
的离子方程式为___________。
②管式炉中煤样燃烧时会有少量
产生,使测得的全硫含量___________(填“偏大”或“偏小”),该测量结果可进行校正。
17.(10分)
碘番酸是一种口服造影剂,用于胆部
射线检查。其合成路线如下:
已知:
(1)A可发生银镜反应,A分子含有的官能团是___________。
(2)B无支链,B的名称是___________。B的一种同分异构体,其核磁共振氢谱只有一组峰,结构简式是___________。
(3)E为芳香族化合物,
的化学方程式是___________。
(4)G中含有乙基,G的结构简式是___________。
(5)碘番酸分子中的碘位于苯环上不相邻的碳原子上。碘番酸的相对分子质量为571,J的相对分子质量为193。碘番酸的结构简式是___________。
(6)口服造影剂中碘番酸含量可用滴定分析法测定,步骤如下。
步骤一:称取
口服造影剂,加入
粉、
溶液,加热回流,将碘番酸中的碘完全转化为
,冷却、洗涤、过滤,收集滤液。
步骤二:调节滤液
,用
标准溶液滴定至终点,消耗
溶液的体积为
。
已知口服造影剂中不含其它含碘物质。计算口服造影剂中碘番酸的质量分数___________。
18.(14分)
白云石的主要化学成分为
,还含有质量分数约为2.1%的
和1.0%的
。利用白云石制备高纯度的碳酸钙和氧化镁,流程示意图如下。
已知:
|
物质 |
|
|
|
|
|
|
|
|
|
|
(1)白云石矿样煅烧完全分解的化学方程式为___________。
(2)
用量对碳酸钙产品的影响如下表所示。
|
|
氧化物( |
产品中 |
产品中
(以 |
||
|
|
|
计算值 |
实测值 |
||
|
2.1∶1 |
98.4 |
1.1 |
99.1 |
99.7 |
—— |
|
2.2∶1 |
98.8 |
1.5 |
98.7 |
99.5 |
0.06 |
|
2.4∶1 |
99.1 |
6.0 |
95.2 |
97.6 |
2.20 |
备注:ⅰ.
浸出率=(浸出的
质量/煅烧得到的
质量)
(M代表
或
)
ⅱ.
纯度计算值为滤液A中钙、镁全部以碳酸盐形式沉淀时计算出的产品中
纯度。
①解释“浸钙”过程中主要浸出
的原因是___________。
②沉钙反应的离子方程式为___________。
③“浸钙”过程不适宜选用
的比例为___________。
④产品中
纯度的实测值高于计算值的原因是___________。
(3)“浸镁”过程中,取固体B与一定浓度的
溶液混合,充分反应后
的浸出率低于60%。加热蒸馏,
的浸出率随馏出液体积增大而增大,最终可达98.9%。从化学平衡的角度解释浸出率增大的原因是___________。
(4)滤渣C中含有的物质是___________。
(5)该流程中可循环利用的物质是___________。
19.(14分)
某小组同学探究不同条件下氯气与二价锰化合物的反应。
资料:ⅰ.
在一定条件下可被
或
氧化成
(棕黑色)、
(绿色)、
(紫色)。
ⅱ.浓碱性条件下,
可被
还原为
。
ⅲ.
的氧化性与溶液的酸碱性无关;
的氧化性随碱性增强而减弱。
实验装置如图(夹持装置略)。
|
序号 |
物质a |
C中实验现象 |
|
|
通入 |
通入 |
||
|
I |
水 |
得到无色溶液 |
产生棕黑色沉淀,且放置后不发生变化 |
|
II |
|
产生白色沉淀,在空气中缓慢变成棕黑色沉淀 |
棕黑色沉淀增多,放置后溶液变为紫色,仍有沉淀 |
|
III |
|
产生白色沉淀,在空气中缓慢变成棕黑色沉淀 |
棕黑色沉淀增多,放置后溶液变为紫色,仍有沉淀 |
(1)B中试剂是___________。
(2)通入
前,Ⅱ、Ⅲ中沉淀由白色变为棕黑色的化学方程式为___________。
(3)对比实验Ⅰ、Ⅱ通入
后的实验现象,对于二价锰化合物还原性的认识是___________。
(4)根据资料ⅱ,Ⅲ中应得到绿色溶液,实验中得到紫色溶液,分析现象与资料不符的原因:
原因一:可能是通入
导致溶液的碱性减弱。
原因二:可能是氧化剂过量,氧化剂将
氧化为
。
①用化学方程式表示可能导致溶液碱性减弱的原因___________,但通过实验测定,溶液的碱性变化很小。
②取Ⅲ中放置后的
悬浊液,加入
溶液,溶液紫色迅速变为绿色,且绿色缓慢加深。溶液紫色迅速变为绿色的离子方程式为___________;溶液绿色缓慢加深,原因是
被___________(填“化学式”)氧化,可证明Ⅲ的悬浊液中氧化剂过量。
③取Ⅲ中放置后的
悬浊液,加入
水,溶液紫色缓慢加深,发生的反应是___________。
④从反应速率的角度,分析实验Ⅲ未得到绿色溶液的可能原因___________。
化学参考答案
第一部分共14题,每题3分,共42分。
1.B 2.C 3.A 4.B 5.D 6.D 7.A 8.B 9.C 10.A 11.B 12.D 13.C 14.C
第二部分共5题,共58分。
15.(9分)
(1)①
②孤电子对有较大斥力,使
键角小于
键角
③配位键、氢键
(2)①6 ②
(3)
燃烧放热为
分解提供能量;反应产物是铁精粉和制硫酸的原料
16.(11分)
(1)增大固体与空气的接触面积,加快反应速率,使煤粉完全燃烧
(2)
(3)①
②
(4)
(5)①
②偏小
17.(10分)
(1)醛基
(2)正丁酸,
(3)
(4)
(5)
(6)
18.(14分)
(1)
(2)①
,在一定量
溶液中,
先浸出
②
③2.4∶1
④
,
优先析出,沉钙过程中耗
且少量
挥发,减少
析出
(3)
,
,随大量氨逸出,平衡正向移动
(4)
(5)
19.(14分)
(1)饱和
溶液
(2)
(3)二价锰化合物在中性或弱酸性条件下只能被氧化到
,在碱性条件下可以被氧化到更高价态
(4)①
②
③
④溶液中存在反应:ⅰ.
ⅱ.
在浓碱性条件下,
和
均很大时,反应ⅱ速率快于反应ⅰ

制取无水
固体
分解生成
溶液变蓝
与浓
生成
与
溶液生成
与
乙醇溶液生成丙烯
少量
溶液
元素
)浸出率/%
纯度/%
杂质含量/%
计)
前
后
溶液
溶液